Next Article in Journal
Numerical Analysis of the Porous Structure of Activated Carbons Derived from Synthetic Polymers
Previous Article in Journal
Impact of Chemical Corrosion on Mechanical Properties of Boroaluminosilicate Pharmaceutical Glasses
 
 
Font Type:
Arial Georgia Verdana
Font Size:
Aa Aa Aa
Line Spacing:
Column Width:
Background:
Article

Anisotropic Optical Response of Ti-Doped VO2 Single Crystals

1
Department of Physics, Sapienza University, Piazzale Aldo Moro 5, 00185 Rome, Italy
2
Elettra—Sincrotrone Trieste S.C.p.A, S.S. 14 km163.5 in AREA Science Park, 34012 Trieste, Italy
*
Author to whom correspondence should be addressed.
Materials 2024, 17(13), 3121; https://doi.org/10.3390/ma17133121
Submission received: 22 April 2024 / Revised: 17 June 2024 / Accepted: 19 June 2024 / Published: 25 June 2024
(This article belongs to the Section Advanced Materials Characterization)

Abstract

This study delves into the effects of titanium (Ti) doping on the optical properties of vanadium dioxide (VO2), a material well known for its metal–to–insulator transition (MIT) near room temperature. By incorporating Ti into VO2’s crystal lattice, we aim to uncover the resultant changes in its physical properties, crucial for enhancing its application in smart devices. Utilizing polarized infrared micro–spectroscopy, we examined TixV1−xO2 single crystals with varying Ti concentrations (x = 0.059, x = 0.082, and x = 0.187) across different crystal phases (the conductive rutile phase and insulating monoclinic phases M1 and M2) from the far–infrared to the visible spectral range. Our findings reveal that Ti doping significantly influences the phononic spectra, introducing absorption peaks not attributed to pure VO2 or TiO2. This is especially notable with polarization along the crystal growth axis, mainly in the x = 0.187 sample. Furthermore, we demonstrate that the electronic contribution to optical conductivity in the metallic phase exhibits strong anisotropy, higher along the c axis than the a–b plane. This anisotropy, coupled with the progressive broadening of the zone center infrared active phonon modes with increasing doping, highlights the complex interplay between structural and electronic dynamics in doped VO2. Our results underscore the potential of Ti doping in fine-tuning VO2’s electronic and thermochromic properties, paving the way for its enhanced application in optoelectronic devices and technologies.

1. Introduction

Since the discovery of the metal–to–insulator transition (MIT) phenomena in vanadium dioxide (VO2) [1], this material has received immense interest in the scientific community. Above the temperature of 341 K, VO2 undergoes a unique phase transition, transforming from an insulating monoclinic structure (P21/c, called M1) to a metallic state [1,2]. This transition is accompanied by substantial changes in its electrical conductivity, optical properties, and thermal response [1,2,3]. Many efforts have been made to understand whether the transition has an electronic origin (Mott–Hubbard transition) or if it is driven by structural distortion (Peierls transition) and to investigate its possibilities in optoelectronic devices [4,5,6]. These intriguing characteristics have positioned VO2, together with other vanadium oxides, as promising materials for a wide range of applications, including smart windows, thermochromic devices, energy–efficient coatings, and thermal sensors [5,6,7,8,9,10,11,12,13,14,15,16,17]. However, despite VO2 exhibiting remarkable properties, research is focused on enhancing its properties and expanding its application potential by incorporating dopants into its crystal lattice. Among these dopants, titanium (Ti) has emerged as a prominent candidate due to its compatibility with the VO2 lattice structure and its general ability to induce significant changes in materials’ properties [18,19,20]. One of the key advantages of Ti doping in VO2 lies in its ability to fine–tune the critical temperature at which the metal–insulator transition occurs [18]. By carefully controlling the doping concentration, it is possible to shift the transition temperature. This tunability allows for the design and optimization of VO2-based devices with enhanced performance and adaptability. Moreover, Ti doping influences other crucial properties of VO2, such as electrical conductivity and optical characteristics, by inducing changes in the electronic band structure due to lattice distortions [7,18,19]. One of the results of light titanium doping is the appearance of a second insulating monoclinic phase called M2, which has been obtained with small uniaxial [7] stress applied to pure VO2 samples or substituting vanadium with other transition metal ions in lower oxidation states. This work describes a spectroscopic investigation performed on Tix V 1 x O2 single crystals, with titanium concentrations x = 0.059, x = 0.082, and x = 0.187 [18]. We show how the presence of titanium affects the phononic spectra of the monoclinic phases and determines a group of absorption peaks that are not simply related to pure vanadium dioxide or pure titanium dioxide. Moreover, we discuss the electronic contribution to the optical conductivity in the metallic phase R, which is strongly anisotropic and is weakened with growing titanium concentration.

