Highly Efficient Phosphazene-Derivative-Based Flame Retardant with Comprehensive and Enhanced Fire Safety and Mechanical Performance for Polycarbonate
Abstract
1. Introduction
2. Materials and Methods
2.1. Materials
2.2. Synthesis of N-P-S Synergistic Phosphorus Flame Retardant (Pc-FR)
2.3. Preparation of Phosphorous Flame-Retardant PC Composites
3. Results and Discussion
3.1. Characterization of Pc-FR
3.2. Flammability of PC and Its Composite
3.3. Combustion Behaviors of PC and Its Composite
3.4. Pyrolysis Behavior and Mechanism of PC and Its Composites
3.4.1. Effect of Heating Rate on Weight Loss of PC and Its Composite
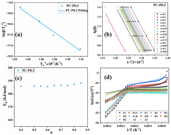
3.4.2. Activation Energy Calculation
3.5. Mechanical Performances of PC and Its Composites
4. Conclusions
Supplementary Materials
Author Contributions
Funding
Institutional Review Board Statement
Informed Consent Statement
Data Availability Statement
Conflicts of Interest
References
- Sharma, R.; Kar, K.K.; Das, M.K.; Gupta, G.K.; Kumar, S. Short carbon fiber-reinforced polycarbonate composites. In Composite Materials: Processing, Applications, Characterizations; Springer: Berlin/Heidelberg, Germany, 2017; pp. 199–221. [Google Scholar]
- Krausz, T.; Negru, R.M.; Radu, A.G.; Marsavina, L. The effect of strain rate and temperature on the mechanical properties of polycarbonate composites. Mater. Today Proc. 2021, 45, 4211–4215. [Google Scholar] [CrossRef]
- Mu, X.; Jin, Z.; Chu, F.; Cai, W.; Zhu, Y.; Yu, B.; Song, L.; Hu, Y. High-performance flame-retardant polycarbonate composites: Mechanisms investigation and fire-safety evaluation systems establishment. Compos. Part B Eng. 2022, 238, 109873. [Google Scholar] [CrossRef]
- Levchik, S.V.; Weil, E.D. Overview of recent developments in the flame retardancy of polycarbonates. Polym. Int. 2005, 54, 981–998. [Google Scholar] [CrossRef]
- Zhao, Z.; Zhang, Z.; Sun, C.; Xu, M.; Li, B. A novel macromolecular phosphorus-nitrogen containing flame retardant for polycarbonate. Polym. Degrad. Stab. 2023, 220, 110648. [Google Scholar] [CrossRef]
- Wang, Z.; Qiu, Y.; Liu, A.; Tang, W.; Xi, W.; Wang, J.; Gao, L.-B.; Qian, L. Micro-crosslinking of phosphaphenanthrene/siloxane molecule initiate aggregation flame retardant and toughening enhancement effects on its polycarbonate composite. Chem. Eng. J. 2023, 466, 143169. [Google Scholar] [CrossRef]
- Zhang, X.; Zhang, D.; Zhang, W.; He, J.; Yang, R. Flame retardant polycarbonate with ultralow loading 1,3-benzenedisulfonate. Polym. Degrad. Stab. 2023, 214, 110389. [Google Scholar] [CrossRef]
- Chen, Z.-X.; Zhao, Z.-Y.; Lu, P.; Xiao, X.-X.; He, S.; Deng, C.; Wang, Y.-Z. Sulfonate-Group-Containing Polymeric Polyamide for Simultaneous Transparency and Flame Retardancy of Polycarbonate. ACS Appl. Polym. Mater. 2023, 5, 4889–4900. [Google Scholar] [CrossRef]
