Comparative Analysis of Coatings Applied for Anti-Corrosion Protection of Public Transport Vehicles’ Structural Parts
Abstract
1. Introduction
2. Materials and Methods
- TDSs value (total dissolved solids) of snow–mud—an indicator determining the total content of all mobile charged ions in an aqueous solution (such as salts and minerals dissolved in water). This parameter was measured using a laboratory conductivity meter, inoLab Cond Level 2, produced by CAMLogic, Cavrriago, Italy.
- Snow–mud pH value using a microprocessor tester pH/mV/temp/RS232 produced by LPP Equipment, Swiecice, Poland.
- Surface roughness (the microscopic non-contact attachment—Phase View system produced by PhaseView, Verrieres Le Buisson, France with ZeeScan software version 2.4).
- Coating thickness (PosiTector 6000MP magnetic induction tester with 90° depth finder—DeFelsko New York, NY, USA).
- Coating corrosion resistance: Evaluated using an Ascott CC1000iP salt chamber produced by Ascott, Staffordshire, UK. The tests were conducted in accordance with the PN-EN ISO 9227:2017-06 standard [45], using a corrosive medium of NaCl at 50 ± 5 g/dm3, with a solution density of 1.035 g/cm3 and fall value of 1.033 g/cm3, pH 6.7, air pressure of 1 bar, and a chamber temperature of 35 °C. After testing, parts were cleaned in an aqueous solution of 12% HCL with the addition of a 0.1% corrosion inhibitor PICKLANE 50 produced by COVENTYA, Weiland, Germany.
- Scratch resistance: tested using the Erichsen Scratch Hardness Tester 413 produced by Erichsen, Hemer, Germany.
3. Results and Discussion
3.1. Measurement of TDS (Total Dissolved Solids) of Snow–Mud
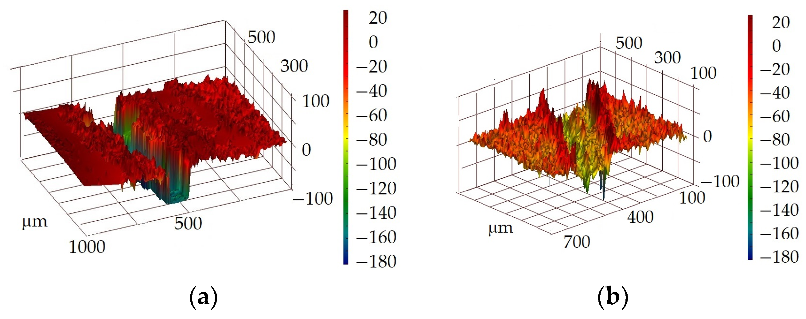
3.2. Measurement of Coatings’ Thickness and Roughness
- Ra: the arithmetic mean of all absolute roughness profile deviations from the centerline within the measurement length.
- Rz: the average absolute peak-to-valley height over five sequential sampling lengths within the measurement length.
- Rt: the total profile height.
- Sa: the extension of Ra to a surface, representing the arithmetic mean height over a defined area.
3.3. Results of Coatings’ Scratch Test
3.4. Corrosion Resistance Tests
- Cataphoretic coating—1.30 µm (an increase of approximately 0.66 µm);
- Hot-dip zinc coating—2.75 µm (an increase of approximately 0.61 µm);
- Thermo-diffusion coating—4.72 µm (an increase of approximately 3.01 µm);
- Galvanic coating—1.62 µm (an increase of approximately 0.19 µm).
4. Conclusions
- The corrosive environment in which public transport operates during the winter season is characterized by a pH of 6.23–7.04 and chloride content of 133–215 mg/dm3; this places significant demands on the need for effective anti-corrosion systems. A simple cataphoretic coating alone is insufficient in this context.
- Based on the results of the conducted experiment, it can be concluded that hot-dip zinc coating provides a much better solution for the anti-corrosion protection of bus door brackets compared to the cataphoretic coating previously used.
- Although the corrosion resistance of the galvanic coating is the highest, with more than 1000 h until the appearance of red corrosion in the NSS test, its lower resistance to mechanical damage, combined with the relatively small thickness of the coating, may reduce its overall durability.
- Very low corrosion resistance of the thermo-diffusion coating, which exhibited red corrosion after just 24 h in the NSS test, decisively eliminates it as anti-corrosion protection of the responsible structural parts.
- Considering aesthetic aspects and the corrosive environment tested, the best solution for protecting visible structural elements would be a duplex coating, combining a hot-dip zinc coating with an outer cataphoretic layer.