2. Materials and Methods

TixV1−xO2 single crystals were grown using a high–temperature solution technique, which guarantees that the samples are as free from strain as possible [18]. In typical growth, ∼1 g of lump VO2 (obtained by reducing V2O5 in a N2 atmosphere) and 8 g of V2O5 powder are introduced into a silica tube. The tube is heated up to about 1050 C and then slowly cooled down to 775 C with a cooling rate of ∼3 C/h. Titanium powder in different quantities was added into the VO2–V2O5 mixture before annealing, and its concentration was determined in the high–temperature melt via wave–dispersive spectroscopy [18]. The crystal quality of the samples was assessed by Kong et al. through the X–ray diffraction technique [18]. Three samples of Ti-doped VO2 single crystal were prepared (Ti concentration x = 0.059, x = 0.082, and x = 0.187), with dimensions of 5 mm along the growth axis, and 500 µm × 500 µm wide on the orthogonal plane. In this work, we will refer to the long growth axis of the crystal as c R , as it is the c axis of the rutile phase (R).
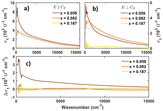
While pure VO2 has a tetragonal rutile (P42/mnm) structure labeled R in the metallic phase and an insulating monoclinic M1 (P21/c) structure in the low–temperature insulating phase, Ti–doped samples can present also a secondary monoclinic structure (C2/m) called M2, which has half of the V–V pairs dimerized and half of them tilted along the direction [7,18]. Samples with x = 0.059 and x = 0.082 are in the M1 phase at room temperature, pass through the M2 phase, and reach the metallic R phase as the temperature increases. In contrast, samples with x = 0.187 do not show the M1 phase (V–V bond formation is hindered by the presence of the high concentration of titanium) and go from the M2 phase to the metallic R phase directly [18]. The surfaces of all samples were polished with diamond powder polishing suspension down to a surface roughness of about 300 nm for the reflectivity measurements. To study the infrared optical properties of these samples, polarized reflectivity measurements were performed at the SISSI beamline [21] of the Elettra synchrotron facility, in the spectral range between 200 cm−1 and 15,000 cm−1, with a resolution of 4 cm−1. Spectra were collected by probing in a direction parallel ( c R ) and perpendicular ( c R ) to the long axis of each crystal via a Vertex 70v interferometer (Bruker) coupled with a Hyperion 2000 microscope. Two detectors were employed to cover this frequency range, a liquid-nitrogen-cooled MCT from 500 cm−1 to 15,000 cm−1 and a liquid-helium-cooled bolometer from 200 cm−1 to 500 cm−1. Temperature control of the sample was performed with a THMS350 Linkam stage, allowing the measurement of all the samples at 300 K for the “low temperature” insulating phase and at 372 K for the “high temperature” conductive rutile phase. The high temperature was set above the highest T C ∼365 K of the doped samples, which is the one with x = 0.187 doping [18]. Reflectance spectra, R( ω ), of the samples, showed in Figure 1, were obtained from the ratio between the intensity reflected by the sample IR (ω) and the intensity hitting the sample, I0(ω). The reflectivity data were analyzed with RefFIT software (Version 1.3.05), which allowed for the extraction of the optical properties of each sample in a form due to the Drude–Lorentz semiclassical approach, with the help of a Kramers–Kronig constrained variational method [22].

