Light-Cured Junction Formation and Broad-Band Imaging Application in Thermally Mismatched van der Waals Heterointerface
Abstract
1. Introduction
2. Materials and Methods
2.1. Synthesis of Heterostructure
2.2. Device Fabrication and Measurements
2.3. Characterizations
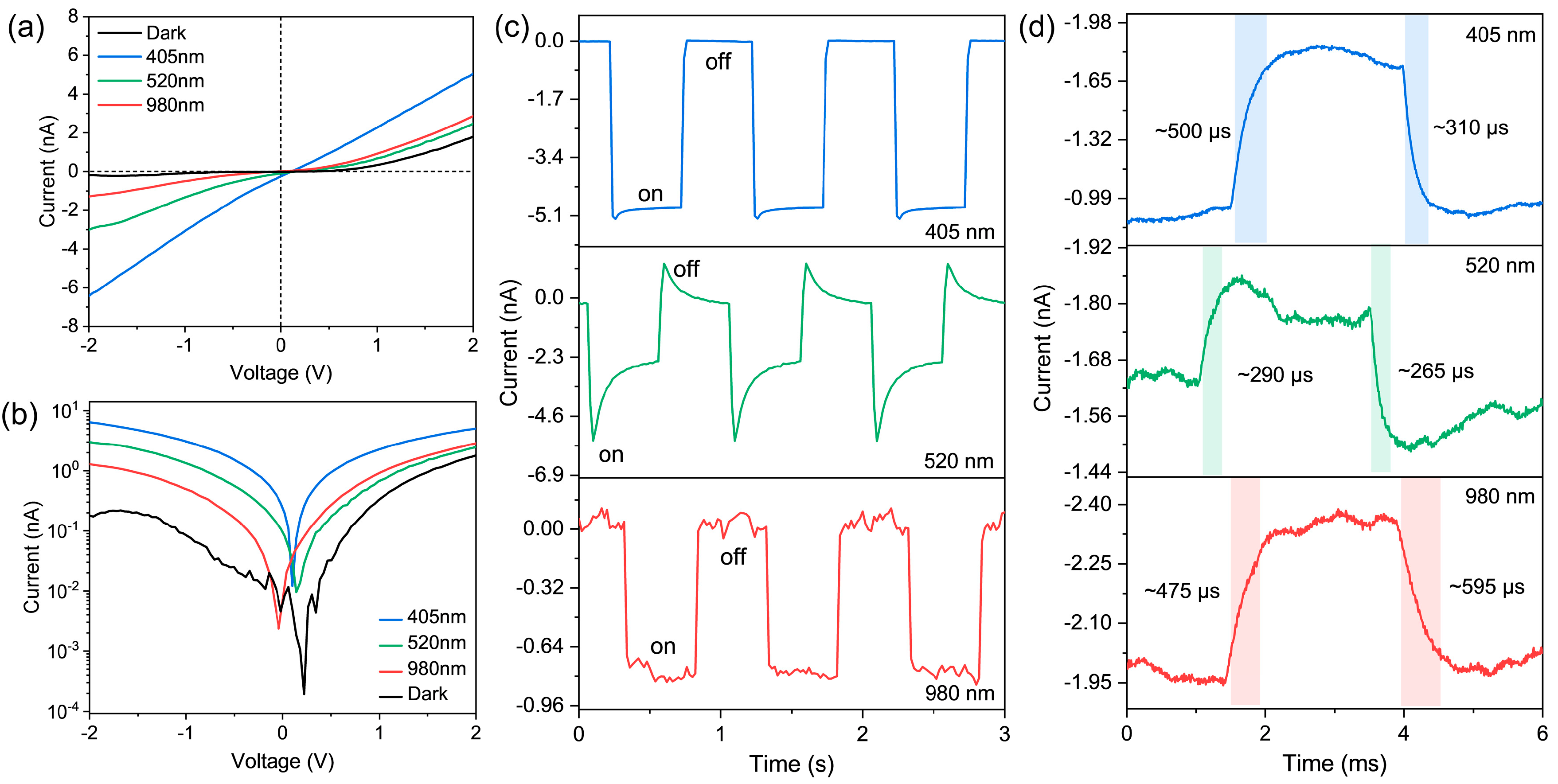
3. Results and Discussion
4. Conclusions
Supplementary Materials
Author Contributions
Funding
Institutional Review Board Statement
Informed Consent Statement
Data Availability Statement
Conflicts of Interest
References
- Long, M.; Wang, P.; Fang, H.; Hu, W. Progress, Challenges, and Opportunities for 2D Material Based Photodetectors. Adv. Funct. Mater. 2018, 29, 1803807. [Google Scholar] [CrossRef]
- Liu, Y.; Huang, Y.; Duan, X. Van der Waals Integration Before and Beyond Two-Dimensional Materials. Nature 2019, 567, 323–333. [Google Scholar] [CrossRef] [PubMed]
- Akamatsu, T.; Ideue, T.; Zhou, L.; Dong, Y.; Kitamura, S.; Yoshii, M.; Yang, D.; Onga, M.; Nakagawa, Y.; Watanabe, K.; et al. A Van der Waals Interface That Creates In-Plane Polarization and A Spontaneous Photovoltaic Effect. Science 2021, 372, 68–72. [Google Scholar] [CrossRef] [PubMed]
- Huang, X.; Zhang, L.; Tong, L.; Li, Z.; Peng, Z.; Lin, R.; Shi, W.; Xue, K.-H.; Dai, H.; Cheng, H.; et al. Manipulating Exchange Bias in 2D Magnetic Heterojunction for High-Performance Robust Memory Applications. Nat. Commun. 2023, 14, 2190. [Google Scholar] [CrossRef] [PubMed]
- Liu, C.; Zou, X.; Lv, Y.; Liu, X.; Ma, C.; Li, K.; Liu, Y.; Chai, Y.; Liao, L.; He, J. Controllable Van der Waals Gaps by Water Adsorption. Nat. Nanotechnol. 2024, 19, 448–454. [Google Scholar] [CrossRef] [PubMed]
- Chang, C.; Chen, W.; Chen, Y.; Chen, Y.; Chen, Y.; Ding, F.; Fan, C.; Fan, H.J.; Fan, Z.; Gong, C.; et al. Recent Progress on Two-Dimensional Materials. Acta Phys. Chim. Sin. 2021, 37, 2108017. [Google Scholar] [CrossRef]
- Dai, W.; Liu, W.; Yang, J.; Xu, C.; Alabastri, A.; Liu, C.; Nordlander, P.J.; Guan, Z.; Xu, H. Giant Photothermoelectric Effect in Silicon Nanoribbon Photodetectors. Light Sci. Appl. 2020, 9, 120. [Google Scholar] [CrossRef]
- Low, T.; Engel, M.; Steiner, M.B.; Avouris, P. Origin of Photoresponse in Black Phosphorus Phototransistors. Phys. Rev. B 2014, 90, 081408. [Google Scholar] [CrossRef]
- Zhang, Y.; Li, H.; Wang, L.; Wang, H.; Xie, X.; Zhang, S.-L.; Liu, R.; Qiu, Z.-J. Photothermoelectric and Photovoltaic Effects Both Present in MoS2. Sci. Rep. 2015, 5, 7938. [Google Scholar] [CrossRef]
