Experimental Study on the Crack Concrete Repaired via Enzyme-Induced Calcium Carbonate Precipitation (EICP)
Abstract
1. Introduction
2. Materials and Methods
2.1. Test Materials
2.2. Sample Preparation
2.3. Test Method
3. Results and Analysis
3.1. Analysis of Ultrasonic Testing Results of Concrete Test Block
3.2. Analysis of Test Results of Compressive Strength of Concrete Test Block
3.3. Analysis of the Effect of Fracture Size on Calcium Carbonate Formation Efficiency
3.4. Mechanism Analysis of EICP Repairing Concrete Blocks
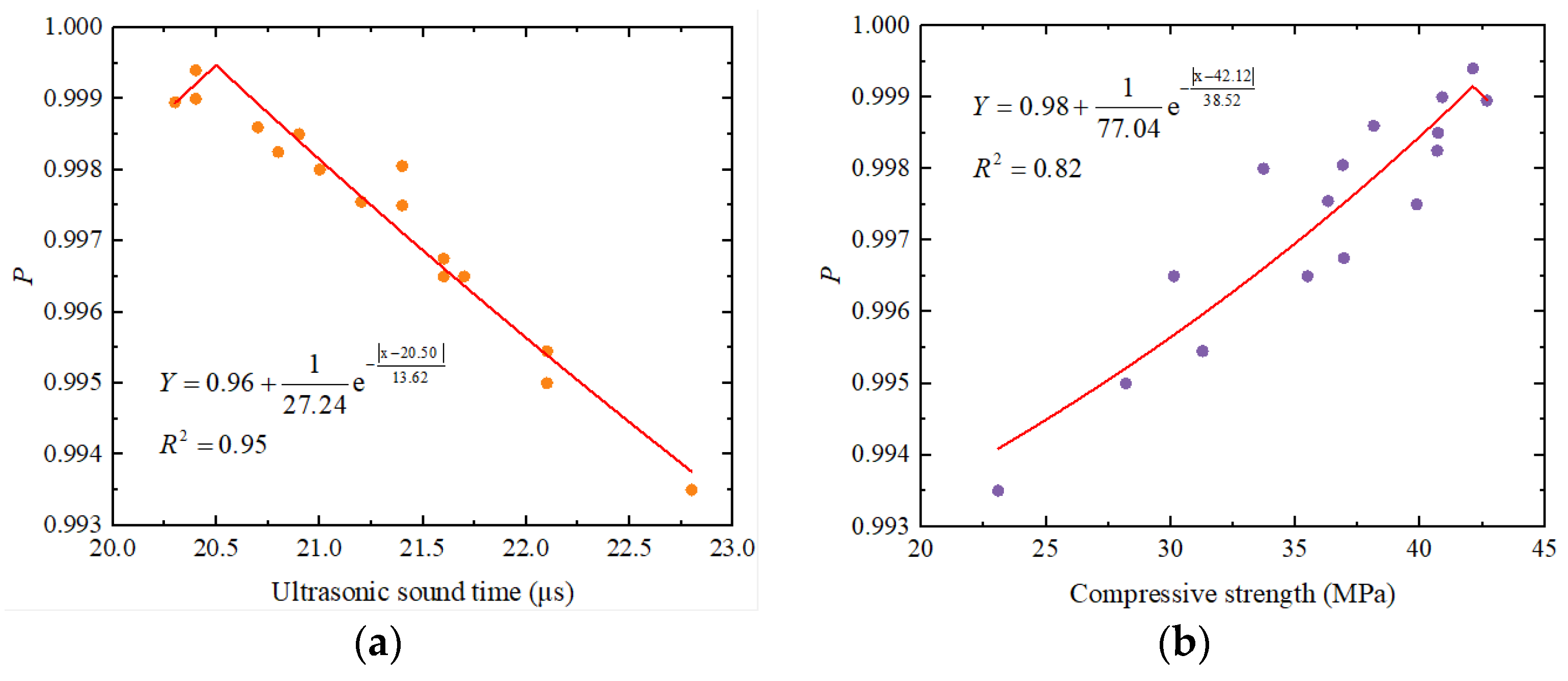
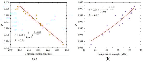
3.5. Establishment and Verification of Laplace Distribution Model
4. Conclusions
- After EICP repair, the ultrasonic sound time and peak diffuse transmission time of the specimen decreased significantly. Among all test specimens, the minimum loss rate of acoustic time value was 1.5% at a crack depth of 35 mm and a width of 0.3 mm. The acoustic time loss of the crack specimen increased as the fracture depth increased. The effective repair depth of the fracture repair dividing line was uneven, but it was evenly distributed in a 0.5 mm area.