3. Results

3.1. Metallic Phase

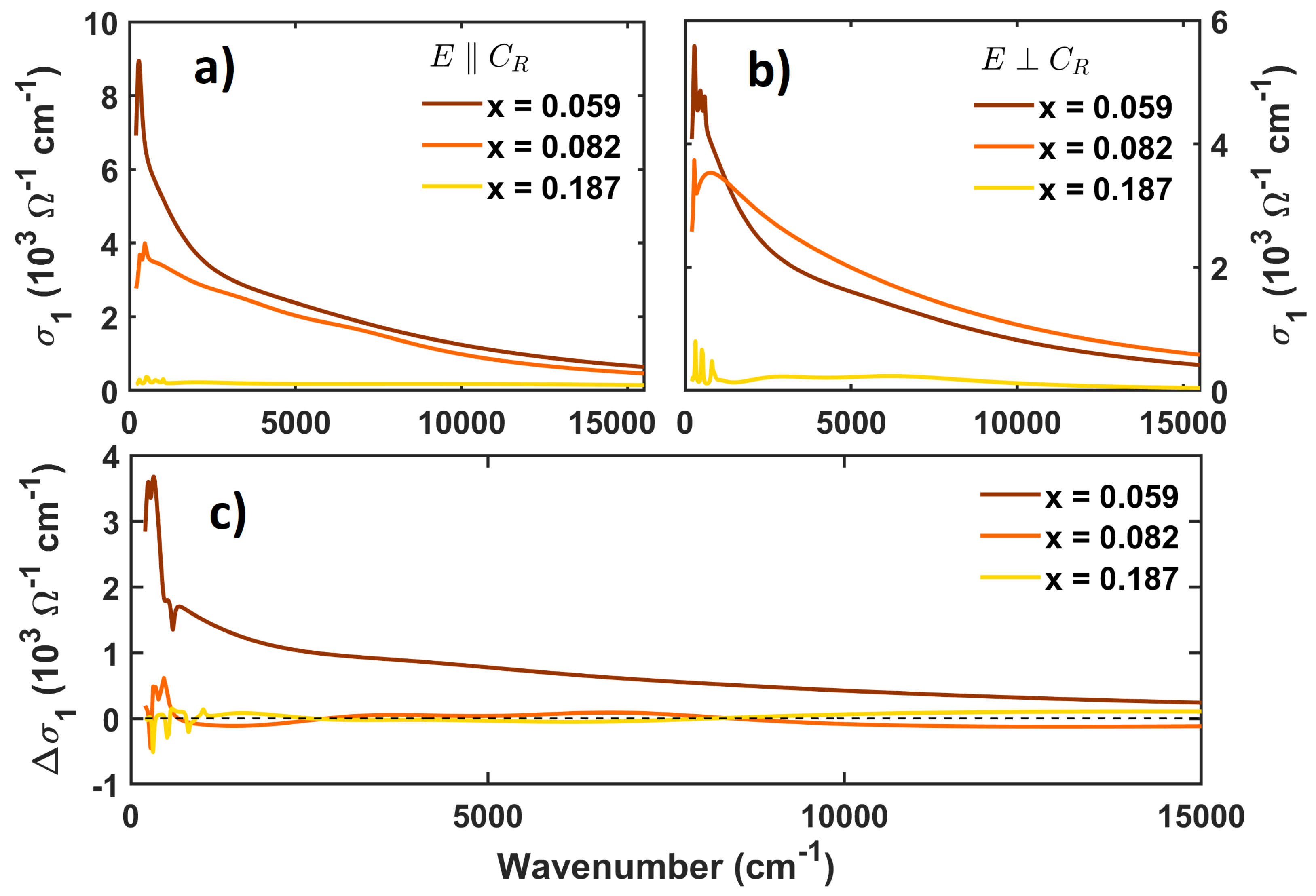
Figure 1 displays the different reflectance features as a function of Ti doping and the crystal phase. The left column of the figure is related to measures with polarization parallel to the growth axis, C R , and the right column is related to measures with polarization perpendicular to that. The three different crystal phases are highlighted in different–colored lines: the blue line is for the conductive rutile (R) phase; the yellow line is for the first monoclinic phase, M1; and the second monoclinic phase, M2, is in orange. In all the panels, we see a strong difference in the reflectance shape between the rutile phase and the monoclinic ones due to the conductivity change. As expected, the conductive metallic rutile phase has a higher reflectance, with a characteristic Drude feature, while in the insulating monoclinic phases, we can more clearly observe the phonon features that are not screened by the Drude contribution. From the fitting process, a set of Drude–Lorentz oscillators was extracted from each reflectance spectrum. Each set allows us to determine the optical conductivity, σ ˜ ( ω ) , or dielectric function, ϵ ˜ ( ω ) , as a function of the doping x, crystal structure, and polarization direction. In Figure 2a,b, the real part of the optical conductivity is shown for the crystals in the metallic phase above TC. In each panel, the real part of the optical conductivity, σ 1 ( ω ) , is shown for increasing doping and fixed polarization conditions.
In titanium–doped metallic VO2, along the c R axis, Ti atoms elongate the V–V bonds and locally distort the VO6 octahedra [19]. This distortion propagates to chains without Ti ions, generating a general reduction in metallicity. Indeed, in Figure 2, we report a strong decrease in the low–frequency σ 1 ( ω ) of the metallic phase with increasing titanium substitution. We also remark upon the clear measurable anisotropy among the conductivities for E c R and E c R at a fixed x. This behavior is also observed in pure samples [3,23] and is consistent with previously reported values of the DC conductivity in pure single crystals of VO2 [9]. D’Elia et al. [23] observed that the band anisotropy in VO2 is also reflected in the conductive properties. The screening length difference between π * and d | | bands generates strongly anisotropic screening capabilities in VO2 and hence anisotropy in the conductivity. To stress this result, the difference between the optical conductivity for the two polarizations, which is defined as
Δ σ 1 ( ω , x ) = σ 1 ( ω , E c R , x ) σ 1 ( ω , E c R , x )
is shown in panel (c) of Figure 2.
While Δ σ 1 ( ω , x ) is ∼0 for x = 0.082 and x = 0.187, it shows a strong difference, of up to 3000 cm−1, for x = 0.059. Thus, for low titanium content, we can see strong optical anisotropy similar to that of the undoped VO2, while this anisotropic response is strongly reduced under higher Ti doping. Table 1 lists the squared plasma frequencies, ω P 2 , as a function of doping, obtained from the fitting procedure. Wu et al. [24] have shown that in a Tix V 1 x O2 system, the carrier concentration does not experience a significant change. From the analysis of the sperctra, we extracted the plasma frequency characterized by the Drude metallic behavior of Tix V 1 x O2 samples. Its square value is proportional to the carrier density and effective mass ratio. Therefore, the plasma frequency decrease, in view of Ref. [24], could be associated with an increase in the carriers’ effective mass, rather than a decrease in the carrier density, probably due to the lattice distortion local structure perturbations induced by Ti dopants.

