Performance of Low-Dimensional Solid Room-Temperature Photodetectors—Critical View
Abstract
1. Introduction
- Energy states are easily tuned by external fields (gate-induced electrostatic fields, photogating localized fields, ferroelectric fields) for materials with a typical thickness <10 nm.
- The energy bandgap ranges from 0 to 6 eV (for graphene and hexagonal boron nitride, h-BN, respectively), making it possible to fabricate photodetectors operating over a broad spectral range from ultraviolet (UV) to far-infrared (FIR) and terahertz (THz).
- The energy bandgap is closely related to thickness—increasing the thickness lowers the bandgap.
- There is a direct bandgap for MoSe2, MoS2, WSe2, and WS2 [transition metal dichalcogenides (TMDs)] and an indirect bandgap for bulk materials.
- Susceptibility to absorbates (defects and unintentional doping).
- Performance driven by layer stacking (spacing, twist) and environment (pressure, strain).
- Poor linear dynamic range (LDR)—lack of applicability to intense light caused by atomically thin nature (despite the large absorption coefficient).
2. General Classification of Photon Detectors
3. Fundamental Detectivity Limits
- Inaccurate noise assessment.
- Wrong assessment of the radiation power density and device active area.
- Noise and responsivity contrary bandwidth.
- Nonlinearity in light response and in the electrical conduction.
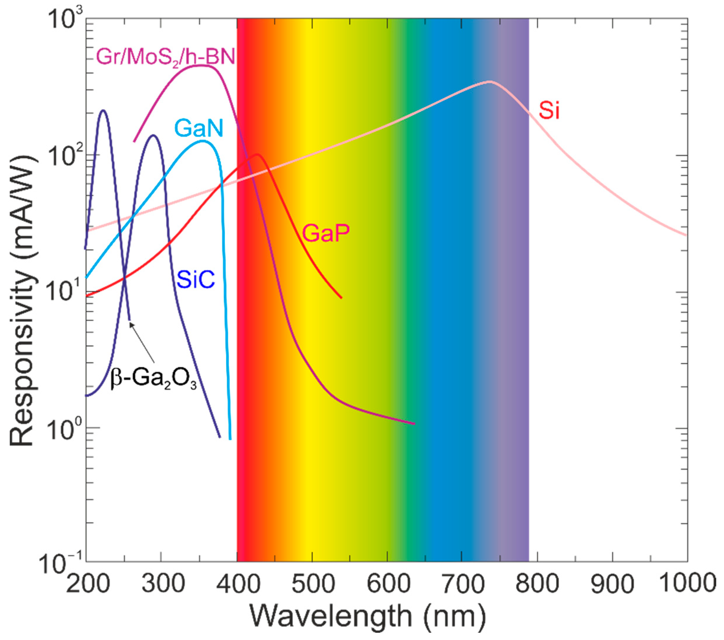
4. Ga2O3 Ultraviolet Photodetectors
5. Perovskite Photodetectors
- Stability—Generally, inorganic perovskites, due to their ionic nature, are found to be not fully stable. In a humid environment, perovskites tend to drastically change their crystallographic structure and even their composition, causing irreversible damage to the material. Effective housing is required to fully protect the device and provide long-term stability under extremely severe operating conditions.
- Toxicity—So far, Pb-based perovskites have been found to reach to the best performance; however, Pb-free perovskites have been gradually introduced, e.g., Bi-based perovskites and double perovskites.
- Miniaturization—This is principally important in imaging. The perovskite fabrication methods significantly differ from silicon technology to include conventional etching/lithography techniques (essential to develop a mature technology comparable with silicon). In addition, there is a need to develop ROICs for perovskite arrays, where specific designs are required due to the high sensor’s RC.
- Immature perovskite quantum dots (PQDs) technology is behind typical QDs (immediate and proper solution to allow PQDs to open up a new era, especially in the field of solar cells).
6. Infrared Photodetectors: LDS vs. Standard Detectors
6.1. Fundamental Material Properties
- MCT (absorption coefficients, α < 104 cm−1, Eg ≈ 0.1–0.3 eV) and for TMDs (α > 105 cm−1, Eg > 1 eV).
- TMD (theoretical Eg ≈ 0.1–0.2 eV) absorption coefficient < 105 cm−1.

6.2. HgCdTe Benchmarks
6.2.1. “Rule 07”
6.2.2. “Rule 22”
6.2.3. “Law 19”
6.3. Figure of Merit for Infrared Detector Materials
6.3.1. Quantum Efficiency
6.3.2. Detectivity

6.3.3. Gain
6.4. Two-Dimensional Material Image Sensing
6.5. Summary
7. Topological Insulator Photodetectors
7.1. Fundamental Properties of Topological Insulators
7.2. HOT Infrared Topological Insulator Photodetectors
- Issues with the high-quality TI materials’ fabrication, mainly for low-cost synthesis and large scale; so, thorough research and technological progress are indispensable.
- High dark current stemming from the intrinsic band structure or surface states (volume and topological surface states mixing); a high dark current significantly limits the photodetectors’ performance (possible applications), leading to high power consumption and noise.
8. Colloidal Quantum Dot (CQD) IR Detectors

9. Conclusions
- In spite of sixty years of HgCdTe development, its ultimate BLIP performance limit at 300 K has not been reached. It requires a doping concentration of about 1013 cm−3 in a photodiode absorber, together with a millisecond carrier lifetime. That doping concentration level has been recently reached in totally depleted P-i-N photodiodes by Teledyne and DRS.
- The potential properties of HOT MCT photodiodes (“Law 19”) operating in a wavelength range of >4 μm guarantee reaching the BLIP condition, which is the main goal in IR technology.
- The T2SL IB QCIP performance is comparable with MCT photodiodes and proved to be operating at >300 K; however, challenging technology and high fabrication costs prevent their progress.
- The extraordinary and unique electronic and optical 2D material properties could lead to a promising alternative for IR detectors. Although remarkable TMD performance (utmost detectivity) has been reported at 300 K and in the LWIR region, many challenges must be faced to fully exploit the distinct advantages of those materials.
- The 2D material-based detector performance was reported to be often overestimated due to miscalculation of the device active area and light power density, wrong noise estimates and contradictory bandwidth assumed for measured noise, and responsivity.
- Two-dimensional materials exhibit short carrier lifetimes and high optical absorption. Several methods, including the photogate effect with a graphene fast transfer channel and electron trap layers, can be implemented to improve the sensitivity, but the carrier mobility and response time limit practical applications (tradeoff between sensitivity and response time).
- TI single-pixel detectors detectivities are close to the MCT photodiode tendency curves for >2 μm.
- The CQD performance is lower than technologies considered in this study, except for PbS CQD-based devices, exhibiting detectivity comparable with InGaAs.
- CQD-based FPA could be fabricated at a low cost.