- Qian, X.; Song, L.; Bihe, Y.; Yu, B.; Shi, Y.; Hu, Y.; Yuen, R.K. Organic/inorganic flame retardants containing phosphorus, nitrogen and silicon: Preparation and their performance on the flame retardancy of epoxy resins as a novel intumescent flame retardant system. Mater. Chem. Phys. 2014, 143, 1243–1252. [Google Scholar] [CrossRef]
- Zhang, J.; Liu, J.; Sun, J.; Liu, X.; Li, H.; Gu, X.; Zhao, J.; Zhang, S. Improve the flame retardancy and scratch resistance of polycarbonate by introducing Si/P/N contained transparent coatings. Prog. Org. Coat. 2024, 186, 108022. [Google Scholar] [CrossRef]
- Liu, Z.; Ma, M.; Ge, B.; Zheng, Y.; Chen, S.; Shi, Y.; He, H.; Zhu, Y.; Wang, X. Toward flame-retardant, transparency, and high mechanical property of polycarbonate based on low addition of linear polyborosiloxane. Chem. Eng. J. 2023, 474, 145799. [Google Scholar] [CrossRef]
- Salmeia, K.A.; Fage, J.; Liang, S.; Gaan, S. An overview of mode of action and analytical methods for evaluation of gas phase activities of flame retardants. Polymers 2015, 7, 504–526. [Google Scholar] [CrossRef]
- Song, X.; Xu, W.; Cai, B.; Wang, L.; Luo, Z.; Wang, B. A DOPO-Based Compound Containing Aminophenyl Silicone Oil for Reducing Fire Hazards of Polycarbonate. Materials 2023, 16, 1449. [Google Scholar] [CrossRef]
- Song, J.; Zhang, X.; Wang, J.; Sun, J.; Shi, A. Ceramifiable Flame-Retarded Silicone Rubber Composites Based on Novel Phosphorus/Nitrogen/Silicon-Containing Flame Retardants. Silicon 2023, 15, 5001–5011. [Google Scholar] [CrossRef]
- Velencoso, M.M.; Battig, A.; Markwart, J.C.; Schartel, B.; Wurm, F.R. Molecular firefighting—How modern phosphorus chemistry can help solve the challenge of flame retardancy. Angew. Chem. Int. Ed. 2018, 57, 10450–10467. [Google Scholar] [CrossRef]
- Salmeia, K.A.; Gaan, S.; Malucelli, G. Recent advances for flame retardancy of textiles based on phosphorus chemistry. Polymers 2016, 8, 319. [Google Scholar] [CrossRef]
- Mu, X.; Li, X.; Liao, C.; Yu, H.; Jin, Y.; Yu, B.; Han, L.; Chen, L.; Kan, Y.; Song, L. Phosphorus-fixed stable interfacial nonflammable gel polymer electrolyte for safe flexible lithium-ion batteries. Adv. Funct. Mater. 2022, 32, 2203006. [Google Scholar] [CrossRef]
- Ding, H.; Wang, J.; Yu, P.; He, H.; Wang, H.; Zhang, W.; Wang, L.; Lei, Y.; Yu, B. Rapidly recyclable, monomer recovery and flame-retardant bio-based polyimine networks. Chem. Eng. J. 2024, 481, 148024. [Google Scholar] [CrossRef]
- Li, W.; Yin, Z.; Qi, L.; Yu, B.; Xing, W. Scalable production of bioinspired MXene/black phosphorene nanocoatings for hydrophobic and fire-safe textiles with tunable electromagnetic interference and exceeding thermal management. Chem. Eng. J. 2023, 460, 141870. [Google Scholar] [CrossRef]
- Drehe, M.; Simulescu, V.; Ilia, G. Progress in the development of flame retardants. Rev. Chem. Eng. 2008, 24, 263–302. [Google Scholar]