- Sun, D.; Aivazian, G.; Jones, A.M.; Ross, J.S.; Yao, W.; Cobden, D.H.; Xu, X. Ultrafast Hot-Carrier-Dominated Photocurrent in Graphene. Nat. Nanotechnol. 2012, 7, 114–118. [Google Scholar] [CrossRef]
- Tielrooij, K.-J.; Piatkowski, L.; Massicotte, M.; Woessner, A.; Ma, Q.; Lee, Y.; Myhro, K.; Lau, C.N.; Jarillo-Herrero, P.; van Hulst, N.F.; et al. Generation of Photovoltage in Graphene on a Femtosecond Timescale Through Efficient Carrier Heating. Nat. Nanotechnol. 2015, 10, 437–443. [Google Scholar] [CrossRef] [PubMed]
- Tielrooij, K.-J.; Hesp, N.C.H.; Principi, A.; Lundeberg, M.B.; Pogna, E.A.A.; Banszerus, L.; Mics, Z.; Massicotte, M.; Schmidt, P.; Davydovskaya, D.; et al. Out-of-Plane Heat Transfer in Van der Waals Stacks through Electron–Hyperbolic Phonon Coupling. Nat. Nanotechnol. 2017, 13, 41–46. [Google Scholar] [CrossRef] [PubMed]
- Li, G.; Yin, S.; Tan, C.; Chen, L.; Yu, M.; Li, L.; Yan, F. Fast Photothermoelectric Response in CVD-Grown PdSe2 Photodetectors with In-Plane Anisotropy. Adv. Funct. Mater. 2021, 31, 2104787. [Google Scholar] [CrossRef]
- Guo, W.; Dong, Z.; Xu, Y.; Liu, C.; Wei, D.; Zhang, L.; Shi, X.; Guo, C.; Xu, H.; Chen, G.; et al. Sensitive Terahertz Detection and Imaging Driven by the Photothermoelectric Effect in Ultrashort-Channel Black Phosphorus Devices. Adv. Sci. 2020, 7, 1902699. [Google Scholar] [CrossRef] [PubMed]
- Cai, X.; Sushkov, A.B.; Suess, R.J.; Jadidi, M.M.; Jenkins, G.S.; Nyakiti, L.; Myers-Ward, R.L.; Li, S.; Yan, J.; Gaskill, D.K.; et al. Sensitive Room-Temperature Terahertz Detection via the Photothermoelectric Effect in Graphene. Nat. Nanotechnol. 2013, 9, 814–819. [Google Scholar] [CrossRef] [PubMed]
- Jung, M.; Rickhaus, P.; Zihlmann, S.; Makk, P.; Schönenberger, C. Microwave Photodetection in an Ultraclean Suspended Bilayer Graphene p-n Junction. Nano Lett. 2016, 16, 6988–6993. [Google Scholar] [CrossRef] [PubMed]
- Gabor, N.M.; Song, J.C.W.; Ma, Q.; Nair, N.L.; Taychatanapat, T.; Watanabe, K.; Taniguchi, T.; Levitov, L.S.; Jarillo-Herrero, P. Hot Carrier-Assisted Intrinsic Photoresponse in Graphene. Science 2011, 334, 648–652. [Google Scholar] [CrossRef] [PubMed]
- Lu, X.; Jiang, P.; Bao, X. Phonon-Enhanced Photothermoelectric Effect in SrTiO3 Ultra-Broadband Photodetector. Nat. Commun. 2019, 10, 138. [Google Scholar] [CrossRef] [PubMed]