Author Contributions
Funding
Informed Consent Statement
Data Availability Statement
Conflicts of Interest
References
- Rogalski, A. 2D Materials for Infrared and Terahertz Detectors; CRC Press: Boca Raton, FL, USA, 2020. [Google Scholar]
- Bianconi, S.; Lauhon, L.J.; Mohseni, H. Exaggerated sensitivity in photodetectors with internal gain. Nat. Photonics 2021, 15, 714. [Google Scholar] [CrossRef]
- Rogalski, A. Detectivities of WS2/HfS2 heterojunctions. Nat. Nanotechnol. 2022, 17, 217–219. [Google Scholar] [CrossRef] [PubMed]
- Rogalski, A. Overestimating the performance of photon ultraviolet detectors. IEEE Electron Device Lett. 2023, 44, 805–808. [Google Scholar] [CrossRef]
- Wang, F.; Zhang, T.; Xie, R.; Wang, Z.; Hu, W. How to characterize figures of merit two-dimensional photodetectors. Nat. Commun. 2023, 14, 2224. [Google Scholar] [CrossRef] [PubMed]
- Bielecki, Z.; Achtenberg, K.; Kopytko, M.; Mikołajczyk, J.; Wojtas, J.; Rogalski, A. Review of photodetectors characterization methods. Bull. Pol. Acad. Sci. Tech. Sci. 2022, 70, e140534. [Google Scholar] [CrossRef]
- Fang, H.; Hu, W. Photogating in Low Dimensional Photodetectors. Adv. Sci. 2017, 4, 170323. [Google Scholar] [CrossRef]
- Kruse, P.W. The photon detection process. In Optical and Infrared Detectors; Keyes, R.J., Ed.; Springer: Berlin/Heidelberg, Germany, 1977; pp. 5–69. [Google Scholar]
- Kingston, R.H. Detection of Optical and Infrared Radiation; Wiley: New York, NY, USA, 1983. [Google Scholar]
- Dereniak, E.L.; Boremen, G.D. Infrared Detectors and Systems; Wiley: New York, NY, USA, 1996. [Google Scholar]
- Li, X.; Zhu, C.; Zhu, X.; Xu, Z.; Zhuang, X.; Ji, X.; Yan, F. Background limited ultraviolet photodetectors of solar-blind ultraviolet detection. Appl. Phys. Lett. 2013, 103, 171110. [Google Scholar] [CrossRef]
- Zhang, Q.; Li, N.; Zhang, T.; Dong, D.; Yang, Y.; Wang, Y.; Dong, Z.; Shen, J.; Zhou, T.; Liang, Y.; et al. Enhanced gain and detectivity of unipolar barrier solar blind avalanche photodetector via lattice and band engineering. Nat. Commun. 2023, 14, 418. [Google Scholar] [CrossRef]
- Yu, S.; Zhao, X.; Ding, M.; Tan, P.; Hou, X.; Zhang, Z.; Mu, W.; Jia, Z.; Tao, X.; Xu, G.; et al. High-detectivity β-Ga2O3 microflake solar-blind phototransistor for weak light detection. IEEE Electron Device Lett. 2021, 42, 383–386. [Google Scholar] [CrossRef]
- Liu, X.; Gu, L.; Zhang, Q.; Wu, J.; Long, Y.; Fan, Z. All-printable band-edge modulated ZnO nanowire photodetectors with ultra-high detectivity. Nat. Commun. 2014, 5, 4007. [Google Scholar] [CrossRef]
- Li, Z.; Feng, Z.; Xu, Y.; Feng, Q.; Zhu, W.; Chen, D.; Zhou, H.; Zhang, J.; Zhang, C.; Hao, Y. High performance β-Ga2O3 solar-blind metal-oxide-semiconductor field-effect phototransistor with hafnium oxide gate dielectric process. IEEE Electron Device Lett. 2021, 42, 545–548. [Google Scholar] [CrossRef]
- Zhang, H.; Liang, F.; Song, K.; Xing, C.; Wang, D.; Yu, H.; Huang, C.; Sun, Y.; Yang, L.; Zhao, X.; et al. Demonstration of AlGaN/GaN-based ultraviolet phototransistor with a record high responsivity over 3.6 × 107 A/W. Appl. Phys. Lett. 2021, 118, 242105. [Google Scholar] [CrossRef]
- Guo, D.-Y.; Shan, C.-X.; Qu, S.-N.; Shen, D.-Z. Highly sensitive ultrafiolet photodetectors fabricated from ZnO quantum dots/carbon nanodots hybrid films. Sci. Rep. 2014, 4, 7469. [Google Scholar] [CrossRef] [PubMed]
- Kwak, D.H.; Lim, D.H.; Ra, H.S.; Ramasamy, P.; Lee, J.S. High performance hybrid graphene-CsPbBr3-xIx perovskite nano-crystal photodetector. RSC Adv. 2016, 6, 65252–65256. [Google Scholar] [CrossRef]
- Zhang, Y.; Hellebusch, D.J.; Bronstein, N.D.; Ko, C.; Ogletree, D.F.; Salmeron, M.; Alivisatos, A.P. Ultrasensitive photodetectors exploiting electrostatic trapping and percolation transport. Nat. Commun. 2016, 7, 11924. [Google Scholar] [CrossRef]
- Catalog 2018/2019. Available online: https://vigo.com.pl (accessed on 25 August 2024).
- HOT MCT Detectors. Available online: https://www.teledynejudson.com/ (accessed on 25 August 2024).
- Rogalski, A.; Martyniuk, P.; Kopytko, M. Type-II superlattice photodetectors versus HgCdTe photodiodes. Prog. Quantum Electron. 2019, 68, 100228. [Google Scholar] [CrossRef]
- Amani, M.; Regan, E.; Bullock, J.; Ahn, G.H.; Javey, A. Mid-wave infrared photoconductors based on black phosphorus-arsenic alloys. ACS Nano 2017, 11, 11724–11731. [Google Scholar] [CrossRef]
- Lukman, S.; Ding, L.; Xu, L.; Tao, Y.; Riis-Jensen, A.C.; Zhang, G.; Wu, Q.Y.S.; Yang, M.; Luo, S.; Hsu, C.; et al. Reply to: Detectivities of WS2/HfS2 heterojunctions. Nat. Nano. 2022, 17, 220–221. [Google Scholar] [CrossRef]
- Xue, X.; Chen, M.; Luo, Y.; Qin, T.; Tang, X.; Hao, Q. High-operating temperature mid-infrared photodetectors via quantum dot gradient homojunction. Light Sci. Appl. 2023, 12, 2. [Google Scholar] [CrossRef]
- Tian, P.; Wu, H.; Tang, L.; Xiang, J.; Ji, R.; Lau, S.P.; Te, K.S.; Guo, W.; Yao, Y.; Lig, L.-J. Ultrasensitive broadband photodetectors based on two-dimensional Bi2O2Te films. J. Mater. Chem. C 2011, 9, 13713–13721. [Google Scholar] [CrossRef]
- Konstantatos, G. Current status and technological prospect of photodetectors based on two-dimensional materials. Nat. Commun. 2018, 9, 5266. [Google Scholar] [CrossRef] [PubMed]
- Konstantatos, G.; Badioli, M.; Gaudreau, L.; Osmond, J.; Bernechea, M.; de Arquer, F.P.G.; Gatti, F.; Koppens, F.H.L. Hybrid graphene-quantum dot phototransistors with ultrahigh gain. Nat. Nanotechnol. 2012, 7, 363–368. [Google Scholar] [CrossRef] [PubMed]
