Experimental and Numerical Investigations on the Seismic Performance of High-Strength Exterior Beam-Column Joints with Steel Fibers
Abstract
1. Introduction
2. Experimental Program
2.1. Specimen Preparation
2.2. Properties of Materials
2.3. Test Setup and Loading System
2.4. Instrumentation and Crack Mapping
3. Experimental Results
3.1. Crack Patterns and Failure Mode
3.2. Deformation and Strain Analysis
3.2.1. Shear Deformation in the Core Area
3.2.2. Deformation of Plastic Hinge Area at Beam-End
3.2.3. Stirrups Strain in the Core Area
3.3. Hysteresis Response and Skeleton Curves
3.4. Ductility
3.5. Energy Dissipation
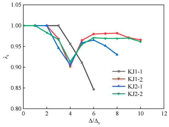
3.6. Stiffness and Strength Degradation
4. Simulations through Finite Element Modeling (FEM)
4.1. Constitutive of Materials
4.2. Frame Model and Boundary Conditions
4.3. Verification
4.4. Parametric Study
4.4.1. Effect of the Volume Ratio of Steel Fibers
4.4.2. Effect of Stirrups Ratio in the Joint Core Area
5. Conclusions and Recommendations
- (1)
- Two failure modes were demonstrated, including joint core shear failure and beam-end flexural failure. The increase of stirrups and the addition of steel fibers in the joint core area change the failure mode of shear failure to flexural failure.
- (2)
- The addition of steel fibers makes the hysteresis curve of the beam-column joints fuller and improves the load-bearing capacity, ductility, and energy dissipation capacity. Additionally, the seismic performance of joints in the cases of replacing part of or all the stirrups in the joint core area with steel fibers demonstrates similar results. Steel fibers not only enhance the seismic performance but also can replace the stirrups in the core area of the beam-column joints. Notedly, partial replacement of stirrups by steel fibers demonstrates superior seismic performance than complete replacement.
- (3)
- Based on the parametric analyses through numerical simulations, it has shown that as the volume ratio of steel fibers in the core area increases from 0.0% to 1.5%, the peak load-bearing capacity increases by 35.2%, and the displacement ductility coefficient increases by 33.8%. In addition, the energy dissipation capacity gradually increases while the degradation rates of load-bearing capacity and stiffness significantly reduce. Nevertheless, as the volume ratio of steel fibers increases from 1.5% to 2.0%, the seismic performance decreases. The optimal volume ratio of steel fibers is concluded to be 1.5%.
- (4)
- In the case of the SFRHSC joint containing 1.5% steel fibers, the seismic performance, including load-bearing capacity, ductility, and energy dissipation capacity, significantly improves as the stirrups ratio in the core area increases from 0% to 0.9%. As the stirrups ratio in the core area increases from 0.9% to 1.2%, the improvement in seismic performance is not significant (i.e., merely a 1.2% increment in strength degradation coefficient). Therefore, the optimal reinforcement ratio of the stirrups in the core area is proposed to be around 0.9% in this study.
