You are currently viewing a new version of our website. To view the old version click .
Materials
  • Editor’s Choice
  • Review
  • Open Access

29 May 2024

How to Improve the Curing Ability during the Vat Photopolymerization 3D Printing of Non-Oxide Ceramics: A Review

,
,
,
,
and
Institute of Advanced Structure Technology, Beijing Institute of Technology, Beijing 100081, China
*
Author to whom correspondence should be addressed.
This article belongs to the Special Issue Advances in 3D Printing/Additive Manufacturing Technology of Materials

Abstract

Vat photopolymerization (VP), as an additive manufacturing process, has experienced significant growth due to its high manufacturing precision and excellent surface quality. This method enables the fabrication of intricate shapes and structures while mitigating the machining challenges associated with non-oxide ceramics, which are known for their high hardness and brittleness. Consequently, the VP process of non-oxide ceramics has emerged as a focal point in additive manufacturing research areas. However, the absorption, refraction, and reflection of ultraviolet light by non-oxide ceramic particles can impede light penetration, leading to reduced curing thickness and posing challenges to the VP process. To enhance the efficiency and success rate of this process, researchers have explored various aspects, including the parameters of VP equipment, the composition of non-oxide VP slurries, and the surface modification of non-oxide particles. Silicon carbide and silicon nitride are examples of non-oxide ceramic particles that have been successfully employed in VP process. Nonetheless, there remains a lack of systematic induction regarding the curing mechanisms and key influencing factors of the VP process in non-oxide ceramics. This review firstly describes the curing mechanism of the non-oxide ceramic VP process, which contains the chain initiation, chain polymerization, and chain termination processes of the photosensitive resin. After that, the impact of key factors on the curing process, such as the wavelength and power of incident light, particle size, volume fraction of ceramic particles, refractive indices of photosensitive resin and ceramic particles, incident light intensity, critical light intensity, and the reactivity of photosensitive resins, are systematically discussed. Finally, this review discusses future prospects and challenges in the non-oxide ceramic VP process. Its objective is to offer valuable insights and references for further research into non-oxide ceramic VP processes.