- Viti, L.; Politano, A.; Zhang, K.; Vitiello, M.S. Thermoelectric Terahertz Photodetectors Based on Selenium-Doped Black Phosphorus Flakes. Nanoscale 2019, 11, 1995–2002. [Google Scholar] [CrossRef]
- Guo, Q.; Pospischil, A.; Bhuiyan, M.A.; Jiang, H.; Tian, H.; Farmer, D.B.; Deng, B.; Li, C.; Han, S.-J.; Wang, H.; et al. Black Phosphorus Mid-Infrared Photodetectors with High Gain. Nano Lett. 2016, 16, 4648–4655. [Google Scholar] [CrossRef]
- Zhu, C.Y.; Zhang, Z.; Qin, J.K.; Wang, Z.; Wang, C.; Miao, P.; Liu, Y.; Huang, P.; Zhang, Y.; Xu, K.; et al. Two-Dimensional Semiconducting SnP2Se6 with Giant Second-Harmonic-Generation for Monolithic on-Chip Electronic-Photonic Integration. Nat. Commun. 2023, 14, 2521. [Google Scholar] [CrossRef]
- Yan, Y.; Yang, J.; Du, J.; Zhang, X.; Liu, Y.-Y.; Xia, C.; Wei, Z. Cross-Substitution Promoted Ultrawide Bandgap up to 4.5 eV in a 2D Semiconductor: Gallium Thiophosphate. Adv. Mater. 2021, 33, 2008761. [Google Scholar] [CrossRef] [PubMed]
- Budniak, A.K.; Killilea, N.A.; Zelewski, S.J.; Sytnyk, M.; Kauffmann, Y.; Amouyal, Y.; Kudrawiec, R.; Heiss, W.; Lifshitz, E. Exfoliated CrPS4 with Promising Photoconductivity. Small 2020, 16, 1905924. [Google Scholar] [CrossRef] [PubMed]
- Long, M.; Shen, Z.; Wang, R.; Dong, Q.; Liu, Z.; Hu, X.D.; Hou, J.; Lu, Y.; Wang, F.; Zhao, D.; et al. Ultrasensitive Solar-Blind Ultraviolet Photodetector Based on FePSe3/MoS2 Heterostructure Response to 10.6 µm. Adv. Funct. Mater. 2022, 32, 2204230. [Google Scholar] [CrossRef]
- Chu, J.; Wang, F.; Yin, L.; Lei, L.; Yan, C.; Wang, F.; Wen, Y.; Wang, Z.; Jiang, C.; Feng, L.-Z.; et al. High-Performance Ultraviolet Photodetector Based on a Few-Layered 2D NiPS3 Nanosheet. Adv. Funct. Mater. 2017, 27, 1701342. [Google Scholar] [CrossRef]
- Xu, T.; Luo, M.; Shen, N.; Yu, Y.; Wang, Z.; Cui, Z.; Qin, J.; Liang, F.; Chen, Y.; Zhou, Y.; et al. Ternary 2D Layered Material FePSe3 and Near-Infrared Photodetector. Adv. Electron. Mater. 2021, 7, 2100207. [Google Scholar] [CrossRef]
- Albarakati, S.; Xie, W.-Q.; Tan, C.; Zheng, G.; Algarni, M.; Li, J.; Partridge, J.G.; Spencer, M.J.S.; Farrar, L.; Xiong, Y.; et al. Electric Control of Exchange Bias Effect in FePS3-Fe5GeTe2 van der Waals Heterostructures. Nano Lett. 2022, 22, 6166–6172. [Google Scholar] [CrossRef] [PubMed]