- Feng, J.; Hao, J.; Du, J. Some developments in halogen-free flame retardancy of polycarbonate and its blends. In Fire and Polymers VI: New Advances in Flame Retardant Chemistry and Science; ACS Publications: Washington, DC, USA, 2012; pp. 113–122. [Google Scholar]
- Green, J. A review of phosphorus-containing flame retardants. J. Fire Sci. 1992, 10, 470–487. [Google Scholar] [CrossRef]
- Pawlowski, K.H.; Schartel, B. Flame retardancy mechanisms of triphenyl phosphate, resorcinol bis (diphenyl phosphate) and bisphenol A bis (diphenyl phosphate) in polycarbonate/acrylonitrile–butadiene–styrene blends. Polym. Int. 2007, 56, 1404–1414. [Google Scholar] [CrossRef]
- Li, P.; Liu, C.; Xu, Y.-J.; Jiang, Z.-M.; Liu, Y.; Zhu, P. Novel and eco-friendly flame-retardant cotton fabrics with lignosulfonate and chitosan through LbL: Flame retardancy, smoke suppression and flame-retardant mechanism. Polym. Degrad. Stab. 2020, 181, 109302. [Google Scholar] [CrossRef]
- Zhang, W.; Li, X.; Yang, R. Flame retardancy mechanisms of phosphorus-containing polyhedral oligomeric silsesquioxane (DOPO-POSS) in polycarbonate/acrylonitrile-butadiene-styrene blends. Polym. Adv. Technol. 2012, 23, 588–595. [Google Scholar] [CrossRef]
- Sun, Z.; Hou, Y.; Hu, Y.; Hu, W. Effect of additive phosphorus-nitrogen containing flame retardant on char formation and flame retardancy of epoxy resin. Mater. Chem. Phys. 2018, 214, 154–164. [Google Scholar] [CrossRef]
- Boudevska, H.; Brutchkov, C.; Koleva, V. The influence of intermolecular interactions on the polymerization, 1·1H NMR investigation of solutions of naphthalene and methyl methacrylate, of 2-naphthyl methacrylate, and of 1-naphthyl methacrylate. Macromol. Chem. Phys. 1978, 179, 2031–2041. [Google Scholar] [CrossRef]
- Steullet, V.; Dixon, D.W. Self-stacking of naphthalene bis (dicarboximide) s probed by NMR. J. Chem. Soc. Perkin Trans. 2 1999, 7, 1547–1558. [Google Scholar] [CrossRef]
- Yuan, H.; Tan, X.; Cheng, G.; Zhao, S.; Zhang, L.; Mao, S.; An, J.; Yu, J.; Du, Y. Micellization of sodium decyl naphthalene sulfonate studied by 1H NMR. J. Phys. Chem. B 2003, 107, 3644–3649. [Google Scholar] [CrossRef]
- Lomas, J.S. 1H NMR study of the hetero-association of unsaturated alcohols with pyridine. J. Phys. Org. Chem. 2012, 25, 620–627. [Google Scholar] [CrossRef]
- Jacobsen, J.; Pedersen, E.J. 1H and 2H NMR spectra of pyridine and pyridine-N-oxide in liquid crystalline phase. J. Magn. Reson. 1981, 44, 101–108. [Google Scholar] [CrossRef]
- Tian, L.; Liu, T.; Yang, J.; Yang, H.; Liu, Z.; Zhao, Y.; Huang, Q.; Huang, Z. Pyrolytic kinetics, reaction mechanisms and gas emissions of waste automotive paint sludge via TG-FTIR and Py-GC/MS. J. Environ. Manag. 2023, 328, 116962. [Google Scholar] [CrossRef]