Author Contributions
Funding
Institutional Review Board Statement
Informed Consent Statement
Data Availability Statement
Conflicts of Interest
References
- Khaloo, A.; Parastesh, H. Cyclic loading of ductile precast concrete beam-column connection. ACI Struct. J. 2003, 100, 291–296. [Google Scholar]
- Senel, S.M.; Palanci, M. Structural aspects and seismic performance of 1-story precast buildings in turkey. Perform. Constr. Facil. 2013, 27, 437–449. [Google Scholar] [CrossRef]
- ACI Committee 318. Building Code Requirements for Structural Concrete (ACI 318-08) and Commentary; American Concrete Institute: Farmington Hills, MI, USA, 2008. [Google Scholar]
- Qin, X.; Huang, X.; Li, Y.; Kaewunruen, S. Sustainable design framework for enhancing shear capacity in beams using recycled steel fiber-reinforced high-strength concrete. Constr. Build. Mater. 2024, 411, 134509. [Google Scholar] [CrossRef]
- Li, R.; Deng, M.; Guo, L.; Wei, D.; Zhang, Y.; Li, T. Tensile behavior of high-strength highly ductile fiber-reinforced concrete with embedded carbon textile grids. Constr. Build. Mater. 2024, 414, 134957. [Google Scholar] [CrossRef]
- Suryanto, B.; Tambusay, A.; Suprobo, P.; Bregoli, G.; Aitken, M.W. Seismic performance of exterior beam-column joints constructed with engineered cementitious composite: Comparison with ordinary and steel fibre reinforced concrete. Eng. Struct. 2022, 250, 113377. [Google Scholar] [CrossRef]
- Shah, A.A.; Ribakov, Y. Recent trends in steel fibered high-strength concrete. Mater. Des. 2011, 32, 4122–4151. [Google Scholar] [CrossRef]
- Dangwal, S.; Singh, H. Seismic performance of corroded non-seismically and seismically detailed RC beam-column joints rehabilitated with High Strength Fiber Reinforced Concrete. Eng. Struct. 2023, 291, 116481. [Google Scholar] [CrossRef]
- Hu, H.S.; Yang, Z.J.; Xu, L.; Zhang, Y.X.; Gao, Y.C. Axial compressive behavior of square concrete-filled steel tube columns with high-strength steel fiber-reinforced concrete. Eng. Struct. 2023, 285, 116047. [Google Scholar] [CrossRef]
- Bhogone, M.V.; Subramaniam, K.V.L. Improvement in early-age cracking performance of concrete with hybrid steel-macropolypropylene fiber blends. Mater. Today Proc. 2022, 65, 1589–1593. [Google Scholar] [CrossRef]
- Zhu, D.; Tang, A.; Wan, C.; Zeng, Y.; Wang, Z. Investigation on the flexural toughness evaluation method and surface cracks fractal characteristics of polypropylene fiber reinforced cement-based composites. J. Build. Eng. 2021, 43, 103045. [Google Scholar] [CrossRef]
- Niu, Y.; Huang, H.; Wei, J.; Jiao, C.; Miao, Q. Investigation of fatigue crack propagation behavior in steel fiber-reinforced ultra-high-performance concrete (UHPC) under cyclic flexural loading. Compos. Struct. 2022, 282, 115126. [Google Scholar] [CrossRef]
- Zhang, J.; Pei, Z.; Rong, X. Seismic performance of HSS reinforced interior beam-column joints with high-strength steel fiber concrete and enhanced reinforcements. J. Build. Eng. 2022, 48, 103958. [Google Scholar] [CrossRef]
- Karimi Pour, A. Experimental and numerical evaluation of steel fibres RC patterns influence on the seismic behaviour of the exterior concrete beam-column connections. Eng. Struct. 2022, 263, 114358. [Google Scholar] [CrossRef]