- Martín-Pérez, L.; Medina Rivero, S.; Vázquez Sulleiro, M.; Naranjo, A.; Gómez, I.J.; Ruiz-González, M.L.; Castellanos-Gómez, A.; García-Hernández, M.; Pérez, E.M.; Burzurí, E. Direct Magnetic Evidence, Functionalization, and Low-Temperature Magneto-Electron Transport in Liquid-Phase Exfoliated FePS3. ACS Nano 2023, 17, 3007–3018. [Google Scholar] [CrossRef]
- Lee, J.-U.; Lee, S.; Ryoo, J.H.; Kang, S.; Kim, T.Y.; Kim, P.; Park, C.-H.; Park, J.-G.; Cheong, H. Ising-Type Magnetic Ordering in Atomically Thin FePS3. Nano Lett. 2016, 16, 7433–7438. [Google Scholar] [CrossRef]
- Kargar, F.; Coleman, E.A.; Ghosh, S.; Lee, J.G.; Gomez, M.J.; Liu, Y.; Sanchez Magana, A.; Barani, Z.; Debnath, B.; Wilson, R.B.; et al. Phonon and Thermal Properties of Quasi-Two-Dimensional FePS3 and MnPS3 Antiferromagnetic Semiconductors. ACS Nano 2020, 14, 2424–2435. [Google Scholar] [CrossRef]
- Belvin, C.A.; Baldini, E.; Ozel, I.O.; Mao, D.; Po, H.C.; Allington, C.J.; Son, S.; Kim, B.H.; Kim, J.; Hwang, I.; et al. Exciton-Driven Antiferromagnetic Metal in a Correlated Van der Waals Insulator. Nat. Commun. 2021, 12, 4837. [Google Scholar] [CrossRef]
- Bai, W.; Hu, Z.; Xiao, C.; Guo, J.; Li, Z.; Zou, Y.; Liu, X.; Zhao, J.; Tong, W.; Yan, W.; et al. Parasitic Ferromagnetism in Few-Layered Transition-Metal Chalcogenophosphate. J. Am. Chem. Soc. 2020, 142, 10849–10855. [Google Scholar] [CrossRef]
- Long, G.; Henck, H.; Gibertini, M.; Dumcenco, D.; Wang, Z.; Taniguchi, T.; Watanabe, K.; Giannini, E.; Morpurgo, A.F. Persistence of Magnetism in Atomically Thin MnPS3 crystals. Nano Lett. 2020, 20, 2452–2459. [Google Scholar] [CrossRef]
- Kim, K.; Lim, S.Y.; Lee, J.-U.; Lee, S.; Kim, T.Y.; Park, K.; Jeon, G.S.; Park, C.-H.; Park, J.-G.; Cheong, H. Suppression of Magnetic Ordering in XXZ-type Antiferromagnetic Monolayer NiPS3. Nat. Commun. 2019, 10, 345. [Google Scholar] [CrossRef]
- Zhang, X.; Zhao, X.; Wu, D.; Jing, Y.; Zhou, Z. MnPSe3 Monolayer: A Promising 2D Visible-Light Photohydrolytic Catalyst with High Carrier Mobility. Adv. Sci. 2016, 3, 1600062. [Google Scholar] [CrossRef] [PubMed]
- Konkena, B.; Masa, J.; Botz, A.; Sinev, I.; Xia, W.; Kossmann, J.; Drautz, R.; Muhler, M.; Schuhmann, W. Metallic NiPS3@NiOOH Core–Shell Heterostructures as Highly Efficient and Stable Electrocatalyst for the Oxygen Evolution Reaction. ACS Catal. 2017, 7, 229–237. [Google Scholar] [CrossRef]
- Song, B.; Li, K.; Yin, Y.; Wu, T.; Dang, L.; Cában-Acevedo, M.; Han, J.; Gao, T.; Wang, X.; Zhang, Z.; et al. Tuning Mixed Nickel Iron Phosphosulfide Nanosheet Electrocatalysts for Enhanced Hydrogen and Oxygen Evolution. ACS Catal. 2017, 7, 8549–8557. [Google Scholar] [CrossRef]