3.2. Insulating Phases

The imaginary part of the permittivity, ϵ 2 ( ω ) , of the insulating phases below TC are presented below. In Figure 3 and Figure 4, we show the phonon region of the ϵ 2 ( ω ) spectra for the insulating M1 and M2 phases, respectively.
The effect of titanium substitution in the insulating phases of VO2 results in a distortion of the monoclinic structure, which is perceived only through V–V pairs along the same chain [19].
Group theory applied to monoclinic M1 VO2 shows that there are eight infrared-active phonons for polarization parallel to the growth axis (the c R axis in the rutile phase, and b in the M1 phase) and seven infrared-active modes for polarization in the plane perpendicular to it. Generally speaking, the peaks in the range 180 ÷ 250 cm−1 are associated with V–V vibrations [3,9]. The group at 250 ÷ 700 cm−1 is associated with V–O modes; those at about 280 and 500 cm−1 are related to a combination of O–V–O bending and O–V stretching vibrations, while those at 360–400 cm−1 are related only to O–V–O bending, and those at 690 cm−1 show pure V–O stretching modes [8].

3.2.1. M1 Insulating Phase

In this section, we focus on the first monoclinic phase, M1, present in two doped samples and the undoped VO2. The imaginary part of the dielectric function, ϵ 2 ( ω ) , for different Ti concentrations, is shown in Figure 3. The six panels are arranged so that each column is related to a different doping, x, value, while the two rows are associated with the electric field polarization orientation. To better compare the phonon mode evolution, in the first column (x = 0), the polarized ϵ 2 ( ω ) spectra for a pure VO2 crystal obtained by Huffman et al. [9] are shown. Phononic frequencies are listed in Table 2 and Table 3 for parallel and orthogonal polarization, respectively.
Comparing the phonon frequencies, we find that the main peaks do not have strong shifts for increased doping, for both polarizations, and many of the peaks are within the measurement error. Some broadening and reduction in intensity can be seen at frequencies 350–400 cm−1 for polarization c R , and around 300 cm−1 for polarization c R .

3.2.2. M2 Phase

The imaginary part of the dielectric function as a function of frequency, ϵ 2 ( ω ) , with polarization parallel to the growth axis of the crystals, is shown in Figure 4a–c with different doping conditions. The group at frequencies 250 ÷ 400 cm−1 has an intensity that is drastically reduced from x = 0.059 to x = 0.082 and x = 0.187. The peak at about 700 cm−1 almost disappears from x = 0.082 to x = 0.187, and we observe the merging and broadening of the peaks at about 300 cm−1 at x = 0.187. We remark upon the appearance of a group of phonons at 800 ÷ 1000 cm−1 in the sample with x = 0.187, possibly due to clusters caused by the presence of titanium.
In Figure 4d–f, which show ϵ 2 ( ω ) for the M2 phase, with polarization orthogonal to the growth axis, we observe that each spectrum is composed of two bands recognizable for all x values, between 250 and 350 cm−1 and between 400 and 700 cm−1. In the first band, we observe splitting at x = 0.082 that disappears as titanium doping increases. The second band preserves its overall shape for x = 0.082, while on the other hand it broadens at x = 0.187.
In Table 4 and Table 5, the phonon frequencies for parallel and orthogonal polarization, respectively, are listed.
With increasing doping, we observed a general broadening of almost all the peaks. Moreover, we observed that the damping due to increasing doping was substantially stronger for E c R ; thus, we remark on the fact that titanium substitution is more effective along this axis.