- Shah, A.; Ribakov, Y. Experimental and analytical study of flat-plate floor confinement. Mater. Des. 2005, 26, 655–669. [Google Scholar] [CrossRef]
- Choi, S.H.; Kim, J.H.; Jeong, H.; Kim, K.S. Seismic behavior of beam-column joints with different concrete compressive strengths. J. Build. Eng. 2022, 52, 104484. [Google Scholar] [CrossRef]
- Zhang, Y.Y.; Ma, K.J.; Bao, E.H.; Wang, X.P.; Wu, Y.S. Effect of different configurations of end stirrups on the seismic performance of RC columns. Structures 2024, 59, 105766. [Google Scholar] [CrossRef]
- Wei, Y.; Li, K.; Fan, J.; Li, Y.; Li, S. Seismic performance of RC columns strengthened with HSSSWR meshes reinforced ECC under high axial compression ratio. J. Build. Eng. 2023, 76, 107350. [Google Scholar] [CrossRef]
- Iskhakov, I.; Ribakov, Y.; Shah, A. Experimental and theoretical investigation of column—Flat slab joint ductility. Mater. Des. 2009, 30, 3158–3164. [Google Scholar] [CrossRef]
- Ganesan, N.; Indira, P.; Abraham, R. Steel fibre reinforced high performance concrete beam-column joints subjected to cyclic loading. ISET J. Earthq. Technol. 2007, 44, 445–456. [Google Scholar]
- Shannag, M.J.; Abu-Dyya, N.; Abu-Farsakh, G. Lateral load response of high performance fiber reinforced concrete beam–column joints. Constr. Build. Mater. 2005, 19, 500–508. [Google Scholar] [CrossRef]
- GB 50010-2010; Code for Design of Concrete Structures. China Architecture & Building Press: Beijing, China, 2015. (In Chinese)
- GB50011-2010; Code for Seismic Design of Buildings. China Architecture & Building Press: Beijing, China, 2016. (In Chinese)
- JGJ/T465-2019; Standard for Design of Steel Fiber Reinforced Concrete Structures. China Architecture & Building Press: Beijing, China, 2019. (In Chinese)
- Shi, X.; Park, P.; Rew, Y.; Huang, K.; Sim, C. Constitutive behaviors of steel fiber reinforced concrete under uniaxial compression and tension. Constr. Build. Mater. 2020, 233, 117316. [Google Scholar] [CrossRef]
- Su, X.; Yang, H.; Liu, Q.; Wang, X.; Fu, J. Experimental study on seismic behavior of reinforced concrete exterior beam-column joints under varying axial load. Eng. Struct. 2024, 318, 118682. [Google Scholar] [CrossRef]
- JGJT101-2015; Specification for Seismic Test of Buildings. China Architecture & Building Press: Beijing, China, 2015. (In Chinese)
- Cao, Q.; Zheng, H.; Ju, H.; Lin, Z.; Zhou, C.; Jia, J. Early-age cracking resistance of multiscale fiber-reinforced concrete with steel fiber, sisal fiber, and nanofibrillated cellulose. J. Mater. Civ. Eng. 2023, 35, 04023065. [Google Scholar] [CrossRef]
- Ren, H.; Li, T.; Ning, J.; Song, S. Analysis of damage characteristics of steel fiber-reinforced concrete based on acoustic emission. Eng. Fail. Anal. 2023, 148, 107166. [Google Scholar] [CrossRef]
- Park, R. Evaluation of ductility of structures and structural assemblages from laboratory testing. Bull. N. Z. Soc. Earthq. Eng. 1989, 22, 155–166. [Google Scholar] [CrossRef]
- Zhang, J.; Cai, R.; Li, C.; Liu, X. Seismic behavior of high-strength concrete columns reinforced with high-strength steel bars. Eng. Struct. 2020, 218, 110861. [Google Scholar] [CrossRef]