- Shifa, T.A.; Wang, F.; Cheng, Z.; He, P.; Liu, Y.; Jiang, C.; Wang, Z.; He, J. High Crystal Quality 2D Manganese Phosphorus Trichalcogenide Nanosheets and their Photocatalytic Activity. Adv. Funct. Mater. 2018, 28, 1800548. [Google Scholar] [CrossRef]
- Gusmão, R.; Sofer, Z.; Sedmidubský, D.; Huber, Š.; Pumera, M. The Role of the Metal Element in Layered Metal Phosphorus Triselenides upon Their Electrochemical Sensing and Energy Applications. ACS Catal. 2017, 7, 8159–8170. [Google Scholar] [CrossRef]
- Xia, B.; He, B.; Zhang, J.; Li, L.; Zhang, Y.; Yu, J.; Ran, J.; Qiao, S.-Z. TiO2/FePS3 S-Scheme Heterojunction for Greatly Raised Photocatalytic Hydrogen Evolution. Adv. Energy Mater. 2022, 12, 2201449. [Google Scholar] [CrossRef]
- Brec, R.; Schleich, D.M.; Ouvrard, G.; Louisy, A.; Rouxel, J. Physical Properties of Lithium Intercalation Compounds of the Layered Transition-Metal Chalcogenophosphites. Inorg. Chem. 1979, 10, 1814–1818. [Google Scholar] [CrossRef]
- Lee, Y.; Son, S.; Kim, C.; Kang, S.; Shen, J.; Kenzelmann, M.; Delley, B.; Savchenko, T.M.; Parchenko, S.; Na, W.; et al. Giant Magnetic Anisotropy in the Atomically Thin van der Waals Antiferromagnet FePS3. Adv. Electron. Mater. 2022, 9, 2200650. [Google Scholar] [CrossRef]
- Ramos, M.R.R.; Carrascoso, F.; Frisenda, R.; Gant, P.; Mañas-Valero, S.; Esteras, D.L.; Baldoví, J.J.; Coronado, E.; Castellanos-Gómez, A.; Calvo, M.R. Ultra-Broad Spectral Photo-Response in FePS3 Air-Stable Devices. npj 2D Mater. Appl. 2021, 5, 19. [Google Scholar] [CrossRef]
- Gao, Y.; Lei, S.; Kang, T.; Fei, L.; Mak, C.-L.; Yuan, J.; Zhang, M.; Li, S.; Bao, Q.; Zeng, Z.; et al. Bias-Switchable Negative and Positive Photoconductivity in 2D FePS3 Ultraviolet Photodetectors. Nanotechnology 2018, 29, 244001. [Google Scholar] [CrossRef]
- Duan, J.; Chava, P.; Ghorbani-Asl, M.; Lu, Y.; Erb, D.J.; Hu, L.; Echresh, A.; Rebohle, L.; Erbe, A.; Krasheninnikov, A.V.; et al. Self-Driven Broadband Photodetectors Based on MoSe2/FePS3 Van der Waals n-p Type-II Heterostructures. ACS Appl. Mater. Interfaces 2022, 14, 11927–11936. [Google Scholar] [CrossRef] [PubMed]
- Shi, S.; Feng, Y.; Li, B.; Zhang, H.; Li, Q.; Mo, Z.; Zhou, X.; Lu, Z.; Dang, W.; Lin, X.; et al. Broadband and High-Performance SnS2/FePS3/Graphene Van der Waals Heterojunction Photodetector. Appl. Phys. Lett. 2022, 120, 081101. [Google Scholar] [CrossRef]