- Measurements of the roughness of corrosion-resistant coatings indicate that this parameter accurately describes the kinetics of the corrosion processes.
Author Contributions
Funding
Institutional Review Board Statement
Informed Consent Statement
Data Availability Statement
Conflicts of Interest
References
- Hou, B.; Li, X.; Ma, X.; Du, C.; Zhang, D.; Zheng, M.; Xu, W.; Lu, D.; Ma, F. The cost of corrosion in China. Mater. Degrad. 2017, 1, 4. [Google Scholar] [CrossRef]
- Ruban, D.; Kraynyk, L.; Ruban, H.; Sosyk, A.; Shcherbyna, A.; Dudarenko, O.; Artyukh, A. Forecasting the durability of public transport bus bodies depending on operating conditions. East. Eur. J. Enterp. 2021, 4, 26–33. [Google Scholar] [CrossRef]
- Kumar, A.; Singh, J. Overview on corrosion in automotive industry and thermal power plant. Proc. Eng. Sci. 2022, 4, 12–21. [Google Scholar] [CrossRef]
- Gil, L.; Pawełczak, I.; Jaczewski, M. Zapobieganie korozji naczep i przyczep stosowanych w transporcie drogowym. Autobusy 2019, 2, 199–202. [Google Scholar] [CrossRef]
- Kraynyk, L.; Ruban, D.; Ruban, H. Estimation of change of physical and mechanical properties elements to framework of basket of bus in the process of exploitation. J. Mech. Eng. Transp. 2017, 1, 47–52. [Google Scholar]
- Corrosion Cost and Preventive Strategies in the United States. FHWA-RD-01-156. Available online: https://trid.trb.org/view/707382 (accessed on 2 June 2024).
- Kyrlinen, A.; Vilpas, M.; Hnninen, H. Use of Stainless Steels in Bus Coach Structures. J. Mater. Eng. Perform. 2000, 9, 669–677. [Google Scholar] [CrossRef]
- Mazda Recalling 190.000 CX-7 Vehicles in U.S. Reuters. 26 August 2016. Available online: www.reuters.com/article/idUSKCN1111HO/ (accessed on 2 June 2024).
- Honda Recalls 564.000 CR-Vs over Rust Concerns. CBS News. 6 April 2023. Available online: www.cbsnews.com/news/honda-crv-recall-2023-rust-suspension (accessed on 2 June 2024).
- Rynek Używanych Autobusów w Polsce—02.2023. transinfo.pl. Available online: https://transinfo.pl/infobus/rynek-uzywanych-autobusow-w-polsce-02-2023/ (accessed on 2 June 2024).
- Cramer, S.D.; Covino, B.S. (Eds.) Corrosion: Environments and Industries. In Handbook; ASM International: Almere, The Netherlands, 2006; Volume 13. [Google Scholar]
- Claydon, D.A. Performance Testing of Anti-Corrosive Coatings. In Proceedings of the SSPC 2002 Conference Proceedings (SSPC: The Society for Protective Coatings), Tampa, FL, USA, 1 November 2002; pp. 1–9. [Google Scholar]
- Cremer, N.D. The move to cyclic salt-spray testing from continuous salt spray. Anti-Corros. Methods Mater. 1996, 43, 16–20. [Google Scholar] [CrossRef]
- PN-EN ISO 12944-4:2018-02; PKN. Standard—Paints and Varnishes—Corrosion Protection of Steel Structures by Protective Paint Systems. Polish Committee for Standardization: Warsaw, Poland, 2018.
- Ruban, D.; Kraynyk, L.; Ruban, H.; Zakharova, M.; Burmistrov, S.; Khotunov, V.; Metelap, V. Development of bus body technologies in terms of corrosion and durability. East. Eur. J. Enterp. Technol. 2000, 3, 67–75. [Google Scholar] [CrossRef]
- Kowalski, D.; Grzyl, B.; Kristowski, A. The cost analysis of corrosion protection solutions for steel components in terms of the oject life cycle cost. East. Eur. J. Enterp. Technol. 2017, 26, 5–13. [Google Scholar] [CrossRef]
- Metals Price List—London Metal Exchange. Available online: www.lme.com (accessed on 17 June 2024).