1. Introduction

Compared to metal and polymer materials, ceramic materials possess several advantages, including a high hardness, high mechanical strength, low density, high melting point, excellent biocompatibility, and chemical stability. Consequently, ceramic materials hold significant promise for applications in aerospace [1,2,3], weaponry [4,5,6], biomedicine [7,8,9], and other fields. The rapid development of these sectors necessitates ceramic components with more intricate shapes and finer structures to achieve objectives like further weight reduction and enhanced load-bearing capacity [10,11]. However, the inherent hardness and brittleness of ceramics pose challenges for conventional machining techniques like drilling and milling. Furthermore, molding processes such as ceramic injection molding and gel casting suffer from drawbacks including low dimensional accuracy, high mold costs, and limited complexity when manufacturing components with intricate structures [12,13,14]. Fortunately, the emergence of additive manufacturing technologies based on the discretization–accumulation mechanism has provided new ways for fabricating ceramic components with complex shapes and fine structures. Numerous researchers have successfully fabricated ceramic components using techniques such as material extrusion (ME) [15,16,17], binder jetting (BJ) [18,19], selective laser sintering (SLS) [20,21,22], and vat photopolymerization (VP) [23,24,25]. Among these techniques, VP stands out for its high molding precision and excellent surface quality [24,25]. The VP process typically uses UV light as the source of curing energy. UV curing technology has the advantages of being highly efficient, environmentally friendly, energy-saving, enabling, and economical, as well as having a shorter curing time [26]. The above advantages make it widely applicable for oxide ceramics (e.g., Al2O3, ZrO2) [27,28,29,30] and bio ceramics (e.g., HA, TCP) [31,32]. The studies on slurry preparation [33,34], the optimization of VP process parameters [35,36], and debonding–sintering processes [37,38] for these ceramic materials have reached a mature stage and have been widely reported.
In comparison to oxide ceramics and bio ceramics, non-oxide ceramics typically consist of strongly covalently bonded compounds, resulting in higher melting points, superior mechanical properties, and enhanced chemical stability. Consequently, non-oxide ceramic materials find suitability in applications subjected to extreme conditions such as high temperatures, intense radiation, and high strain rates. Industries such as the petrochemical, mechanical manufacturing, nuclear, and semiconductor industry have extensively employed non-oxide ceramic materials, specifically carbides (e.g., SiC, B4C) [39,40,41], nitrides (e.g., Si3N4, BN) [42,43,44], and borides (e.g., ZrB2) [45,46,47]. However, non-oxide ceramics, characterized by their darker coloration, exhibit a higher refractive index and absorbance. Consequently, non-oxide ceramics demonstrate enhanced light extinction properties. In the VP process, this increased light extinction capability results in a reduced light penetration depth within the non-oxide ceramic slurries, leading to a diminished cured thickness. Typically, oxide ceramic slurries and bio ceramic slurries readily achieve curing thicknesses exceeding 200 μm due to their weaker extinction characteristics [34,48]. Conversely, unmodified non-oxide ceramic slurries typically yield curing thicknesses of less than 50 μm [49,50]. Such lower curing thicknesses present numerous challenges for the non-oxide ceramic VP process. On the one hand, a lower curing thickness results in weak interlayer bonding, rendering it highly susceptible to the formation of defects like cracks and pores during molding, debonding, and sintering processes [51]. On the other hand, a lower curing thickness prolongs the molding time, leading to a substantial reduction in manufacturing efficiency. Moreover, as a suspension, the stability of the ceramic photosensitive resin slurry is significantly challenged during excessively long molding processes [52,53]. The use of ceramic precursors as raw materials for the VP process can circumvent these problems to some extent. Instead of non-oxide ceramic particles, such VP slurries contain ceramic precursors such as polysiloxane [54] and polycarbosilane [55]. Subsequently, at high temperatures, the precursor undergoes pyrolysis, resulting in polymer chain breakage, cross-linking, and ultimately the formation of polymer-derived ceramics (PDCs). However, this process has limitations related to ceramic conversion. This often leads to PDCs with lower densities and weaker strengths, rendering them unsuitable for applications that require high strength or other mechanical properties. Furthermore, when ceramic precursors are used for pyrolysis to produce non-oxide ceramics like SiC and Si3N4, certain impurity ceramic phases such as SiOC and SiCN may be present in the final products, which can affect their performance.
From an economic standpoint, precursors with high ceramic conversion rates tend to be expensive, thus limiting the widespread adoption of this process on a larger scale. Therefore, the utilization of non-oxide ceramic particles to prepare slurries followed by VP processing for part fabrication remains an important area of research. In view of this, several researchers have already investigated the light-curing behavior of non-oxide ceramic slurries. Ding et al. [49] improved the cross-linking ability of the polymer by increasing the reactivity of the photosensitive resin, which in turn improved the curing behavior of a SiC ceramic slurry. Liu et al. [56] observed that when the size of Si3N4 particles increased, the absorbance of the particles decreased, which was found to be beneficial for enhancing the curing ability of the slurry. In addition, Tang et al. [57] introduced low-absorbance SiO2 particles into a SiC slurry, resulting in an augmented cured thickness with increasing SiO2 particle percentages. It is evident that the curing process has emerged as a central challenge in the non-oxide ceramic VP process, garnering significant attention.
Although all of the aforementioned studies have improved the curing behavior of the non-oxide ceramic VP process to some extent, several limitations and unresolved scientific issues persist. The VP curing process of ceramic slurries is influenced by various factors, encompassing the parameters of the VP equipment, the characteristics of ceramic particles, and the reactivity of the photosensitive resin. Particularly in the case of non-oxide ceramic slurries, alterations in the absorbance and refractive index of ceramic particles can induce significant changes in the VP curing process. Thus, attaining a comprehensive understanding of the light-curing behavior of non-oxide ceramic slurries is imperative. This review initially delineates the curing mechanism of the ceramic VP process, elucidating the chain initiation, chain polymerization, and chain termination processes of photosensitive resins. Furthermore, the diverse interactions between light and ceramic particles in non-oxide ceramic VP slurries have been introduced, encompassing absorption, scattering, and reflection phenomena. Subsequently, pivotal factors influencing the light-curing behavior of non-oxide ceramic pastes are systematically explored. These factors include the wavelength and power of incident light, particle size, volume fraction of ceramic particles, refractive indices of photosensitive resins and ceramic particles, incident light intensity, critical light intensity, and reactivity of photosensitive resins. The approaches employed by researchers to optimize the light-curing behavior of non-oxide ceramic pastes are subsequently summarized, utilizing the aforementioned influencing factors as a framework for classification. Finally, challenges and prospects regarding the further development of the non-oxide ceramic VP process are deliberated upon. The authors aspire that this review will furnish valuable insights and references for the advancement of research pertaining to the VP process in non-oxide ceramics.