- Zhang, J.; Ding, C.; Rong, X.; Yang, H.; Li, Y. Development and experimental investigation of hybrid precast concrete beam–column joints. Eng. Struct. 2020, 219, 110922. [Google Scholar] [CrossRef]
- Ghayeb, H.H.; Abdul Razak, H.; Ramli Sulong, N.H. Seismic performance of innovative hybrid precast reinforced concrete beam-to-column connections. Eng. Struct. 2020, 202, 109886. [Google Scholar] [CrossRef]
- Jiang, Q.; Xuan, D.; Chong, X.; Shen, J.; Fan, Y.; Su, W. Seismic performance of RC interior wide beam-column joints. Structures 2023, 48, 373–389. [Google Scholar] [CrossRef]
- Balineni, H.; Jagarapu, D.C.K.; Eluru, A. Analysis of dry and wet connections in precast beam-column joint using ABAQUS software. Mater. Today Proc. 2020, 33, 287–295. [Google Scholar] [CrossRef]
- Kaviani, A.; Dabiri, H.; Kheyroddin, A. Effect of beam and column dimensions on the behavior of RC beam-column joints. Asian J. Civ. Eng. 2021, 22, 941–958. [Google Scholar] [CrossRef]
- Lu, X.; Zhang, Y.; Zhang, H.; Zhang, H.; Xiao, R. Experimental study on seismic performance of steel fiber reinforced high strength concrete composite shear walls with different steel fiber volume fractions. Eng. Struct. 2018, 171, 247–259. [Google Scholar] [CrossRef]
- Zhang, Y.; Zhang, H.; Lu, X. Seismic performance evaluation and experimental validation of steel-fiber-reinforced high-strength-concrete composite shear walls. Structures 2022, 35, 765–779. [Google Scholar] [CrossRef]
- Supartono, F.; Sidoroff, F. Anisotropic damage modelling for brittle elastic materials. Symp. Fr. Pol. 1984, 37, 521–534. [Google Scholar]
- Chen, M.; Si, H.; Fan, X.; Xuan, Y.; Zhang, M. Dynamic compressive behaviour of recycled tyre steel fibre reinforced concrete. Constr. Build. Mater. 2022, 316, 125896. [Google Scholar] [CrossRef]






















| Specimens Notation | Axial Compression Ratio | Volume Ratio of Steel Fiber (%) | Length of Steel Fiber Mixed into Beam End (mm) | Number of Stirrups in the Joint Core Area | Stirrups Ratio in the Joint Core Area (%) |
|---|---|---|---|---|---|
| KJ1-1 | 0.2 | 0.0 | 250 | 5 | 0.6 |
| KJ1-2 | 0.2 | 1.0 | 250 | 5 | 0.6 |
| KJ2-1 | 0.2 | 1.0 | 250 | 0 | 0.0 |
| KJ2-2 | 0.2 | 1.0 | 250 | 2 | 0.5 |
| Concrete Notation | Cement (P II 52.5) | Water | Coarse Aggregates | Fine Aggregates | Mineral Powder | Fly Ash | Admixture | Steel Fibers | Compressive Strength (MPa) |
|---|---|---|---|---|---|---|---|---|---|
| HSC | 406 | 119 | 985 | 723 | 81 | 37 | 8.68 | 0 | 72.1 |
| HSFRC | 406 | 119 | 985 | 723 | 81 | 37 | 8.68 | 70 (1.0%) | 84.2 |
| Concrete Notation | Compressive Strength of Cubes (MPa) | Axial Compressive Strength (MPa) | Splitting Tensile Strength (MPa) | Modulus of Elasticity (MPa) |
|---|---|---|---|---|
| HSC | 72.1 | 76.2 | 8.9 | 3.89 × 104 |
| HSFRC | 84.2 | 80.9 | 11.5 | 3.80 × 104 |
| Reinforcement | Diameter (mm) | Yield Strength (MPa) | Ultimate Tensile Strength (MPa) | Elongation (%) | Modulus of Elasticity (MPa) |
|---|---|---|---|---|---|
| Stirrups | 8 | 306.9 | 472.7 | 25 | 2.01 × 105 |
| Main rebar | 20 | 422.7 | 585.1 | 30 | 2.09 × 105 |
| Specimens Notation | Maximum Crack Width at the First Loading Level under Displacement Loading Control (mm) | Maximum Crack Width at Failure (mm) | ||
|---|---|---|---|---|
| Core Area | Beam-End | Core Area | Beam-End | |
| KJ1-1 | 0.5 | 1.3 | 1.2 | 1.5 |