- Kania, H.; Sipa, J. Microstructure Characterization and Corrosion Resistance of Zinc Coating Obtained on High-Strength Grade 10.9 Bolts Using a New Thermal Diffusion Process. Materials 2019, 12, 1400. [Google Scholar] [CrossRef]
- Votava, J. Anticorrosion protection of strength bolts. Acta Univ. Agric. Silvic. Mendel. Brun. 2012, 60, 181–188. [Google Scholar] [CrossRef]
- Chung, P.P.; Wang, J.; Durandet, Y. Deposition processes and properties of coatings on steel fasteners—A review. Friction 2019, 7, 389–416. [Google Scholar] [CrossRef]
- Evans, D.W. Next generation technology for corrosion protection in ground support. In Proceedings of the Coal Operators’ Conference 2014, University of Wollongong, Wollongong, Australia, 12–14 February 2014; pp. 177–185. [Google Scholar]
- Jiang, J.H.; Ma, A.B.; Fan, X.D.; Gong, M.Z.; Zhang, L.Y. Sherardizing and Characteristic of Zinc Protective Coating on High-Strength Steel Bridge Cable Wires. Adv. Mater. Res. 2010, 97–101, 1368–1372. [Google Scholar] [CrossRef]
- Tatarek, A.; Liberski, P.; Kania, H. Porównawcze badania odporności korozyjnej powłok cynkowych otrzymywanych różnymi metodami. Ochr. Przed Korozją 2008, 1, 131–134. [Google Scholar]
- Report of DISTEK Co. Thermal Diffusion Galvanizing or TDG: A Cost Effective, Environmentally Friendly Process. 2009. Available online: https://apps.dtic.mil/sti/citations/ADA509651 (accessed on 17 June 2024).
- Zubrzycki, B. Nowoczesne Lakierowanie Kataforetyczne Połączone z Poliestrową Powłoką Proszkową. Technologie Lakiernicze 2017. 1. Available online: https://www.lakiernictwo.net/dzial/162-technologie-lakiernicze/artykuly/zabezpieczenie-na-dlugie-lata,2455/1 (accessed on 2 June 2024). (In Polish).
- Shibli, S.M.A.; Manu, R.; Beegum, S. Studies on the influence of metal oxides on the galvanic characteristics of hot-dip zinc coatings. Surf. Coat. Technol. 2008, 202, 1733–1737. [Google Scholar] [CrossRef]
- Marder, A.R. The metallurgy of zinc-coated steel. Prog. Mater. Sci. 2000, 45, 191–271. [Google Scholar] [CrossRef]
- Jordan, C.E.; Marder, R. Fe-Zn phase formation in interstitial-free steels hot-dip galvanized at 450ºC. part I 0.00 wt% Al-Zn baths. J. Mater. Sci. 1997, 32, 5593–5602. [Google Scholar] [CrossRef]
- Jędrzejczyk, D.; Szatkowska, E. Changes In Properties of Hot-Dip Zinc Coating Resulting from Heat Treatment. Arch. Metall. Mater. 2019, 64, 201–206. [Google Scholar] [CrossRef]
- Jędrzejczyk, D.; Szatkowska, E. The Impact of Heat Treatment on the Behavior of a Hot-Dip Zinc Coating Applied to Steel During Dry Friction. Materials 2021, 14, 660. [Google Scholar] [CrossRef] [PubMed]
- Kania, H.; Skupińska, A. Wpływ dodatku Pb do kąpieli cynkowej na odporność korozyjną powłok. Ochr. Przed Korozją 2016, 10, 368–371. [Google Scholar] [CrossRef]
- Kania, H.; Liberski, P.; Kwiatkowski, L. Wpływ dodatku niklu w kąpieli do cynkowania na odporność korozyjną powłok zanurzeniowych. Ochr. Przed Korozją 2010, 10, 471–474. [Google Scholar]
- Kania, H.; Liberski, P. Wpływ dodatku Sn na strukturę i odporność korozyjną powłok otrzymywanych na stalach z zakresu Sandelina. Ochr. Przed Korozją 2009, 10, 388–391. [Google Scholar]
- Liberski, P.; Kania, H. Wpływ dodatków stopowych w kąpieli cynkowej na jakość otrzymywanych powłok. Inżynieria Mater. 2009, 30, 182–188. [Google Scholar]
- Pistofidis, N.; Vourlias, G.; Konidaris, S.; Pavlidou, E. The effect of bismuth on the structure of zinc hot-dip galvanized coating. Mater. Lett. 2007, 62, 994–997. [Google Scholar] [CrossRef]
- Massalski, T.B.; Okamoto, H.; Subramanian, P.R.; Kacprzak, L. Binary Alloy Phase Diagrams; ASM International: Almere, The Netherlands, 1990. [Google Scholar]
- Pokorný, P.; Cinert, J.; Pala, Z. Fe-Zn intermetallic phases prepared by diffusion annealing and sparkplasma. Mater. Technol. 2016, 50, 253–256. [Google Scholar] [CrossRef]
- Konstantinov, V.M.; Buloichyk, I.A. Some aspects of sherardizing implementation during anticorrosion protection of heat-treated metal parts. IOP Conf. Ser. Mater. Sci. Eng. 2015, 71, 012063. [Google Scholar] [CrossRef]
- Pokorny, P.; Kolisko, J.; Balik, L.; Novak, P. Reaction kinetics of the formation of intermetallic Fe-Zn during hot-dip galvanizing of steel. Metalurgija 2016, 55, 111–114. [Google Scholar]
- Dobrzański, L.; Dobrzańska-Danikiewicz, A. Obróbka Powierzchni Materiałów Inżynierskich; International OCSCO World Press: Gliwice, Poland, 2011. [Google Scholar]
- PN-EN ISO 17668; PKN. Standard. Zinc Diffusion Coatings on Steel Products—Sherardization—Specification. Polish Committee for Standardization: Warsaw, Poland, 2016.