- Ni, Z.; Ma, L.; Du, S.; Xu, Y.; Yuan, M.; Fang, H.; Wang, Z.; Xu, M.; Li, D.; Yang, J.; et al. Plasmonic silicon quantum dots enabled high-sensitivity ultrabroadband photodetection of graphene-based hybrid phototransistors. ACS Nano 2017, 11, 9854–9862. [Google Scholar] [CrossRef] [PubMed]
- Klem, E.J.D.; Gregory, C.; Temple, D.; Lewi, J. PbS colloidal quantum dot photodiodes for low-cost SWIR sensing. Proc. SPIE 2015, 9451, 945104. [Google Scholar]
- Ye, L.; Wang, P.; Luo, W.; Gong, F.; Liao, L.; Liu, T.; Tong, L.; Zang, J.; Xu, J.; Hu, W. Highly polarization sensitive infrared photodetector based on black phosphorus-on-WSe2 photogate vertical heterostructure. Nano Energy 2017, 37, 53–60. [Google Scholar] [CrossRef]
- Long, M.; Wang, Y.; Wang, P.; Zhou, X.; Xia, H.; Luo, C.; Huang, S.; Zhang, G.; Yan, H.; Fan, Z.; et al. Palladium diselenide long-wavelength infrared photodetector with high sensitivity and stability. ACS Nano 2019, 13, 2511–2519. [Google Scholar] [CrossRef]
- Wang, S.; Liu, H.; Cao, Z.; Wang, X.; Zhang, L.; Ding, J.; Xue, Y.; Han, T.; Li, F.; Shan, L.; et al. Highly sensitive long-wave infrared photodetector based on two-dimensional hematite α-Fe2O3. Adv. Optical Mater. 2023, 11, 2300382. [Google Scholar] [CrossRef]
- Yu, X.; Yu, P.; Wu, D.; Singh, B.; Zeng, Q.; Lin, H.; Zhou, W.; Lin, J.; Suenaga, K.; Liu, Z.; et al. Atomically thin noble metal dichalcogenide: A broadband mid-infrared semiconductor. Nat. Commun. 2018, 9, 1545. [Google Scholar] [CrossRef]
- Zeng, L.; Wu, D.; Jie, J.; Ren, X.; Hu, X.; Lau, S.; Chai, Y.; Tsang, Y.H. Van der Waals epitaxial growth of mosaic-like 2D platinum ditelluride layers for room-temperature mod-infrared photodetection up to 10.6 μm. Adv. Mater. 2020, 32, 2004412. [Google Scholar]
- Du, S.; Lu, W.; Ali, A.; Zhao, P.; Shehzad, K.; Guo, H.; Ma, L.; Pi, X.; Wang, P.; Fang, H.; et al. A broadband fluorographene photodetector. Adv. Mater. 2017, 29, 1700463. [Google Scholar] [CrossRef]
- Luo, P.; Zhuge, F.; Wang, F.; Lian, L.; Liu, K.; Zhang, J.; Zhai, T. PbSe quantum dots sensitized high-mobility Bi2O2Se nanosheets for high-performance and broadband photodetection beyond 2 μm. ACS Nano 2019, 13, 9028–9037. [Google Scholar] [CrossRef] [PubMed]
- Kim, J.; Park, S.; Jang, H.; Koirala, N.; Lee, J.-B.; Kim, U.J.; Lee, H.-S.; Roh, Y.-G.; Lee, H.; Sim, S.; et al. Highly sensitive, gate-tunable, room-temperature mid-infrared photodetection based on graphene-Bi2Se3 heterostructure. ACS Photonics 2017, 4, 482–488. [Google Scholar] [CrossRef]
- Lukman, S.; Ding, L.; Xu, L.; Tao, Y.; Riis-Jensen, A.C.; Zhang, G.; Wu, Q.Y.S.; Yang, M.; Luo, S.; Hsu, C.; et al. High oscillator strength interlayer excitons in two-dimensional heterostructures for mid-infrared photodetection. Nat. Nanotechnol. 2020, 15, 675–682. [Google Scholar] [CrossRef] [PubMed]
- Huo, N.; Gupta, S.; Konstantatos, G. MoS2-HgTe quantum dot hybrid photodetectors beyond 2 μm. Adv. Mater. 2017, 29, 1606576. [Google Scholar] [CrossRef] [PubMed]
- Yu, X.; Li, Y.; Hu, X.; Zhang, D.; Tao, Y.; Liu, Z.; He, Y.; Haque, M.A.; Liu, Z.; Wu, T.; et al. Narrow bandgap oxide nanoparticles coupled with graphene for high performance mid-infrared photodetection. Nat. Commun. 2018, 9, 4299. [Google Scholar] [CrossRef]
- Chen, X.; Ren, F.; Gu, S.; Ye, J. Review of gallium-oxide-based solar-blind ultraviolet photodetectors. Photonics Res. 2019, 7, 381. [Google Scholar] [CrossRef]
- Higashiwaki, M. β-Ga2O3 material properties, growth technologies, and devices: A review. AAPPS Bull. 2022, 32, 3. [Google Scholar] [CrossRef]
- Wang, Y.; Wang, F.; Li, S.; Yang, J.; Yan, T.; Cai, Y.; Wu, Z.; Zhan, X.; He, J.; Wang, Z. Vertical barrier heterostructures for reliable, robust, and high-performance ultraviolet detection. Small 2022, 18, 2204021. [Google Scholar] [CrossRef]
- Polman, A.; Knight, M.; Garnett, E.C.; Ehrler, B.; Sinke, W.C. Photovoltaic materials–present efficiencies and future challenges. Science 2016, 352, aad4424. [Google Scholar] [CrossRef]
- Rajagopal, A.; Yao, K.; Jen, A.K.-Y. Toward perovskite solar cell commercialization: A perspective and research roadmap based on interfacial engineering. Adv. Mater. 2018, 30, 1800455. [Google Scholar] [CrossRef]
- Roy, P.; Ghosh, A.; Barclay, F.; Khare, A.; Cuce, E. Perovskite solar cells: A review of the recent advances. Coatings 2022, 12, 1089. [Google Scholar] [CrossRef]
- Miyata, A.; Mitioglu, A.; Plochocka, P.; Portugall, O.; Wang, J.T.-W.; Stranks, S.D.; Snaith, H.; Nicholas, R. Direct measurement of the exciton binding energy and effective masses for charge carriers in organic-inorganic tri-halide perovskite. Nat. Phys. 2015, 11, 582–587. [Google Scholar] [CrossRef]
- Wang, H.; Kim, D.H. Perovskite-based photodetectors: Materials and devices. Chem. Soc. Rev. 2017, 46, 5204–5236. [Google Scholar] [CrossRef] [PubMed]
- Feng, X.; Zhu, W.; Zhao, M.; Yang, L.S.; Tang, S.; Guo, Q.; Jin, Z.; Chen, D.; Ding, G.; Wang, G. Perovskite quantum dots integrated with vertically aligned graphene toward ambipolar multifunctional photodetectors. J. Mater. Chem. C 2021, 9, 609. [Google Scholar] [CrossRef]
- Elliott, C.T.; Gordon, N.T.; White, A.M. Towards background-limited, room-temperature infrared photon detectors. Appl. Phys. Lett. 1999, 74, 2881–2883. [Google Scholar] [CrossRef]
- Piotrowski, J.; Rogalski, A. High-Operating-Temperature Infrared Photodetectors; SPIE Press: Bellingham, WA, USA, 2007. [Google Scholar]