4. Conclusions

We performed polarized infrared micro–spectroscopy on titanium–doped vanadium dioxide. For the first time, we obtained the phononic and electronic response in the M1, M2, and R phases of single-domain samples of Tix V 1 x O2 from the far–infrared to the visible region The electronic part of the infrared optical conductivity of metallic Ti-doped VO2 is anisotropic and was found to be higher along the CR axis compared with that on the orthogonal plane. The dielectric permittivity plots were extracted from the fitting of the reflectance spectra, allowing an analysis of the IR phonon modes for increasing doping. These plots show a general progressive broadening of and reduction in the intensity of almost all modes and the appearance of modes not belonging to VO2 or TiO2 [25]. This effect was more noticeable when the samples were in the M2 phase, when the concentration of Ti was higher, and for polarization parallel to the growth axis of the crystals. All these effects are traceable to the lattice distortion induced by the relative size of the dopant ion, Ti, which is larger compared with that of the vanadium one [24]. These results show that Ti doping offers a promising avenue for tailoring the electronic and thermochromic characteristics of VO2, opening up new possibilities for its utilization in advanced technologies.

Author Contributions

All authors contributed extensively to the work presented in this paper. S.M. and S.L. designed the experiment. S.M. and S.L. supervised the work. S.M., A.P., P.D.P. and L.M. performed the measures. S.M. and A.D. analyzed the data. S.M and S.L. prepared the original draft. All authors reviewed and edited the manuscript. All authors have read and agreed to the published version of the manuscript.

Funding

This research received no external funding.

Institutional Review Board Statement

Not applicable.

Informed Consent Statement

Not applicable.

Data Availability Statement

The original contributions presented in the study are included in the article, further inquiries can be directed to the corresponding author.

Acknowledgments

We Acknowledge Paul C. Canfield of Iowa State University for providing the sample of this research. This work has been supported by EOARD project “Diagnostics and Analysis of Thin Films Physics” and MUR PRIN project PHOtonics Terahertz devices based on tOpological materials (PHOTO) 2020RPEPNH.

Conflicts of Interest

The authors declare no conflicts of interest. The funders had no role in the design of the study; in the collection, analyses, or interpretation of data; in the writing of the manuscript; or in the decision to publish the results.