- The compressive strength decreased as the crack size increased. The average loss rate of compressive strength of the specimen with a 1.0 mm width was the highest, which was 4.82 times the strength loss of the specimen with the smallest crack width. The average strength loss rate of a 0.3 mm wide specimen was the lowest. The compressive strength of concrete specimens repaired using EICP was significantly higher than that of unrepaired concrete blocks. The highest compressive strength recovery rate of a 0.3 mm width specimen was 98.41%, and the lowest of a 1.0 mm width specimen was 53.93%.
- Calcium carbonate deposition showed different aggregation points with an increase in fracture width. The highest formation rate of calcium carbonate was 79.33% at 0.5 mm, and the lowest formation rate was 58.33% at 1.0 mm. For 0.3~0.5 mm fractures, calcium carbonate deposits were mainly concentrated in the fracture depth of 5~40 mm, and fractures with a 0.5 mm width were more favorable than those with a 0.3 mm width for repairing liquid by penetrating deep into fractures.
- The calcium carbonate produced using EICP was a metastable vaterite with a sharp crystal peak and good crystallinity. The results show that CaCO3 crystals produced using EICP could realize the mineralization and fixation of concrete components well. By injecting quartz sand combined with EICP, the repair solution could enter the crack more smoothly, resulting in the formation of calcium carbonate crystals that are tightly and evenly attached to the crack to achieve the repair effect.
- Using EICP to repair concrete cracks and the Laplace distribution probability density function to establish a model, the obtained fitting curve aligned with the ultrasonic sound time and compressive strength measured in the experiments, and sand has good applicability. However, the deviation in individual test data was caused by the non-uniformity of crack repair in EICP concrete, which leads to internal and strength deviations in the concrete crack test block detected by ultrasonic wave.
- More repair times and days can obtain more calcium carbonate production to fill the cracks, which can achieve better repair effects in the experiment. Therefore, the procedure described in the experiment was relatively cumbersome. In future research, highly active urease will be applied so that the number and time of experiments can be significantly reduced, which is beneficial for improved applications in practical engineering.
Author Contributions
Funding
Institutional Review Board Statement
Informed Consent Statement
Data Availability Statement
Conflicts of Interest
Appendix A

References
- Chen, K.; Pang, R.; Xu, B. Stochastic dynamic response and seismic fragility analysis for high concrete face rockfill dams considering earthquake and parameter emertainties. Soil Dyn. Earthq. Eng. 2023, 167, 107817. [Google Scholar] [CrossRef]
- Pan, L.; Wu, B.; Wang, D.; Zhou, X.; Wang, L.; Zhang, Y. Study on impact deformation characters and crack of high core rockfill dam based on inversion parameters. Water 2024, 16, 188. [Google Scholar] [CrossRef]
- Wang, X.; Chen, Z.; Xu, W.; Wang, X. Fluorescence labelling and self-healing microcapsules for detection and repair of surface microcracks in cement matrix. Compos. Part B 2020, 184, 107744. [Google Scholar] [CrossRef]
- Kan, Y.C.; Lee, M.G.; Lee, H.W. Experiential investigation of mode-I fracture taste of real-cracked concrete repaired by epoxy. Constr. Build. Mater. 2021, 293, 123490. [Google Scholar] [CrossRef]