- Rogalski, A. Van der Waals materials for HOT infrared detectors: A review. Opto-Electron. Rev. 2022, 30, el40551. [Google Scholar]
- Pi, L.; Li, L.; Liu, K.; Zhang, Q.; Li, H.; Zhai, T. Recent progress on 2D noble-transition-metal dichalcogenides. Adv. Funct. Mater. 2019, 29, 1904932. [Google Scholar] [CrossRef]
- Zeng, L.-H.; Wu, D.; Lin, S.-H.; Xie, C.; Yuan, H.-Y.; Lu, W.; Lau, S.P.; Chai, Y.; Luo, L.-B.; Li, Z.-J.; et al. Controlled synthesis of 2D palladium diselenide for sensitive photodetector applications. Adv. Funct. Mater. 2019, 29, 1806878. [Google Scholar] [CrossRef]
- Buscema, M.; Island, J.O.; Groenendijk, D.J.; Blanter, S.I.; Steele, G.A.; van der Zant, H.S.J.; Castellanos-Gomez, A. Photocurrent generation with two-dimensional van der Waals semiconductor. Chem. Soc. Rev. 2015, 44, 3691–3718. [Google Scholar] [CrossRef]
- Wang, F.; Wang, Z.; Yin, L.; Cheng, R.; Wang, J.; Wen, Y.; Shifa, T.A.; Wang, F.; Zhang, Y.; Zhan, X.; et al. 2D library beyond graphene and transition metal dichalcogenides: A focus on photodetection. Chem. Soc. Rev. 2018, 47, 6296–6341. [Google Scholar] [CrossRef]
- Rogalski, A.; Martyniuk, P.; Kopytko, M.; Hu, W. Trends in performance limits of the HOT infrared photodetectors. Appl. Sci. 2021, 11, 501. [Google Scholar] [CrossRef]
- Lee, D.; Dreiske, P.; Ellsworth, J.; Cottier, R.; Chen, A.; Tallaricao, S.; Yulius, A.; Carmody, M.; Piquetteb, E.; Zandian, M.; et al. Law 19–the ultimate photodiode performance metric. Proc. SPIE 2020, 11407, 114070X. [Google Scholar]
- Kinch, M.A. State-of-the-Art Infrared Detector Technology; SPIE Press: Bellingham, WA, USA, 2014. [Google Scholar]
- Tennant, W.E.; Lee, D.; Zandian, M.; Piquette, E.; Carmody, M. MBE HgCdTe technology: A very general solution to IR detection, descibrd by ‘Rule 07’, a very convenient heuristic. J. Electron. Mater. 2008, 37, 1406–1410. [Google Scholar] [CrossRef]
- Rhiger, D.R. Performance comparison of long-wavelength infrared type II superlattice devices with HgCdTe. J. Electron. Mater. 2011, 40, 1815–1822. [Google Scholar] [CrossRef]
- Klipstein, P.C.; Avnon, E.; Azulai, D.; Benny, Y.; Fraenkel, R.; Glozman, A.; Hojman, E.; Klin, O.; Krasovitsky, L.; Langof, L.; et al. Type II superlattice technology for LWIR detectors. Proc. SPIE 2016, 9819, 98190T. [Google Scholar]
- Kopytko, M.; Rogalski, A. Performance evaluation of type-II superlattice devices relative to HgCdTe photodiodes. IEEE Trans. Electron. Dev. 2022, 69, 2992–3002. [Google Scholar] [CrossRef]
- Guyot-Sionnest, P.; Ackerman, M.M.; Tang, X. Colloidal quantum dots for infrared detection beyond silicon. J. Chem. Phys. 2019, 151, 060901. [Google Scholar] [CrossRef]
- Rogalski, A.; Kopytko, M.; Martyniuk, P. Comparison of performance limits of HOT HgCdTe photodiodes with colloidal quantum dot infrared detectors. Bull. Pol. Acad. Sci. Tech. Sci. 2020, 68, 845–855. [Google Scholar]
- Rogalski, A.; Kopytko, M.; Martyniuk, P.; Hu, W. Comparison of performance limits of HOT HgCdTe photodiodes with 2D material infrared photodetectors. Opto-Electron. Rev. 2020, 28, 82–92. [Google Scholar]
- Zandian, M. Rule-22: An update to Rule-07. J. Electron. Mater. 2023, 52, 7095–7102. [Google Scholar] [CrossRef]
- Rogalski, A. Infrared and Terahertz Detectors; CRC Press: Boca Raton, FL, USA, 2019. [Google Scholar]
- Lee, D.; Dreiske, P.; Ellsworth, J.; Cottier, R.; Chen, A.; Tallarico, S.; Yulius, A.; Carmody, M.; Piquette, E.; Zandian, M.; et al. Law 19–The ultimate photodiode performance metric. In The 2019 U.S. Workshop on the Physics and Chemistry of II-VI Materials; Extended Abstracts; SPIE Press: Bellingham, WA, USA, 2019; pp. 13–15. [Google Scholar]
- GHansen, L.; Schmit, J.L.; Casselman, T.N. Energy gap versus alloy composition and temperature in Hg1–xCdxTe. J. Appl. Phys. 1982, 53, 7099–7101. [Google Scholar] [CrossRef]
- Tang, Q.; Zhong, F.; Li, Q.; Weng, J.; Li, J.; Lu, H.; Wu, H.; Li, S.; Wang, J.; Deng, K.; et al. Infrared photodetection from 2D/3D van der Waals heterostructures. Nanomaterials 2023, 13, 1169. [Google Scholar] [CrossRef] [PubMed]
- Piotrowski, J.; Rogalski, A. Comment on “Temperature limits on infrared detectivities of InAs/InxGa1–xSb superlattices and bulk Hg1−xCdxTe” [J. Appl. Phys. 74, 4774 (1993)]. J. Appl. Phys. 1996, 80, 2542–2544. [Google Scholar] [CrossRef]
- Rogalski, A. Scaling infrared detectors—Status and outlook. Rep. Prog. Phys. 2022, 85, 126501. [Google Scholar] [CrossRef]
- Yang, J.; Xu, R.; Pei, J.; Myint, Y.W.; Wang, F.; Wang, Z.; Zhang, S.; Yu, Z.; Lu, Y. Optical tuning of exciton and trion emissions in monolayer phosphorene. Light Sci. Appl. 2015, 4, e312. [Google Scholar] [CrossRef]
- Vargas-Bernal, R. Graphene against Other Two-Dimensional Materials: A Comparative Study on the Basis of Photonic Applications; IntechOpen: London, UK, 2017. [Google Scholar] [CrossRef]
- Chen, Y.; Wang, Y.; Wang, Z.; Gu, Y.; Ye, Y.; Chai, X.; Ye, J.; Chen, Y.; Xie, R.; Zhou, Y.; et al. Unipolar barrier photodetectors based on van der Waals heterostructures. Nat. Electron. 2021, 4, 357–363. [Google Scholar] [CrossRef]
- Long, M.; Gao, A.; Wang, P.; Xia, H.; Ott, C.; Pan, C.; Fu, Y.; Liu, E.; Chen, X.; Lu, W.; et al. Room temperature high-detectivity mid-infrared photodetectors based on black arsenic phosphorus. Sci. Adv. 2017, 3, e1700589. [Google Scholar] [CrossRef]
- Liu, F.; Shimotani, H.; Shang, H.; Kanagasekaran, T.; Zolyomi, V.; Drummond, N.; Fal’ko, V.I.; Tanigaki, K. High-sensitivity photodetectors based on multilayer GaTe flakes. ACS Nano 2014, 8, 752–760. [Google Scholar] [CrossRef]