References

  1. Morin, F.J. Oxides Which Show a Metal-to-Insulator Transition at the Neel Temperature. Phys. Rev. Lett. 1959, 3, 34–36. [Google Scholar] [CrossRef]
  2. McWhan, D.B.; Marezio, M.; Remeika, J.P.; Dernier, P.D. X-ray Diffraction Study of Metallic VO2. Phys. Rev. B 1974, 10, 490–495. [Google Scholar] [CrossRef]
  3. Barker, A.S.; Verleur, H.W.; Guggenheim, H.J. Infrared Optical Properties of Vanadium Dioxide Above and Below the Transition Temperature. Phys. Rev. Lett. 1966, 17, 1286–1289. [Google Scholar] [CrossRef]
  4. Mott, N.F.; Peierls, R. Discussion of the Paper by de Boer and Verwey. Proc. Phys. Soc. 1937, 49, 72. [Google Scholar] [CrossRef]
  5. Perucchi, A.; Baldassarre, L.; Postorino, P.; Lupi, S. Optical Properties across the Insulator to Metal Transitions in Vanadium Oxide Compounds. J. Phys. Condens. Matter 2009, 21, 323202. [Google Scholar] [CrossRef] [PubMed]
  6. Nazari, M.; Zhao, Y.; Kuryatkov, V.V.; Fan, Z.Y.; Bernussi, A.A.; Holtz, M. Temperature Dependence of the Optical Properties of VO2 Deposited on Sapphire with Different Orientations. Phys. Rev. B 2013, 87, 035142. [Google Scholar] [CrossRef]
  7. Arcangeletti, E.; Baldassarre, L.; Di Castro, D.; Lupi, S.; Malavasi, L.; Marini, C.; Perucchi, A.; Postorino, P. Evidence of a Pressure-Induced Metallization Process in Monoclinic VO2. Phys. Rev. Lett. 2007, 98, 196406. [Google Scholar] [CrossRef] [PubMed]
  8. Peng, W.W.; Niu, G.; Tétot, R.; Vilquin, B.; Raimondi, F.; Brubach, J.B.; Amzallag, E.; Yanagida, T.; Autier-Laurent, S.; Lecoeur, P.; et al. Insulator–Metal Transition of VO2 Ultrathin Films on Silicon: Evidence for an Electronic Origin by Infrared Spectroscopy. J. Phys. Condens. Matter 2013, 25, 445402. [Google Scholar] [CrossRef] [PubMed]
  9. Huffman, T.J.; Xu, P.; Qazilbash, M.M.; Walter, E.J.; Krakauer, H.; Wei, J.; Cobden, D.H.; Bechtel, H.A.; Martin, M.C.; Carr, G.L.; et al. Anisotropic Infrared Response of Vanadium Dioxide Microcrystals. Phys. Rev. B 2013, 87, 115121. [Google Scholar] [CrossRef]
  10. Lupi, S.; Baldassarre, L.; Mansart, B.; Perucchi, A.; Barinov, A.; Dudin, P.; Papalazarou, E.; Rodolakis, F.; Rueff, J.-P.; Itié, J.-P.; et al. A Microscopic View on the Mott Transition in Chromium-Doped V2O3. Nat. Commun. 2010, 1, 105. [Google Scholar] [CrossRef]
  11. Baldassarre, L.; Perucchi, A.; Nicoletti, D.; Toschi, A.; Sangiovanni, G.; Held, K.; Capone, M.; Ortolani, M.; Malavasi, L.; Marsi, M.; et al. Quasiparticle Evolution and Pseudogap Formation in V2O3: An Infrared Spectroscopy Study. Phys. Rev. B 2008, 77, 113107. [Google Scholar] [CrossRef]
  12. Rodolakis, F.; Mansart, B.; Papalazarou, E.; Gorovikov, S.; Vilmercati, P.; Petaccia, L.; Goldoni, A.; Rueff, J.P.; Lupi, S.; Metcalf, P.; et al. Quasiparticles at the Mott Transition in V2O3: Wave Vector Dependence and Surface Attenuation. Phys. Rev. Lett. 2009, 102, 066805. [Google Scholar] [CrossRef] [PubMed]
  13. Baldassarre, L.; Perucchi, A.; Arcangeletti, E.; Nicoletti, D.; Di Castro, D.; Postorino, P.; Sidorov, V.A.; Lupi, S. Electrodynamics near the Metal-to-Insulator Transition in V3O5. Phys. Rev. B 2007, 75, 245108. [Google Scholar] [CrossRef]
  14. Giorgianni, F.; Sakai, J.; Lupi, S. Overcoming the Thermal Regime for the Electric-Field Driven Mott Transition in Vanadium Sesquioxide. Nat. Commun. 2019, 10, 1159. [Google Scholar] [CrossRef] [PubMed]
  15. D’Elia, A.; Cepek, C.; de Simone, M.; Macis, S.; Belec, B.; Fanetti, M.; Piseri, P.; Marcelli, A.; Coreno, M. Interplay among Work Function, Electronic Structure and Stoichiometry in Nanostructured VOx Films. Phys. Chem. Chem. Phys. 2020, 22, 6282–6290. [Google Scholar] [CrossRef] [PubMed]
  16. D’Elia, A.; Rezvani, S.J.; Cossaro, A.; Stredansky, M.; Grazioli, C.; Li, B.W.; Zou, C.W.; Coreno, M.; Marcelli, A. Strain Induced Orbital Dynamics Across the Metal Insulator Transition in Thin VO2/TiO2 (001) Films. J. Supercond. Nov. Magn. 2020, 33, 2383–2388. [Google Scholar] [CrossRef]
  17. D’Elia, A.; Rezvani, S.J.; Zema, N.; Zuccaro, F.; Fanetti, M.; Belec, B.; Li, B.W.; Zou, C.W.; Spezzani, C.; Sacchi, M.; et al. Stoichiometry and Disorder Influence over Electronic Structure in Nanostructured VOx Films. J. Nanopart. Res. 2021, 23, 33. [Google Scholar] [CrossRef]
  18. Kong, T.; Masters, M.W.; Bud’ko, S.L.; Canfield, P.C. Physical Properties of V1-xTixO2 (0 < x < 0.187) Single Crystals. APL Mater. 2015, 3, 041502. [Google Scholar] [CrossRef]
  19. Chen, Z.; Cao, C.; Chen, S.; Luo, H.; Gao, Y. Crystallised Mesoporous TiO2(A)–VO2(M/R) Nanocomposite Films with Self-Cleaning and Excellent Thermochromic Properties. J. Mater. Chem. A 2014, 2, 11874–11884. [Google Scholar] [CrossRef]
  20. Tamburri, E.; Carcione, R.; Vitale, F.; Valguarnera, A.; Macis, S.; Lucci, M.; Terranova, M.L. Exploiting the Properties of Ti-Doped CVD-Grown Diamonds for the Assembling of Electrodes. Adv. Mater. Interfaces 2017, 4, 1700222. [Google Scholar] [CrossRef]
  21. Lupi, S.; Nucara, A.; Perucchi, A.; Calvani, P.; Ortolani, M.; Quaroni, L.; Kiskinova, M. Performance of SISSI, the infrared beamline of the ELETTRA storage ring. J. Opt. Soc. Am. B 2007, 24, 959–964. [Google Scholar] [CrossRef]
  22. Kuzmenko, A.B. Kramers–Kronig Constrained Variational Analysis of Optical Spectra. Rev. Sci. Instruments 2005, 76, 083108. [Google Scholar] [CrossRef]
  23. D’Elia, A.; Polewczyk, V.; Petrov, A.Y.; Li, L.; Zou, C.; Rezvani, J.; Marcelli, A. Investigating the Intrinsic Anisotropy of VO2(101) Thin Films Using Linearly Polarized Resonant Photoemission Spectroscopy. Condens. Matter 2023, 8, 40. [Google Scholar] [CrossRef]
  24. Wu, Y.; Fan, L.; Liu, Q.; Chen, S.; Huang, W.; Chen, F.; Liao, G.; Zou, C.; Wu, Z. Decoupling the Lattice Distortion and Charge Doping Effects on the Phase Transition Behavior of VO2 by Titanium (Ti4+) Doping. Sci. Rep. 2015, 5, 9328. [Google Scholar] [CrossRef] [PubMed]
  25. Gonzalez, R.J.; Zallen, R.; Berger, H. Infrared Reflectivity and Lattice Fundamentals in Anatase TiO2s. Phys. Rev. B 1997, 55, 7014–7017. [Google Scholar] [CrossRef]