- PN-EN ISO 2081; PKN. Standard. Metal and Other Inorganic Coatings—Electrolytic zinc Coatings with Additive Treatment on Iron or Steel. Polish Committee for Standardization: Warsaw, Poland, 2018.
- PN-EN ISO 12944-2:2018-02; PKN. Standard. Paints and Varnishes—Protection against Corrosion of Steel Structures by Means of Protective Paint Systems—Part 2: Classification of Environments. Polish Committee for Standardization: Warsaw, Poland, 2018.
- PN-EN ISO 10684:2006; PKN. Standard. Fasteners—Zinc Coatings Applied by the Dip Method. Polish Committee for Standardization: Warsaw, Poland, 2006.
- PN-EN ISO 9227:2017-06; PKN. Standard. Corrosion Testing in Artificial Atmospheres—Salt Spray. Polish Committee for Standardization: Warsaw, Poland, 2017.
- Niesiobędzka, K. Wpływ Składu Chemicznego Wody na Korozję i Powstawanie Kamienia Kotłowego. Available online: https://labportal.pl/wplyw-skladu-chemicznego-wody-na-korozje-i-powstawanie-kamienia-kotlowego/ (accessed on 2 June 2024). (In Polish).
- PN-EN ISO 2178; PKN. Standard. Powłoki Niemagnetyczne na Podłożu Magnetycznym. Pomiar Grubości Powłok. Metoda Magnetyczna. Polish Committee for Standardization: Warsaw, Poland, 2016.
- Zinc Coatings. A Comparative Analysis of Process and Performance Characteristics. American Galvanizers Association. 2011. Available online: https://galvanizeit.org/uploads/publications/Zinc_Coatings.pdf (accessed on 2 June 2024).
- Skotnicki, W.; Jędrzejczyk, D. The Comparative Analysis of the Coatings deposited on the Automotive Parts by the Cataphoresis method. Materials 2021, 14, 6155. [Google Scholar] [CrossRef] [PubMed]
- Szłapa, I.; Jędrzejczyk, D.; Skotnicki, W. Zróżnicowanie odporności korozyjnej i zużycia ściernego powłok cynkowych nanoszonych na stopy Fe-C. Ochr. Przed Korozją 2015, 4, 132–139. [Google Scholar] [CrossRef]
- PN-EN ISO 21920-3; PKN. Standard. Specyfikacje Geometrii Wyrobów—Struktura Geometryczna Powierzchni. Polish Committee for Standardization: Warsaw, Poland, 2022.
- Jędrzejczyk, D.; Szłapa, I.; Skotnicki, W.; Waś-Solipiwo, J.; Jurasz, Z. Thermal diffusion as the alternative of hot-dip zinc coating for fasteners. In Proceedings of the Metal 2017 Conference, Brno, Czech Republic, 24–26 May 2017; pp. 1059–1064. [Google Scholar]
- Kotnarowska, D. Rodzaje Procesów Zużywania Powłok Polimerowych; Wydawnictwo Politechniki Radomskiej: Radom, Poland, 2003; p. 212. [Google Scholar]
- Scratch Hardness Tester 413—Technical Description. Available online: https://www.erichsen.de/en-gb/products/surface-testing/hardness-abrasion-and-washability-testing/scratch-hardness-testing/scratch-hardness-testing-2/scratch-hardness-tester-413 (accessed on 2 June 2024).