- Guo, W.; Xu, S.; Wu, Z.; Wang, N.; Loy, M.M.T.; Du, S. Oxygen-assisted charge transfer between ZnO quantum dots and graphene. Small 2013, 9, 3031–3036. [Google Scholar] [CrossRef]
- Rogalski, A.; Kopytko, M.; Hu, W.; Martyniuk, P. “Infrared HOT photodetectors: Status and outlook. Sensors 2023, 23, 7564. [Google Scholar] [CrossRef]
- Long, M.; Wang, P.; Fang, H.; Hu, W. Progress, challenges, and opportunities for 2D material based photodetectors. Adv. Funct. Mater. 2018, 29, 1803807. [Google Scholar] [CrossRef]
- Wang, P.; Liu, S.; Luo, W.; Fang, H.; Gong, F.; Guo, N.; Chen, Z.-G.; Zou, J.; Huang, Y.; Zhou, X.; et al. Arrayed van der Waals broadband detectors for dual-band detection. Adv. Mater. 2017, 29, 1604439. [Google Scholar] [CrossRef] [PubMed]
- Goossens, S.; Navickaite, G.; Monasterio, C.; Gupta, S.; Piqueras, J.J.; Pérez, R.; Burwell, G.; Nikitskiy, I.; Lasanta, T.; Galán, T.; et al. Broadband image sensor array based on graphene-CMOS integration. Nat. Photonics 2017, 11, 366–371. [Google Scholar] [CrossRef]
- Phillips, J. Evaluation of the fundamental properties of quantum dot infrared detectors. J. Appl. Phys. 2002, 91, 4590–4594. [Google Scholar] [CrossRef]
- Lan, C.; Shi, Z.; Cao, R.; Li, C.; Zhang, H. 2D materials beyond graphene toward Si integrated infrared optoelectronic devices. Nanoscale 2020, 12, 1178. [Google Scholar] [CrossRef]
- Cheng, Z.; Zhao, T.; Zeng, H. 2D Material-based photodetectors for infrared imaging. Small Sci. 2022, 2, 2100051. [Google Scholar] [CrossRef]
- Li, T.; Guo, W.; Ma, L.; Li, W.; Yu, Z.; Han, Z.; Gao, S.; Liu, L.; Fan, D.; Wang, Z.; et al. Epitaxial growth of wafer-scale molybdenum disulfide semiconductor single crystals on sapphire. Nat. Nanotechnol. 2021, 16, 1201–1207. [Google Scholar] [CrossRef]
- Xia, Y.; Chen, X.; Wei, J.; Wang, S.; Chen, S.; Wu, S.; Ji, M.; Sun, Z.; Xu, Z.; Bao, W.; et al. 12-inch growth of uniform MoS2 monolayer for integrated circuit manufacture. Nat. Mater. 2023, 22, 1324–1331. [Google Scholar] [CrossRef]
- Available online: https://irds.ieee.org/editions (accessed on 25 August 2024).
- Briggs, N.; Subramanian, S.; Lin, Z.; Li, X.; Zhang, X.; Zhang, K.; Xia, K.; Geohegan, D.; Wallace, R.; Chen, L.-Q.; et al. A roadmap for electronic grade 2D materials. 2D Mater. 2019, 6, 022001. [Google Scholar] [CrossRef]
- Klitzing, K. The quantized Hall effect. Rev. Mod. Phys. 1986, 58, 519–531. [Google Scholar] [CrossRef]
- Noh, H.-J.; Koh, H.; Oh, S.-J.; Park, J.-H.; Kim, H.-D.; Rameau, J.D.; Valla, T.; Kidd, T.E.; Johnson, P.D.; Hu, Y.; et al. Spin-orbit interaction effect in the electronic structure of Bi2Te3 observed by angle-resolve photoemission spectroscopy. Europhys. Lett. 2008, 81, 57006. [Google Scholar] [CrossRef]
- Hasan, M.Z.; Kane, C.L. Colloquium: Topological insulators. Rev. Mod. Phys. 2010, 82, 3045–3067. [Google Scholar] [CrossRef]
- Kane, C.; Moore, J. Topological insulators. Phys. World 2011, 24, 32–37. [Google Scholar] [CrossRef]
- Ando, Y. Topological insulator materials. J. Phys. Soc. Jpn. 2013, 82, 102001. [Google Scholar] [CrossRef]
- Yang, M.; Zhou, H.; Wang, J. Topological insulators photodetectors: Preparation, advances and application challenges. Mater. Today Commun. 2022, 33, 104190. [Google Scholar] [CrossRef]
- Wang, B.; Zhong, S.; Xu, P.; Zhang, H. Recent development and advances in photodetectors based on two-dimensional topological insulators. J. Mater. Chem. C 2020, 8, 15526. [Google Scholar] [CrossRef]
- Lee, C.-K.; Lee, J.H.; Zhang, B.-T.; He, J.-L. Topological insulators and applications. In 2D Materials for Nanophotonics; Jhon, Y.M., Lee, J.-H., Eds.; Elsevier: Amsterdam, The Netherlands, 2021; pp. 81–138. [Google Scholar]
- Zhang, X.; Liu, X.; Zhang, C.; Peng, S.; Zhou, H.; He, L.; Gou, J.; Wang, X.; Wang, J. Epitaxial topological insulator Bi2Te3 for fast visible to mid-infrared heterojunction photodetector by graphene as charge collection medium. ACS Nano 2022, 16, 4851–4860. [Google Scholar] [CrossRef]
- Zhou, Y.; Lai, J.W.; Kong, L.J.; Ma, J.C.; Lin, Z.; Lin, F.; Zhu, R.; Xu, J.; Huang, S.M.; Tang, D.S.; et al. Single crystalline SmB6 nanowires for self-powered, broadband photodetectors covering mid-infrared. Appl. Phys. Lett. 2018, 112, 162106. [Google Scholar] [CrossRef]
- Zhang, H.; Song, Z.; Li, D.; Xu, Y.; Li, J.; Bai, C.; Man, B. Near-infrared photodetection based on topological insulator P-N heterojunction of SnTe/Bi2Se3. Appl. Surf. Sci. 2020, 509, 145290. [Google Scholar] [CrossRef]
- Yang, M.; Han, Q.; Liu, X.; Han, J.; Zhao, Y.; He, L.; Gou, J.; Wu, Z.; Wang, X.; Wang, J. Ultrahigh stability 3D TI Bi2Se3/MoO3 thin film heterojunction infrared photodetector at optical communication waveband. Adv. Funct. Mater. 2020, 30, 1909659. [Google Scholar] [CrossRef]
- Wang, Q.; Wen, Y.; Yao, F.; Huang, Y.; Wang, Z.; Li, M.; Zhan, X.; Xu, K.; Wang, F.; Wang, F.; et al. BN-enabled epitaxy of Pb1–xSnxSe nanoplates on SiO2/Si for high-performance mid-infrared detection. Small 2015, 11, 5388–5394. [Google Scholar] [CrossRef] [PubMed]
- SIslam; Mishra, J.K.; Kumar, A.; Chatterjee, D.; Ravishankar, N.; Ghosh, A. Ultra-sensitive graphene-bismuth telluride nano-wire hybrids for infrared detection. Nanoscale 2019, 11, 1579–1586. [Google Scholar] [CrossRef] [PubMed]
- Yang, M.; Wang, J.; Zhao, Y.; He, L.; Ji, C.; Zhou, H.; Gou, J.; Li, W.; Wu, Z.; Wang, X. Polarimetric three-dimensional topological insulators/organics thin film heterojunction photodetectors. ACS Nano 2019, 13, 10810–10817. [Google Scholar] [CrossRef] [PubMed]