- Abed, M.A.; Fort, J.; Naoulo, A.; Essa, A. Influence of polypropylene and steel fibers on the performance and crack repair of self-compacting concrete. Materials 2021, 14, 5506. [Google Scholar] [CrossRef]
- Almajed, A.; Lateef, M.A.; Moghal, A.A.B.; Lemboye, K. State-of-the-art review of the application and challenges of microbial-induced calcite preparation (MICP) and enzyme-induced calcite preparation (EICP) techniques for geotechnical and geoenvironmental applications. Crystals 2021, 11, 370. [Google Scholar] [CrossRef]
- Hu, W.; Cheng, W.C.; Wen, S.; Yuan, K. Revealing the enhancement and degradation mechanisms affecting the performance of carbonate preparation in EICP process. Front. Bioeng. Biotechnol. 2021, 9, 750258. [Google Scholar] [CrossRef]
- Arab, M.G.; Alsodi, R.; Almajed, A.; Yasuhara, H.; Zeiada, W.; Shahin, M.A. State-of-the-art review of enzyme-induced calcite prevention (EICP) for ground improvement: Applications and considerations. Geosciences 2021, 11, 492. [Google Scholar] [CrossRef]
- Mi, T.; Peng, L.; Yu, K.; Zhao, Y. Enhancement strategies for recycled brick aggregate concrete using MICP and EICP treatments. J. Build. Eng. 2023, 79, 107909. [Google Scholar] [CrossRef]
- Cui, M.J.; Lai, H.J.; Hoang, T.; Chu, J. One-phase-low-pH enzyme induced carbonate precipitation (EICP) method for soil improvement. Acta Geotech. 2021, 16, 481–489. [Google Scholar] [CrossRef]
- Meng, H.; Shu, S.; Gao, Y.; Yan, B.; He, J. Multiple-phase enzyme-induced carbonate preparation (EICP) method for soil improvement. Eng. Geol. 2021, 294, 106374. [Google Scholar] [CrossRef]
- Song, J.Y.; Sim, Y.; Jang, J.; Hong, W.T.; Yun, T.S. Near-surface oil stabilization by enzyme-induced carbonate preference for fugitive due support. Acta Geotech. 2020, 15, 1967–1980. [Google Scholar] [CrossRef]
- Rahman, M.M.; Ahenkorah, I.; Karim, M.R.; Beecham, S. In vitro screening of crude urease extract from native Australian plants and weeds for bio-cementation of sands. Géotechnique 2023, 1–20. [Google Scholar] [CrossRef]
- Pisani, W.A.; Jenness, G.R.; Schutt, T.C.; Larson, S.L.; Shukla, M.K. Preferential adsorption of prominent amino acids in the uease enzyme of sporosarcina pasteuri on arid soil components: A periodic DFT study. Langmuir 2022, 38, 13414–13428. [Google Scholar] [CrossRef] [PubMed]
- Lin, H.; O’Donnell, S.T.; Suleiman, M.T.; Kavazanjian Jr, E.; Brown, D.G. Effects of enzyme and microbally induced carbonate reciprocation treatments on the response of axially loaded periodic concrete piles. J. Geotech. Geoenviron. Eng. 2021, 147, 04021057. [Google Scholar] [CrossRef]
- Wu, L.; Miao, L.; Sun, X.; Wang, H. Enzyme-induced carbonate reciprocation combined with polyvinyl alcohol to solidify aeolian sand. J. Mater. Civ. Eng. 2021, 33, 04021373. [Google Scholar] [CrossRef]
- Moghal, A.A.B.; Rasheed, R.M.; Mohammed, S.A.S. Sorptive and desorptive response of divided heavy metal ions from EICP-treated plastic fines. Indian Geotech. J. 2023, 53, 315–333. [Google Scholar] [CrossRef]
- He, J.; Yang, F.; Qi, Y.S.; Fang, C.H.; Yan, B.Y.; Zhang, Y.; Hang, L.; Gao, Y.F. Import in silty sand with enzyme-induced carbonate preparation: Laboratory model experience. Acta Geotech. 2022, 17, 2895–2905. [Google Scholar] [CrossRef]
- Miao, L.; Wu, L.; Sun, X.; Li, X.; Zhang, J. Method for solidifying desert sands with enzyme-catalyzed minimization. Land Degrad. Dev. 2020, 31, 1317–1324. [Google Scholar] [CrossRef]
- GB/T 176-2017; Standard Method for Chemical Analysis of Cement. Construction Ministry of PRC: Beijing, China, 2017.
- GB/T 50081-2019; Standard for Test Methods of Mechanical Properties of Ordinary Concrete. Construction Ministry of PRC: Beijing, China, 2019.