Figure 1. Reflectance spectra obtained from polarized measurements on single crystals with different Ti dopings from x = 0.059 to x = 0.187. The left column shows measurements with polarization parallel (perpendicular) to the growth axis, CR, and the right column shows measurements with polarization perpendicular to that. It is noticeable that the reflectivity of the rutile phase (blue lines) decreases as the doping increases (see text). As discussed previously, the monoclinic M1 phase is absent in the sample with x = 0.187.
Figure 1. Reflectance spectra obtained from polarized measurements on single crystals with different Ti dopings from x = 0.059 to x = 0.187. The left column shows measurements with polarization parallel (perpendicular) to the growth axis, CR, and the right column shows measurements with polarization perpendicular to that. It is noticeable that the reflectivity of the rutile phase (blue lines) decreases as the doping increases (see text). As discussed previously, the monoclinic M1 phase is absent in the sample with x = 0.187.
Materials 17 03121 g001
Figure 2. Real part of the optical conductivity of TixV1−xO2 single crystals in the R phase obtained with polarization (a) parallel and (b) orthogonal to the growth axis, c R . Brown, orange, and yellow lines denote Ti doping with x = 0.059, x = 0.082, and x = 0.187, respectively. (c) Difference between the real part of the optical conductivities obtained with parallel and orthogonal polarization under fixed doping, as defined in Equation (1).
Figure 2. Real part of the optical conductivity of TixV1−xO2 single crystals in the R phase obtained with polarization (a) parallel and (b) orthogonal to the growth axis, c R . Brown, orange, and yellow lines denote Ti doping with x = 0.059, x = 0.082, and x = 0.187, respectively. (c) Difference between the real part of the optical conductivities obtained with parallel and orthogonal polarization under fixed doping, as defined in Equation (1).
Materials 17 03121 g002
Figure 3. Imaginary part of the dielectric function of TixV1−xO2 single crystals in the M1 phase, with polarization (ac) parallel and (df) orthogonal to the growth axis, c R . Each black line denotes the total ϵ 2 ( ω ) , while colored sections represent single phononic modes. ϵ 2 ( ω ) presented in panels (a,d) are included for samples with x = 0 obtained from reference [9].
Figure 3. Imaginary part of the dielectric function of TixV1−xO2 single crystals in the M1 phase, with polarization (ac) parallel and (df) orthogonal to the growth axis, c R . Each black line denotes the total ϵ 2 ( ω ) , while colored sections represent single phononic modes. ϵ 2 ( ω ) presented in panels (a,d) are included for samples with x = 0 obtained from reference [9].
Materials 17 03121 g003
Figure 4. Imaginary part of the dielectric function of TixV1−xO2 single crystals in the M2 phase, with polarization (ac) parallel and (df) orthogonal to the growth axis. Each black line denotes the total ϵ 2 ( ω ) , while colored areas represent single phononic modes. The vertical scale is set to 100 cm−1 to better show the low-intensity phonons.
Figure 4. Imaginary part of the dielectric function of TixV1−xO2 single crystals in the M2 phase, with polarization (ac) parallel and (df) orthogonal to the growth axis. Each black line denotes the total ϵ 2 ( ω ) , while colored areas represent single phononic modes. The vertical scale is set to 100 cm−1 to better show the low-intensity phonons.
Materials 17 03121 g004
Table 1. Squared plasma frequencies, as a function of doping, x.
Table 1. Squared plasma frequencies, as a function of doping, x.
ω P 2 c R ( 10 8 cm−2) ω P 2 c R ( 10 8 cm−2)
x = 0.0595.82.8
x = 0.0822.51.9
x = 0.1870.90.04
Table 2. Phononic central frequencies, ω 0 (in cm−1), for undoped (x = 0) single crystals [9] and for our Ti-doped single crystals (x = 0.059, x = 0.082), in the monoclinic M1 phase, with parallel polarization.
Table 2. Phononic central frequencies, ω 0 (in cm−1), for undoped (x = 0) single crystals [9] and for our Ti-doped single crystals (x = 0.059, x = 0.082), in the monoclinic M1 phase, with parallel polarization.
x = 0277324351367392 519709
x = 0.059281321360 397494539703
x = 0.082285323356 399501 704
Table 3. Phononic central frequencies, ω 0 (in cm−1), for undoped (x = 0) single crystals [9] and for our Ti-doped single crystals (x = 0.059, x = 0.082), in the monoclinic, M1, phase, with orthogonal polarization.
Table 3. Phononic central frequencies, ω 0 (in cm−1), for undoped (x = 0) single crystals [9] and for our Ti-doped single crystals (x = 0.059, x = 0.082), in the monoclinic, M1, phase, with orthogonal polarization.
x = 0 281310336500521 607637720
x = 0.059268289313339 513 615 673
x = 0.082241 310333 514584609624708
Table 4. Phononic central frequencies, ω 0 (in cm−1), for our Ti–doped single crystals (x = 0.059, x = 0.082, x = 0.0187), in the monoclinic M2 phase, with parallel polarization.
Table 4. Phononic central frequencies, ω 0 (in cm−1), for our Ti–doped single crystals (x = 0.059, x = 0.082, x = 0.0187), in the monoclinic M2 phase, with parallel polarization.
x = 0.059 289314325 401472 694
x = 0.082256287 329371413475503661
x = 0.187 295 489 802866998
Table 5. Phononic central frequencies, ω 0 (in cm−1), for our Ti–doped single crystals (x = 0.059, x = 0.082, and x = 0.0187), in the monoclinic M2 phase, with orthogonal polarization.
Table 5. Phononic central frequencies, ω 0 (in cm−1), for our Ti–doped single crystals (x = 0.059, x = 0.082, and x = 0.0187), in the monoclinic M2 phase, with orthogonal polarization.
x = 0.059 293 420 529583607
x = 0.082241306337 537 608649
x = 0.187233304 451480506 650
Disclaimer/Publisher’s Note: The statements, opinions and data contained in all publications are solely those of the individual author(s) and contributor(s) and not of MDPI and/or the editor(s). MDPI and/or the editor(s) disclaim responsibility for any injury to people or property resulting from any ideas, methods, instructions or products referred to in the content.