- Gao, H.; Du, C.; Sun, J.; Zhang, J.; Leng, J.; Li, J.; Wang, W.; Li, K. Enhanced Optoelectronic Performances of FePS3/ReS2 Van der Waals Heterostructures with Type-II Band Alignment. Mater. Today Commun. 2023, 35, 105959. [Google Scholar] [CrossRef]
- Duan, C.; Huang, Z.; Qiao, H.; Ma, Q.; Zhou, Y.; Teng, J.-L.; Qi, X. FePS3 Nanosheet-Based Photoelectrochemical-Type Photodetector with Superior Flexibility. J. Phys. Chem. C 2021, 125, 9526–9533. [Google Scholar] [CrossRef]
- You, H.; Jia, Y.; Wu, Z.; Wang, F.; Huang, H.; Wang, Y. Room-Temperature Pyro-Catalytic Hydrogen Generation of 2D Few-Layer Black Phosphorene under Cold-Hot Alternation. Nat. Commun. 2018, 9, 2889. [Google Scholar] [CrossRef]
- Hu, L.; Yuan, J.; Ren, Y.; Wang, Y.; Yang, J.-Q.; Zhou, Y.; Zeng, Y.-J.; Han, S.-T.; Ruan, S. Phosphorene/ZnO Nano-Heterojunctions for Broadband Photonic Nonvolatile Memory Applications. Adv. Mater. 2018, 30, 1801232. [Google Scholar] [CrossRef]
- Hu, L.; Amini, M.N.; Wu, Y.; Jin, Z.; Yuan, J.; Lin, R.; Wu, J.; Dai, Y.; He, H.; Lu, Y.; et al. Charge Transfer Doping Modulated Raman Scattering and Enhanced Stability of Black Phosphorus Quantum Dots on a ZnO Nanorod. Adv. Opt. Mater. 2018, 6, 1800440. [Google Scholar] [CrossRef]
- Dai, Y.; Wang, X.; Peng, W.; Xu, C.; Wu, C.; Dong, K.; Liu, R.; Wang, Z.L. Self-Powered Si/CdS Flexible Photodetector with Broadband Response from 325 to 1550 nm Based on Pyro-phototronic Effect: An Approach for Photosensing below Bandgap Energy. Adv. Mater. 2018, 30, 1705893. [Google Scholar] [CrossRef] [PubMed]
- Cen, Y.; Tu, Y.; Zhu, J.; Hu, Y.; Hao, Q.; Zhang, W. Photoinduced Contact Evolution and Junction Rearrangement in Two-Dimensional van der Waals Heterostructure. Adv. Funct. Mater. 2023, 33, 2306668. [Google Scholar] [CrossRef]
- Guo, Y.; Zhang, L.; Jin, D.; Lu, Y.; Xu, Z.; Jiang, J.; Yang, Z.; Liang, H.; Fang, H.; Ruan, S.; et al. 2D Allotrope of Carbon for Self-Powered, Flexible, and Transparent Optoelectronics. Adv. Opt. Mater. 2021, 9, 2001551. [Google Scholar] [CrossRef]
- Zou, H.; Dai, G.; Wang, A.C.; Li, X.; Zhang, S.L.; Ding, W.; Zhang, L.; Zhang, Y.; Wang, Z.L. Alternating Current Photovoltaic Effect. Adv. Mater. 2020, 32, 1907249. [Google Scholar] [CrossRef] [PubMed]
- Singh, R.; Kumar, M.; Kim, U.; Seo, H. Self-Powered and High-Performance Alternating Current Photodetectors to enhance Broadband Photodetection. Adv. Electron. Mater. 2022, 8, 2200392. [Google Scholar] [CrossRef]