| Sample No. | Kind of Coating | Sample Preparation Methodology |
|---|---|---|
| 1 | Thermo-diffusion according to PN-EN ISO 17668 [41] | Etching of the sample in 12% HCl solution; galvanizing in the powder with filler and activator (rotary chamber: 5–10 rpm, temperature: 400 °C, time: 4 h); cooling with air up to 25 °C. |
| 2 | Galvanized according to PN-EN ISO 2081 [42] | Chemical degreasing at 60 °C; etching in solutions: 18% HCl and 10% H2SO4 with inhibitors ACTANE 4200 produced by MacDermid Enthone, US; degreasing and electro-polishing at 60 °C and current 1000 A; electrolytic galvanizing in a Zn bath at a temperature of 35 °C; passivation with Cr3+, Co2+, NO3 ions at 45 °C (solution with a 1.9 pH). |
| 3 | Cataphoretic painting according to PN-EN ISO 12944-2:2018-02 [43] | Sample etching in 12% HCl solution, dipping in paint Cathoprime QT82-9436—water-soluble paint produced by BASF Coating AG, Münster, Germany (5.8–6.5 pH, voltage 230–270 V, time: 180 s), drying the coating for 4 h at 180 °C. |
| 4 | Hot-dip galvanized according to PN-EN ISO 10684:2006 [44] | Sample etching in 12% HCl solution; fluxing; hot-dip galvanizing at 460 °C in Zn bath with Al, Bi, Ni additives; cooling in water. |
| Place of Sample Collection | TDS, mg/L | Chlorides Amount, mg/dm3 | Percentage of Chlorides, % | Conductivity, μS/cm | pH |
|---|---|---|---|---|---|
| City—1 | 1204 | 215 | 17.9 | 2200 | 6.44 |
| City—2 | 1202 | 140 | 11.7 | 2700 | 6.23 |
| City—3 | 767 | 133 | 17.3 | 1874 | 6.69 |
| Village 1 | 760 | 130 | 17.1 | 1855 | 6.85 |
| Village 2 | 218 | 31 | 14.2 | 531 | 6.96 |
| Village 3 | 449 | 127 | 28.3 | 1096 | 7.04 |
| Village 4 | 201 | 24 | 12.1 | 488 | 7.01 |
| Village 5 | 184 | 16 | 9.0 | 447 | 6.98 |
| Village 6 | 1214 | 143 | 11.8 | 2710 | 7.00 |
| Kind of Coating | Ra, μm (s.d.) | Rz, μm (s.d.) | Rt, μm (s.d.) | Sa, μm (s.d.) |
|---|---|---|---|---|
| Thermo-diffusion | 1.71 (0.160) | 6.05 (0.050) | 10.24 (0.112) | 2.49 (0.140) |
| Galvanic | 1.43 (0.008) | 3.86 (0.024) | 7.54 (0.120) | 1.40 (0.009) |
| Cataphoretic | 0.64 (0.005) | 4.01 (0.030) | 6.07 (0.105) | 0.64 (0.003) |
| Hot-dip | 2.14 (0.022) | 8.71 (0.091) | 10.76 (0.155) | 3.19 (0.055) |
Disclaimer/Publisher’s Note: The statements, opinions and data contained in all publications are solely those of the individual author(s) and contributor(s) and not of MDPI and/or the editor(s). MDPI and/or the editor(s) disclaim responsibility for any injury to people or property resulting from any ideas, methods, instructions or products referred to in the content. |
© 2024 by the authors. Licensee MDPI, Basel, Switzerland. This article is an open access article distributed under the terms and conditions of the Creative Commons Attribution (CC BY) license (https://creativecommons.org/licenses/by/4.0/).
Share and Cite
Skotnicki, W.; Jędrzejczyk, D. Comparative Analysis of Coatings Applied for Anti-Corrosion Protection of Public Transport Vehicles’ Structural Parts. Materials 2024, 17, 3763. https://doi.org/10.3390/ma17153763
Skotnicki W, Jędrzejczyk D. Comparative Analysis of Coatings Applied for Anti-Corrosion Protection of Public Transport Vehicles’ Structural Parts. Materials. 2024; 17(15):3763. https://doi.org/10.3390/ma17153763
Chicago/Turabian StyleSkotnicki, Wojciech, and Dariusz Jędrzejczyk. 2024. "Comparative Analysis of Coatings Applied for Anti-Corrosion Protection of Public Transport Vehicles’ Structural Parts" Materials 17, no. 15: 3763. https://doi.org/10.3390/ma17153763
APA StyleSkotnicki, W., & Jędrzejczyk, D. (2024). Comparative Analysis of Coatings Applied for Anti-Corrosion Protection of Public Transport Vehicles’ Structural Parts. Materials, 17(15), 3763. https://doi.org/10.3390/ma17153763