- Zhang, Y.; Tang, L.; Teng, K.S. High performance broadband photodetectors based on Sb2Te3/n-Si heterostructure. Nanotechnology 2020, 31, 304002. [Google Scholar] [CrossRef] [PubMed]
- Wu, D.; Gu, C.; Zeng, L.; Ren, X.; Shi, Z.; Wen, L.; Chen, Q.; Zhang, M.; Li, X.J.; Shan, C.-X.; et al. Phase-controlled van der Waals growth of wafer-scale 2D MoTe2 layers for integrated high-sensitivity broadband infrared photodetection. Light Sci. Appl. 2023, 12, 5. [Google Scholar] [CrossRef]
- Rogalski, A. Topological insulator photodetectors in HOT infrared detector family. Appl. Phys. Lett. 2023, 123, 230502. [Google Scholar] [CrossRef]
- Rogalski, A. Progress in quantum dot infrared photodetectors. In Quantum Dot Photodetectors; Tong, X., Wu, J., Wang, Z.M., Eds.; Springer: Cham, Switzerland, 2021. [Google Scholar]
- Chen, M.; Xue, X.; Qin, T.; Wen, C.; Hao, Q.; Tang, X. Universal homojunction design for colloidal quantum dot infrared photodetectors. Adv. Mater. Technol. 2023, 8, 2300315. [Google Scholar] [CrossRef]
- Luo, Y.; Tan, Y.; Bi, C.; Zhang, S.; Xue, X.; Chen, M.; Hao, Q.; Liu, Y.; Tang, X. Megapixel large-format colloidal quantum-dot infrared imagers with resonant-cavity enhanced photoresponse. APL Photonics 2023, 8, 056109. [Google Scholar] [CrossRef]
- Yao, J.; Shao, J.; Wang, Y.; Zhao, Z.; Yang, G. Ultra-broadband and high response of the Bi2Te3-Si heterojunction and its application as a photodetector at room temperature in harsh working environments. Nanoscale 2015, 7, 12535–12541. [Google Scholar] [CrossRef]
- Lu, H.; Carroll, G.M.; Neale, N.R.; Beard, M.C. Infrared quantum dots: Progress, challenges, and opportunities. ACS Nano 2019, 13, 939–953. [Google Scholar] [CrossRef]
- Wang, Y.; Ding, G.; Mao, J.-Y.; Zhou, Y.; Han, S.-T. Recent advances in synthesis and application of perovskite quantum dot based composites for photonics, electronics and sensors. Sci. Technol. Adv. Mater. 2020, 21, 278–302. [Google Scholar] [CrossRef] [PubMed]
- de Arquer, F.P.G.; Armin, A.; Meredith, P.; Sargent, E.H. Solution-processed semiconductors for next-generation photodetectors. Nat. Rev. Mater. 2017, 2, 16100. [Google Scholar] [CrossRef]
- Vafaie, M.; Fan, J.Z.; Najarian, A.M.; Ouellette, O.; Sagar, L.K.; Bertens, K.; Sun, B.; de Arquer, F.P.G.; Sargent, E.H. “Colloidal quantum dot photodetectors with 10-ns response time and 80% quantum efficiency at 1,550 nm. Matter 2021, 4, 1042–1053. [Google Scholar] [CrossRef]
- Tang, X.; Ackerman, M.M.; Shen, G.; Guyot-Sionnest, P. Towards infrared electronic eyes: Flexible colloidal quantum dot photovoltaic detectors enhanced by resonant cavity. Small 2019, 15, 1804920. [Google Scholar] [CrossRef]
- Konstantatos, G.; Howard, I.; Fischer, A.; Hoogland, S.; Clifford, J.; Klem, E.; Levina, L.; Sargent, E.H. Ultrasensitive solution-cast quantum dot photodetectors. Nature 2006, 442, 180–183. [Google Scholar] [CrossRef]
- Tang, X.; Ackerman, M.M.; Chen, M.; Guyot-Sionnest, P. Dual-band infrared imaging using stacked colloidal quantum dot photodiodes. Nat. Photonics 2019, 13, 277–282. [Google Scholar] [CrossRef]
- Lhuillier, E. Optoelectronics of Confined Semiconductors: The Case of Colloidal Nanocrystals and Their Application to Photodetection. arXiv 2017, arXiv:1706.02837. [Google Scholar]
- Ackerman, M.M.; Chen, M.; Guyot-Sionnest, P. HgTe colloidal quantum dot photodiodes for extended short-wave infrared detection. Appl. Phys. Lett. 2020, 116, 083502. [Google Scholar] [CrossRef]
- Tang, X.; Ackerman, M.M.; Guyot-Sionnest, P. Acquisition of hyperspectral data with colloidal quantum dots. Laser Photonics Rev. 2019, 13, 1900165. [Google Scholar] [CrossRef]
- Pejovic, V.; Georgitzikis, E.; Lee, J.; Lieberman, I.; Cheyns, D.; Heremans, P.; Malinowski, P.E. Infrared colloidal quantum dot image sensors. IEEE Trans. Electron Devices 2022, 69, 2840–2850. [Google Scholar] [CrossRef]
- Malinowski, P.E.; Georgitzikis, E.; Maes, J.; Vamvaka, I.; Frazzica, F.; Van Olmen, J.; De Moor, P.; Heremans, P.; Hens, Z.; Cheyns, D. Thin-film quantum dot photodiode for monolithic infrared image sensors. Sensors 2017, 17, 2867. [Google Scholar] [CrossRef] [PubMed]
- Tang, X.; Ackerman, M.M.; Guyot-Sionnest, P. Thermal imaging with plasmon resonance enhanced HgTe colloidal quantum dot photovoltaic devices. ACS Nano 2018, 12, 7362–7370. [Google Scholar] [CrossRef] [PubMed]
- Huang, W.; Rassela, S.M.S.; Li, L.; Massengale, J.A.; Yang, R.Q.; Mishima, T.D.; Santos, M.B. A unified figure of merit for interband and intersubband cascade devices. Infrared Phys. Technol. 2019, 96, 298–301. [Google Scholar] [CrossRef]
- Chen, M.; Lu, H.; Abdelazim, N.M.; Zhu, Y.; Wang, Z.; Ren, W.; Kershaw, S.V.; Rogach, A.L.; Zhao, N. Mercury telluride quantum dot based phototransistor enabling high-sensitivity room-temperature photodetection at 2000 nm. ACS Nano 2017, 11, 5614–5622. [Google Scholar] [CrossRef] [PubMed]
- Hafiz, S.B.; Scimeca, M.; Sahu, A.; Ko, K. Colloidal quantum dots for thermal infrared sensing and imaging. Nano Converg. 2019, 6, 7. [Google Scholar] [CrossRef] [PubMed]
- Temple, D.S.; Hilton, A.; Klem, E.J.D. Toward low-cost infrared imagers: How to leverage Si IC ekosystem. Proc. SPIE 2016, 9989, 99890E-1. [Google Scholar]
- SWIR Vision Systems. Acuros CQD 1920/1920L GigE SWIR Camera. Available online: https://www.swirvisionsystems.com/ (accessed on 25 August 2024).