| KJ1-2 | 0.1 | 1.0 | 0.2 | Exposed steel |
| KJ2-1 | Non-visible | 1.0 | 8.0 | 15.0 |
| KJ2-2 | Non-visible | 0.5 | 0.5 | 30.0 |
| Specimens Notation | Pcr (kN) | Py (kN) | Pmax (kN) | Pu (kN) | Δy (mm) | Δu (mm) | μ | |
|---|---|---|---|---|---|---|---|---|
| KJ1-1 | Forward | 20.00 | 41.68 | 43.74 | 37.18 | 16.07 | 41.00 | 2.55 |
| Reverse | −20.00 | −42.30 | −52.20 | −44.37 | 11.31 | 30.79 | 2.72 | |
| KJ1-2 | Forward | 30.00 | 52.65 | 53.70 | 50.17 | 19.31 | 68.76 | 3.56 |
| Reverse | −30.00 | −52.01 | −58.48 | −57.91 | 18.93 | 67.88 | 3.59 | |
| KJ2-1 | Forward | 30.00 | 50.54 | 51.64 | 48.01 | 17.58 | 59.26 | 3.37 |
| Reverse | −30.00 | −43.75 | −50.59 | −43.00 | 20.12 | 62.49 | 3.11 | |
| KJ2-2 | Forward | 30.00 | 53.59 | 56.55 | 53.45 | 22.36 | 65.48 | 3.31 |
| Reverse | −30.00 | −46.83 | −51.18 | −50.19 | 21.81 | 64.57 | 3.29 | |
| Specimens Notation | Pmax-test (kN) | μtest | Pmax-numer (kN) | μnumer | Pmax-test/Pmax-numer | μmax-test/μmax-numer | |
|---|---|---|---|---|---|---|---|
| KJ1-1 | Forward | 43.74 | 2.55 | 44.04 | 2.17 | 0.99 | 1.18 |
| Reverse | −52.20 | 2.72 | −50.32 | 2.64 | 1.04 | 1.03 | |
| KJ1-2 | Forward | 53.70 | 3.56 | 53.45 | 3.73 | 1.00 | 0.96 |
| Reverse | −58.48 | 3.59 | −55.13 | 3.69 | 1.06 | 0.97 | |
| KJ2-1 | Forward | 51.64 | 3.37 | 50.37 | 3.53 | 1.02 | 0.95 |
| Reverse | −50.59 | 3.11 | −53.21 | 3.37 | 0.95 | 0.92 | |
| KJ2-2 | Forward | 56.55 | 3.31 | 53.48 | 3.63 | 1.06 | 0.91 |
| Reverse | −51.18 | 3.29 | −52.53 | 3.59 | 0.97 | 0.92 | |
| Mean | 1.01 | 0.98 | |||||
| R2 | 0.99 | 0.93 | |||||
Disclaimer/Publisher’s Note: The statements, opinions and data contained in all publications are solely those of the individual author(s) and contributor(s) and not of MDPI and/or the editor(s). MDPI and/or the editor(s) disclaim responsibility for any injury to people or property resulting from any ideas, methods, instructions or products referred to in the content. |
© 2024 by the authors. Licensee MDPI, Basel, Switzerland. This article is an open access article distributed under the terms and conditions of the Creative Commons Attribution (CC BY) license (https://creativecommons.org/licenses/by/4.0/).
Share and Cite
Wu, B.; Liu, X.; Jia, J.; Fang, D.; Shao, J.; Kong, W. Experimental and Numerical Investigations on the Seismic Performance of High-Strength Exterior Beam-Column Joints with Steel Fibers. Materials 2024, 17, 4066. https://doi.org/10.3390/ma17164066
Wu B, Liu X, Jia J, Fang D, Shao J, Kong W. Experimental and Numerical Investigations on the Seismic Performance of High-Strength Exterior Beam-Column Joints with Steel Fibers. Materials. 2024; 17(16):4066. https://doi.org/10.3390/ma17164066
Chicago/Turabian StyleWu, Bingliu, Xingjian Liu, Junyu Jia, Deming Fang, Jianwen Shao, and Wei Kong. 2024. "Experimental and Numerical Investigations on the Seismic Performance of High-Strength Exterior Beam-Column Joints with Steel Fibers" Materials 17, no. 16: 4066. https://doi.org/10.3390/ma17164066
APA StyleWu, B., Liu, X., Jia, J., Fang, D., Shao, J., & Kong, W. (2024). Experimental and Numerical Investigations on the Seismic Performance of High-Strength Exterior Beam-Column Joints with Steel Fibers. Materials, 17(16), 4066. https://doi.org/10.3390/ma17164066