- Kadir, M.; Aspanut, Z.; Majid, S.R.; Arof, A.K. FTIR studies of plasticized poly(vinyl alcohol)–chitosan blend doped with NH4NO3 polymer electrolyte membrane. Spectrochim. Acta 2011, 78, 1068–1074. [Google Scholar] [CrossRef] [PubMed]
- Rozenberg, M.; Shoham, G. FTIR spectra of solid poly-l-lysine in the stretching NH mode range. Biophys. Chem. 2007, 125, 166–171. [Google Scholar] [CrossRef] [PubMed]
- Kou, J.; Meng, Z.; Wang, X.; Wang, Z.; Yang, Y. A novel coumarin derivative-modified cellulose fluorescent probe for selective and sensitive detection of CN− in food samples. Anal. Methods 2023, 15, 1639–1648. [Google Scholar] [CrossRef]
- Mu, X.; Zhou, X.; Wang, W.; Xiao, Y.; Liao, C.; Longfei, H.; Kan, Y.; Song, L. Design of compressible flame retardant grafted porous organic polymer based separator with high fire safety and good electrochemical properties. Chem. Eng. J. 2021, 405, 126946. [Google Scholar] [CrossRef]
- Keller, J.W. Sulfur Dioxide–Pyridine Dimer. FTIR and Theoretical Evidence for a Low-Symmetry Structure. J. Phys. Chem. A 2015, 119, 10390–10398. [Google Scholar] [CrossRef] [PubMed]
- Kannan, P.; Karthick, N.; Mahendraprabu, A.; Shanmugam, R.; Elangovan, A.; Arivazhagan, G. Red/blue shifting hydrogen bonds in acetonitrile-dimethyl sulphoxide solutions: FTIR and theoretical studies. J. Mol. Struct. 2017, 1139, 196–201. [Google Scholar] [CrossRef]
- de Souza Bonfim, V.; de Castilho, R.B.; Baptista, L.; Pilling, S. SO3 formation from the X-ray photolysis of SO 2 astrophysical ice analogues: FTIR spectroscopy and thermodynamic investigations. Phys. Chem. Chem. Phys. 2017, 19, 26906–26917. [Google Scholar] [CrossRef]
- Tang, Y.; Hu, S.; Wang, H. Using P–Cl inorganic ultrafine aerosol particles to prevent spontaneous combustion of low-rank coal in an underground coal mine. Fire Saf. J. 2020, 115, 103140. [Google Scholar] [CrossRef]
- Moser, W.R.; Papile, C.J.; Brannon, D.A.; Duwell, R.A.; Weininger, S.J. The mechanism of phosphine-modified rhodium-catalyzed hydroformylation studied by CIR-FTIR. J. Mol. Catal. 1987, 41, 271–292. [Google Scholar] [CrossRef]









| Element Content | C | N | H | P | S |
|---|---|---|---|---|---|
| Theoretical content | 44.04% | 7.71% | 2.57% | 5.69% | 11.74% |
| Practical content | 36.14% | 6.22% | 3.62% | 5.84% | 8.89% |
| Samples | Formulation (wt%) | UL-94 | LOI (%) | ||||
|---|---|---|---|---|---|---|---|
| PC | PTFE | Pc-FR | t1 (s) | t2 (s) | Rating | ||
| PC-0 | 100 | - | - | dripping and then extinguishing | NR | 25.5 | |
| PC-PTFE | 99.7 | 0.3 | - | 8.28 | 47.28 | V-2 | 30 |
| PC-P0.1 | 99.6 | 0.3 | 0.1 | 2.04 | 11.12 | V-1 | 34.5 |
| PC-P0.3 | 99.4 | 0.3 | 0.3 | 2.56 | 4.37 | V-0 | 33.5 |
| PC-P0.5 | 99.2 | 0.3 | 0.5 | 2.94 | 1.09 | V-0 | 33.5 |
| Samples | PC-0 | PC-PTFE | PC-P0.1 | PC-P0.3 | PC-P0.5 |
|---|---|---|---|---|---|
| TTI (s) | 123 | 92 | 77 | 76 | 73 |
| PHRR (kW/m2) | 440.61 | 307.90 | 273.74 | 266.82 | 235.80 |