- Available online: https://www.emberion.com/products/vs20-vis-swir-camera/ (accessed on 25 August 2024).
- Steckel, J.S.; Josse, E.; Pattantyus-Abraham, A.G.; Bidaud, M.; Mortini, B.; Bilgen, H.; Arnaud, O.; Allegret-Maret, S.; Saguin, F.; Mazet, L.; et al. 1.62 μm global shutter quantum dot image sensor optimized for near and shortwave infrared. In Proceedings of the 2021 IEEE International Electron Devices Meeting (IEDM), San Francisco, CA, USA, 11–16 December 2021; pp. 23–24. [Google Scholar]
- Buurma, C.; Pimpinellaa, R.E.; Ciani, A.J.; Feldman, J.S.; Grein, C.H.; Guyot-Sionnest, P. MWIR imaging with low cost colloidal quantum dot films. Proc. SPIE 2016, 9933, 993303. [Google Scholar]
- Guo, B.; Lai, R.; Jiang, S.; Zhou, L.; Ren, Z.; Lian, Y.; Li, P.; Cao, X.; Xing, S.; Wang, Y.; et al. Ultrastable near-infrared perovskite light emitting diodes. Nat. Photonics 2022, 16, 637–643. [Google Scholar] [CrossRef]
- Jerram, P.; Beletic, J. Teledyne’s high performance infrared detectors for space missions. Proc. SPIE 2018, 11180, 111803D-2. [Google Scholar]


























| Detector | Design | Energy Band Diagram |
|---|---|---|
| Photoconductor Radiation-sensitive photoresistor. Electron-hole pairs generated in a homogeneous semiconductor. Electric field applied across the absorbing region causes a current to flow being proportional to the incident light (assuming the photon energy exceeds bandgap energy). | ![]() | ![]() |
| P-N photodiode p-on-n/n-on-p the common design. Electric field between n and p regions (depletion region) separates photogenerated carriers on proper part of the p-n junction. Potential barriers drive oppositely charged carriers into opposite directions depending on the external polarization. The photogenerated current influences the short-circuit junction current and the open-circuit junction bias. | ![]() | ![]() |
| P-i-N photodiode P-i-N diode consists of an intrinsic i-region inserted between the N and P layers (capital letter-wide bandgap). The depletion layer extends over entire intrinsic region for the reverse bias. Photons generate the electron-hole pairs only in this region. Without electrically neutral region, the zero diffusion current in the detector is visible, and minority carriers generated via defect centers in the depletion layer contribute to the dark current. | ![]() | ![]() |
| Avalanche photodiode (APD) When a reverse voltage is applied to the device, the generated carriers are accelerated by the electric field gaining enough energy to create extra electron-hole pairs via impact ionization and leading to a significant increase in the output signal, improving the APD’s net sensitivity. The APD exhibits fast response time, high quantum efficiency and sensivity. | ![]() | ![]() |
| Schottky barrier photodiode The Schottky barrier photodiode is built of a metal-semiconductor junction to separate and collect the photogenerated charge carriers. The carriers generated in the depletion layer are effectively removed by the built-in electric field resulting in the photocurrent. Schottky barrier photodiode exhibits advantages (compared to a p-n) to include simple processing/fabrication and a higher reaction rate, however, exhibits significant dark current. | ![]() | ![]() |
| Metal–semiconductor–metal (MSM) photodiode Similar to the interdigitated photoconductor—where ohmic contacts are replaced by the Schottky barriers building the metal-semiconductor and semiconductor-metal junctions allowing to reach lower dark current comparing to Schottky photodiode and exhibits a faster response time than a P-i-N. | ![]() | ![]() |
| FET photodetector The detector structure resembles lateral photoconductor—MSM forming the drain and source electrodes. The modulation of the channel conductivity is provided by an extra gate electrode being separated by a thin dielectric layer. The gate voltage (VG) controls the carrier density by the field modulation effect and favorably controls dark current by driving the detector into the depletion regime. The light conditions (carriers photogeneration) trigger the device channel conductivity benefiting from the photoelectric gain similarly to the photoconductors. | ![]() | ![]() |
| Parameter | PC Detector | PV Detector | Schematic Figures |
|---|---|---|---|
| Gain (g) | (1) | (for APD>>1) (2) | ![]() |
| Responsivity (R) | (3) | (4) | ![]() |
| Noise | (5) | (6) | ![]() |
| Noise equivalent power (NEP) | (7) | (8) | ![]() |
| Detectivity (D*) | (9) | (10) | |
| BLIP detectivity | ![]() | ||
| SFL detectivity |
| Parameters | Diamond | Si | 4H-SiC | 6H-SiC | AlN | MgO | β-Ga2O3 | GaN | ZnO | ZnSe | MgO |
|---|---|---|---|---|---|---|---|---|---|---|---|
| Bandgap energy (eV) | 5.45 | 1.12 | 3.26 | 3.02 | 6.2 | 7.83 | 4.85 | 3.4 | 3.37 | 2.58 | 7.83 |
| Density (g/cm3) | 3.52 | 2.329 | 3.21 | 3.21 | 3.32 | 3.58 | 5.95 | 6.15 | 5.61 | 5.42 | 3.58 |
| Thermal conductivity (W/cmK) | 22.9 | 1.45 | 3.7 | 4.9 | 4.6 | 4.82 | 0.20 | 3.2 | 5.4 | 0.18 | 4.82 |
| Melting point (K) | 3773 | 1683 | 3100 | 3100 | >2500 | 3073 | 1795 | >2000 | 2242 | 1517 | 3073 |
| Electron saturation velocity (105 m/s) | 2.3 | 1 | 2.1 | 2 | 1.3 | 1.1 | 1.4 | ||||
| Electron mobility (cm2/Vs) | 7300 | 1240 | 950 | 400 | 420 | 10 | 300 | 1000 | 170 | 540 | 10 |
| Hole mobility (cm2/Vs) | 5300 | 480 | 120 | 75 | 14 | 2 | 20 | 11 | 40 | 30 | 2 |
| Dielectric constant | 5.7 | 11.9 | 9.7 | 9.7 | 10.1 | 9.8 | 10 | 10.4 | 9.1 | 8.6 | 9.8 |