- Singh, R.; Kumar, M.; Iqbal, S.; Kang, H.; Park, J.-Y.; Seo, H. Highly Transparent Solid-State Artificial Synapse Based on Oxide Memristor. Appl. Surf. Sci. 2021, 536, 147738. [Google Scholar] [CrossRef]
- Hu, L.; Cao, L.; Li, L.; Duan, J.; Liao, X.; Long, F.; Zhou, J.; Xiao, Y.; Zeng, Y.-J.; Zhou, S. Two-Dimensional Magneto-Photoconductivity in Non-Van der Waals Manganese Selenide. Mater. Horiz. 2021, 8, 1286–1296. [Google Scholar] [CrossRef]
- Buscema, M.; Barkelid, M.; Zwiller, V.; van der Zant, H.S.J.; Steele, G.A.; Castellanos-Gomez, A. Large and Tunable Photothermoelectric Effect in Single-Layer MoS2. Nano Lett. 2013, 13, 358–363. [Google Scholar] [CrossRef]
- Lu, X.; Sun, L.; Jiang, P.; Bao, X. Progress of Photodetectors Based on the Photothermoelectric Effect. Adv. Mater. 2019, 31, 1902044. [Google Scholar] [CrossRef]







Disclaimer/Publisher’s Note: The statements, opinions and data contained in all publications are solely those of the individual author(s) and contributor(s) and not of MDPI and/or the editor(s). MDPI and/or the editor(s) disclaim responsibility for any injury to people or property resulting from any ideas, methods, instructions or products referred to in the content. |
© 2024 by the authors. Licensee MDPI, Basel, Switzerland. This article is an open access article distributed under the terms and conditions of the Creative Commons Attribution (CC BY) license (https://creativecommons.org/licenses/by/4.0/).
Share and Cite
Cheng, L.; Quan, Q.; Hu, L. Light-Cured Junction Formation and Broad-Band Imaging Application in Thermally Mismatched van der Waals Heterointerface. Materials 2024, 17, 3988. https://doi.org/10.3390/ma17163988
Cheng L, Quan Q, Hu L. Light-Cured Junction Formation and Broad-Band Imaging Application in Thermally Mismatched van der Waals Heterointerface. Materials. 2024; 17(16):3988. https://doi.org/10.3390/ma17163988
Chicago/Turabian StyleCheng, Liyuan, Qinglin Quan, and Liang Hu. 2024. "Light-Cured Junction Formation and Broad-Band Imaging Application in Thermally Mismatched van der Waals Heterointerface" Materials 17, no. 16: 3988. https://doi.org/10.3390/ma17163988
APA StyleCheng, L., Quan, Q., & Hu, L. (2024). Light-Cured Junction Formation and Broad-Band Imaging Application in Thermally Mismatched van der Waals Heterointerface. Materials, 17(16), 3988. https://doi.org/10.3390/ma17163988