| THR (MJ/m2) | 55.63 | 51.31 | 56.37 | 47.63 | 54.69 |
| Char residues (%) | 24.48 | 33.49 | 26.42 | 30.49 | 24.21 |
| PSPR (m2/s) | 0.1857 | 0.1838 | 0.1892 | 0.1533 | 0.1479 |
| TSP (m2) | 13.83 | 13.86 | 15.08 | 10.83 | 12.71 |
| PCO (g/s) | 0.01494 | 0.01150 | 0.00877 | 0.00676 | 0.00543 |
| PCO2 (g/s) | 0.4096 | 0.2596 | 0.2292 | 0.2260 | 0.2023 |
| TCO (g) | 2.205 | 2.196 | 1.967 | 1.406 | 1.530 |
| TCO2 (g) | 32.37 | 28.71 | 35.73 | 31.53 | 36.31 |
| Sample | β (°C/min) | T5% (°C) | T10% (°C) | T50% (°C) | Char (%) | Tp (°C) | PDTG (%/°C) |
|---|---|---|---|---|---|---|---|
| PC-0 | 5 | 447.65 | 459.72 | 492.96 | 24.77 | 490.19 | 1.5336 |
| 10 | 480.27 | 490.89 | 519.09 | 25.23 | 515.94 | 2.0507 | |
| 20 | 484.60 | 496.39 | 530.60 | 24.70 | 528.44 | 1.7218 | |
| 40 | 507.80 | 519.43 | 549.33 | 24.70 | 546.34 | 1.9587 | |
| PC-P0.3 | 5 | 465.33 | 471.51 | 488.19 | 27.05 | 485.07 | 3.1080 |
| 10 | 480.80 | 489.28 | 512.42 | 27.52 | 509.00 | 2.6509 | |
| 20 | 501.36 | 507.76 | 525.92 | 27.45 | 522.19 | 2.7095 | |
| 40 | 516.67 | 524.74 | 543.73 | 27.44 | 540.81 | 2.8298 |
Disclaimer/Publisher’s Note: The statements, opinions and data contained in all publications are solely those of the individual author(s) and contributor(s) and not of MDPI and/or the editor(s). MDPI and/or the editor(s) disclaim responsibility for any injury to people or property resulting from any ideas, methods, instructions or products referred to in the content. |
© 2024 by the authors. Licensee MDPI, Basel, Switzerland. This article is an open access article distributed under the terms and conditions of the Creative Commons Attribution (CC BY) license (https://creativecommons.org/licenses/by/4.0/).
Share and Cite
Mu, X.; Zhan, J.; Liu, L.; Yao, Z.; Zhu, Y.; Yu, B.; Song, L. Highly Efficient Phosphazene-Derivative-Based Flame Retardant with Comprehensive and Enhanced Fire Safety and Mechanical Performance for Polycarbonate. Materials 2024, 17, 3206. https://doi.org/10.3390/ma17133206
Mu X, Zhan J, Liu L, Yao Z, Zhu Y, Yu B, Song L. Highly Efficient Phosphazene-Derivative-Based Flame Retardant with Comprehensive and Enhanced Fire Safety and Mechanical Performance for Polycarbonate. Materials. 2024; 17(13):3206. https://doi.org/10.3390/ma17133206
Chicago/Turabian StyleMu, Xiaowei, Jing Zhan, Lu Liu, Zhongyi Yao, Yulu Zhu, Bin Yu, and Lei Song. 2024. "Highly Efficient Phosphazene-Derivative-Based Flame Retardant with Comprehensive and Enhanced Fire Safety and Mechanical Performance for Polycarbonate" Materials 17, no. 13: 3206. https://doi.org/10.3390/ma17133206
APA StyleMu, X., Zhan, J., Liu, L., Yao, Z., Zhu, Y., Yu, B., & Song, L. (2024). Highly Efficient Phosphazene-Derivative-Based Flame Retardant with Comprehensive and Enhanced Fire Safety and Mechanical Performance for Polycarbonate. Materials, 17(13), 3206. https://doi.org/10.3390/ma17133206