| Breakdown field (105 V/cm) | 130 | 3 | 31 | 24 | 154 | 103 | 49.5 |
| Parameter | Level |
|---|---|
| Bandgap energy [eV] | 1.5–2.5 |
| PL quantum efficiency | 70% |
| Absorption coefficient [cm−1] | 104–105 |
| Crystallization energy barrier [kJ/mol] | 56.6–97.3 |
| Charge carrier lifetime [ns] | >300 |
| Carrier mobility [cm2/Vs] | ≈50–200 |
| Relative permittivity | 3 |
| Exciton | Wannier-type exciton |
| Exciton binding energy [meV] | <10 |
| Trap-state density [cm−3] | 1010 (single crystals) 1015–1017 (polycrystals) |
| Parameter | Si | Ge | GaN | GaAs | AlAs | InP | InGaAs | InAs | GaSb | AlSb | InSb | HgTe | CdTe |
|---|---|---|---|---|---|---|---|---|---|---|---|---|---|
| Group | IV | IV | III–V | III–V | III–V | III–V | III–V | III–V | III–V | III–V | III–V | II–VI | II–VI |
| Lattice constant (Å)/structure | 5.431 (D) | 5.658 (D) | 3.189(a)/5.186(c) Wurtzite | 5.653 (ZB) | 5.661 (ZB) | 5.870 (ZB) | 5.870 (ZB) | 6.058 (ZB) | 6.096 (ZB) | 6.136 (ZB) | 6.479 (ZB) | 6.453 (ZB) | 6.476 (ZB) |
| Bulk moduls (Gpa) | 98 | 75 | 172 | 75 | 74 | 71 | 69 | 58 | 56 | 55 | 47 | 43 | 42 |
| Bandgap (eV) | 1.124 (id) | 0.660 (id) | 3.39 | 1.426 (d) | 2.153 (id) | 1.350 (d) | 0.735 (d) | 0.354 (d) | 0.730 (d) | 1.615 (id) | 0.175 (d) | −0.141 (d) | 1.475 (d) |
| Electron effective mass | 0.26 | 0.39 | 0.20 | 0.067 | 0.29 | 0.077 | 0.041 | 0.024 | 0.042 | 0.14 | 0.014 | 0.028 | 0.090 |
| Hole effective mass | 0.19 | 0.12 | 0.80(H) | 0.082(L) 0.45(H) | 0.11(L) 0.40(H) | 0.12(L) 0.55(H) | 0.05(L) 0.60(H) | 0.025(L) 0.37(H) | 0.4 | 0.98 | 0.018(L) 0.4(H) | 0.40 | 0.66 |
| Electron mobility (cm2/Vs) | 1450 | 3900 | 1400 | 8500 | 294 | 5400 | 13,800 | 3 × 104 | 5000 | 200 | 8 × 104 | 26,500 | 1050 |
| Hole mobility (cm2/Vs) | 505 | 1900 | 300 | 400 | 105 | 180 | 1000 | 500 | 880 | 420 | 800 | 320 | 104 |
| Electron saturation velocity (107 cm/s) | 1.0 | 0.70 | 2.7 | 1.0 | 0.85 | 1.0 | 0.6 | 4.0 | 0.5 | 4.0 | |||
| Thermal cond. (W/cmK) | 1.31 | 0.31 | 1.3 | 0.5 | 0.8 | 0.7 | 0.27 | 0.4 | 0.7 | 0.15 | 0.06 | ||
| Relative dielectric constant | 11.9 | 16.0 | 8.9 | 12.8 | 10.0 | 12.5 | 15.1 | 15.7 | 12.0 | 17.9 | 21 | 10.2 |
| IR Material | Parameter | [(s/cm)1/2] | |||||
|---|---|---|---|---|---|---|---|
| Doping Concentration | Absorption Coefficient | Carrier Lifetime | MWIR | LWIR | |||
| MWIR | LWIR | MWIR | LWIR | ||||
| HgCdTe | 5 × 1013 cm−3 | 3.2 × 103 cm−1 | 2.2 × 103 cm−1 | 10 ms | 0.5 ms | 5.66 | 1.05 |
| T2SLs InAs/GaSb | 5 × 1014 cm−3 | 2.4 × 103 cm−1 | 1.6 × 103 cm−1 | 20 ns | 10 ns | 6.9 × 10−3 | 4.0 × 10−3 |
| T2SLs InAs/InAsSb | 5 × 1014 cm−3 | 1.2 × 103 cm−1 | 8.0 × 102 cm−1 | 25 μs | 5 μs | 1.7 × 10−1 | 6.3 × 10−2 |
| Parameters | Bi2Se3 | Sb2Te3 | Bi2Te3 |
|---|---|---|---|
| Electron mobility (cm2/Vs) | 600 | 275 | 1140 |
| Hole mobility (cm2/Vs) | - | 360 | 680 |
| Bandgap (eV) | 0.35 | 0.30 | 0.21 |
| Refraction index | 12.2–2.5 (500–900 nm) | 1.2–4.2 (400–800 nm) | 1.4–3.5 (400–800 nm) |
| Carrier type (undoped) | n-type | p-type | p-type |
| Thermal conductivity (W/mK) | 2.40 | 1.65 | 3.00 |
| Melting point (°C) | 706 | 662 | 585 |
| Absorption coefficient (cm−1) | 103 | 104–106 | - |
| Parameter | PbS CQD | HgTe CQD | |||
| Emberion (Espoo, Finland) https://www.emberion.com/ (accessed on 25 August 2024) Ref. [132] | IMEC (Leuven, Belgium) https://www.imec-int.com/en (accessed on 25 August 2024) Ref. [124] | SWIR V.S. (Somerville, MA, USA) https://www.swirvisionsystems.com (accessed on 25 August 2024) Ref. [131] | STM (Husseren-Wesserling, Francja) https://www.st.com (accessed on 25 August 2024) Ref. [133] | Beijing Inst. Tech. (Beijing China) https://www.bit.edu.cn (accessed on 25 August 2024) Ref. [112] | |
![]() | ![]() | ![]() | ![]() | ![]() | |
| Resolution | 640 × 512 | 768 × 512 | 1920 × 1080 | 0.9 MPx | 1280 × 1024 |
| Pixel pitch (μm) | 20 | 5 | 15 | 1.62 | 15 |
| λpeak (nm) | 1850 | 1450 | 1470 | 1400 | 2 |
| EQE (%) | 20 | 40 | 15 | 60 | 14 |
| Dark current (μA/cm2) | 3.3@RT | NA | 0.25@60 °C | ≈6@RT | |
| Dynamic range | 80 | 82 | 70 | 54.4 | NA |
Disclaimer/Publisher’s Note: The statements, opinions and data contained in all publications are solely those of the individual author(s) and contributor(s) and not of MDPI and/or the editor(s). MDPI and/or the editor(s) disclaim responsibility for any injury to people or property resulting from any ideas, methods, instructions or products referred to in the content. |
© 2024 by the authors. Licensee MDPI, Basel, Switzerland. This article is an open access article distributed under the terms and conditions of the Creative Commons Attribution (CC BY) license (https://creativecommons.org/licenses/by/4.0/).
Share and Cite
Rogalski, A.; Hu, W.; Wang, F.; Martyniuk, P. Performance of Low-Dimensional Solid Room-Temperature Photodetectors—Critical View. Materials 2024, 17, 4522. https://doi.org/10.3390/ma17184522
Rogalski A, Hu W, Wang F, Martyniuk P. Performance of Low-Dimensional Solid Room-Temperature Photodetectors—Critical View. Materials. 2024; 17(18):4522. https://doi.org/10.3390/ma17184522
Chicago/Turabian StyleRogalski, Antoni, Weida Hu, Fang Wang, and Piotr Martyniuk. 2024. "Performance of Low-Dimensional Solid Room-Temperature Photodetectors—Critical View" Materials 17, no. 18: 4522. https://doi.org/10.3390/ma17184522
APA StyleRogalski, A., Hu, W., Wang, F., & Martyniuk, P. (2024). Performance of Low-Dimensional Solid Room-Temperature Photodetectors—Critical View. Materials, 17(18), 4522. https://doi.org/10.3390/ma17184522

