Share and Cite

MDPI and ACS Style

Macis, S.; Mosesso, L.; D’Arco, A.; Perucchi, A.; Di Pietro, P.; Lupi, S. Anisotropic Optical Response of Ti-Doped VO2 Single Crystals. Materials 2024, 17, 3121. https://doi.org/10.3390/ma17133121

AMA Style

Macis S, Mosesso L, D’Arco A, Perucchi A, Di Pietro P, Lupi S. Anisotropic Optical Response of Ti-Doped VO2 Single Crystals. Materials. 2024; 17(13):3121. https://doi.org/10.3390/ma17133121

Chicago/Turabian Style

Macis, Salvatore, Lorenzo Mosesso, Annalisa D’Arco, Andrea Perucchi, Paola Di Pietro, and Stefano Lupi. 2024. "Anisotropic Optical Response of Ti-Doped VO2 Single Crystals" Materials 17, no. 13: 3121. https://doi.org/10.3390/ma17133121

APA Style

Macis, S., Mosesso, L., D’Arco, A., Perucchi, A., Di Pietro, P., & Lupi, S. (2024). Anisotropic Optical Response of Ti-Doped VO2 Single Crystals. Materials, 17(13), 3121. https://doi.org/10.3390/ma17133121

Note that from the first issue of 2016, this journal uses article numbers instead of page numbers. See further details here.

Article Metrics

Back to TopTop