- Martin, K.; Tirkolaei, H.K.; Kavazanjian, E. Enhancing the strength of granular material with a modified enzyme-induced carbonate preparation (EICP) treatment solution. Constr. Build. Mater. 2021, 271, 121529. [Google Scholar] [CrossRef]
- Lian, J.; Wang, C.; Yan, Y.; Fu, D.; Qi, H. Experimental observations on microbial remediation of concrete cracks. J. Tianjin Univ. (Sci. Technol.) 2019, 52, 669–679. [Google Scholar]
- Ramesh, B.; Eswari, S. Mechanical behavior of basalt fibre reinforced concrete: An experienced study. Mater. Today Proc. 2021, 43, 2317–2322. [Google Scholar] [CrossRef]
- Wang, H.; Miao, L.; Sun, X.; Wu, L.; Fan, G.; Zhang, J. The use of N-(N-butyl)-thiophosphoric triamide to import the efficiency of enzyme induced carbonate preference at high temperature. Acta Geotech. 2023, 18, 5063–5081. [Google Scholar] [CrossRef]
- Wu, Y.; Tahmasebi, P.; Lin, C.; Zahid, M.A.; Dong, C.; Golab, A.N.; Ren, L. A comprehensive study on geometric, topological and fractal characters of pore systems in low-permeability reserves based on SEM, MICP, NMR, and X-ray CT experts. Mar. Pet. Geol. 2019, 103, 12–28. [Google Scholar] [CrossRef]













| Material Content (%) | CaO | SiO2 | Al2O3 | Fe2O3 | MgO | SO3 | K2O | CaO |
|---|---|---|---|---|---|---|---|---|
| Cement | 51.4 | 25.0 | 8.26 | 4.0 | 3.0 | 2.2 | 0.4 | 51.4 |
| Fly ash | 4.6 | 42.6 | 36.3 | 2.0 | 0.8 | 0.3 | 1.8 | 4.6 |
| Water Consumption (kg·m−3) | Cement (kg·m−3) | Sand (kg·m−3) | Stone (kg·m−3) | Fly Ash (kg·m−3) | Water Reducer (kg·m−3) | Slump (mm) |
|---|---|---|---|---|---|---|
| 161 | 279 | 993 | 917 | 31 | 4.65 | 200 |
| Numbering | Cd (mm) | Cw (mm) | Numbering | Cd (mm) | Cw (mm) |
|---|---|---|---|---|---|
| B0 | — | — | — | — | — |
| B1 | 20 | 0.3 | B9 | 50 | 0.3 |
| B2 | 20 | 0.5 | B10 | 50 | 0.5 |
| B3 | 20 | 0.7 | B11 | 50 | 0.7 |
| B4 | 20 | 1.0 | B12 | 50 | 1.0 |
| B5 | 35 | 0.3 | B13 | 65 | 0.3 |
| B6 | 35 | 0.5 | B14 | 65 | 0.5 |
| B7 | 35 | 0.7 | B15 | 65 | 0.7 |
| B8 | 35 | 1.0 | B16 | 65 | 1.0 |
| Cw (mm) | Gel Solution Concentration (M) | CaCO3 Theory Generation Amount (g) | Average CaCO3 Generation Amount (g) | Average CaCO3 Generation Rate (%) |
|---|---|---|---|---|
| 0.3 | 1.0 | 5.0 | 3.7 | 74.3 |
| 0.5 | 1.0 | 6.5 | 5.2 | 79.3 |
| 0.7 | 1.0 | 8.0 | 5.3 | 66.7 |
| 1.0 | 1.0 | 10.0 | 5.8 | 58.3 |
Disclaimer/Publisher’s Note: The statements, opinions and data contained in all publications are solely those of the individual author(s) and contributor(s) and not of MDPI and/or the editor(s). MDPI and/or the editor(s) disclaim responsibility for any injury to people or property resulting from any ideas, methods, instructions or products referred to in the content. |
© 2024 by the authors. Licensee MDPI, Basel, Switzerland. This article is an open access article distributed under the terms and conditions of the Creative Commons Attribution (CC BY) license (https://creativecommons.org/licenses/by/4.0/).
Share and Cite
Li, G.; Yan, D.; Liu, J.; Yang, P.; Zhang, J. Experimental Study on the Crack Concrete Repaired via Enzyme-Induced Calcium Carbonate Precipitation (EICP). Materials 2024, 17, 3205. https://doi.org/10.3390/ma17133205
Li G, Yan D, Liu J, Yang P, Zhang J. Experimental Study on the Crack Concrete Repaired via Enzyme-Induced Calcium Carbonate Precipitation (EICP). Materials. 2024; 17(13):3205. https://doi.org/10.3390/ma17133205
Chicago/Turabian StyleLi, Gang, Deqiang Yan, Jia Liu, Peidong Yang, and Jinli Zhang. 2024. "Experimental Study on the Crack Concrete Repaired via Enzyme-Induced Calcium Carbonate Precipitation (EICP)" Materials 17, no. 13: 3205. https://doi.org/10.3390/ma17133205
APA StyleLi, G., Yan, D., Liu, J., Yang, P., & Zhang, J. (2024). Experimental Study on the Crack Concrete Repaired via Enzyme-Induced Calcium Carbonate Precipitation (EICP). Materials, 17(13), 3205. https://doi.org/10.3390/ma17133205