2. Curing Mechanism during the Vat Photopolymerization 3D Printing of Ceramics

Before discussing any issues related to the ceramic VP process, it is important to first understand the raw material composition and curing mechanism inherent to it. Ceramic VP slurries typically comprise ceramic particles, photosensitive resin monomers (and/or oligomers) with functional groups, photoinitiators, dispersants, and other additives [58]. Figure 1 depicts a comprehensive overview of the composition of the ceramic VP slurry and the UV light-curing process. The ceramic particles remain in a relatively stable state within the photosensitive resin in the presence of dispersants, which makes the whole system behave as a suspension with a certain viscosity [59,60]. The photoinitiator plays a crucial role in enabling light-induced curing within this suspension system. When exposed to UV light, the photoinitiator undergoes activation, initiating cross-linking polymerization of the photosensitive resin [61]. Concurrently, the ceramic particles become encapsulated within the polymer matrix, resulting in the formation of ceramic green parts. This process primarily involves a chain polymerization reaction of the photosensitive resin monomers. To facilitate comprehension of this process, it is delineated below into three key steps: chain initiation, chain polymerization, and chain termination.
Figure 1. Schematic of the composition and UV light-curing process of a ceramic VP slurry.
When ceramic VP slurries are exposed to UV light, the photoinitiator absorbs light energy, transitioning from the ground state (PI) to the excited state (PI*), thereby generating active radicals or cations [62]. Photoinitiators that are reliant on cationic polymerization demonstrate excessive initiation rates [49], rendering them unsuitable for achieving higher-resolution ceramic green parts. Consequently, the photoinitiators utilized in the ceramic VP process typically operate via radical polymerization. These active radicals (R*) possess the ability to attack the C-C double bonds within the photosensitive resin monomer (M), bestowing upon the monomer chains the requisite reactivity for cross-linking, thereby culminating in the completion of the chain initiation stage [63]. Equation (1) shows the transition of the photoinitiator from the ground state to the excited state. Equation (2) shows the generation of active radicals by the photoinitiator in the excited state. Together, these two equations demonstrate the chain initiation stage of the reaction.
PI hv PI *
PI * R 1 * + R 2 *
Subsequently, the chain polymerization stage is initiated. The reaction equation for this stage is depicted in Equation (3). Successive interactions between active chain termini and monomeric units lead to the elongation of polymer chains. This elongation process occurs concomitantly with the polymerization of the excited carbon–carbon double bonds [63]. As these reactive chains continue to elongate until all are cross-linked and the radicals lose their activity (R), the chain polymerization stage reaches its conclusion.
R * + M R ( M ) n *
Equation (4) shows the entire chain polymerization reaction to the chain termination stage, wherein polymer chains assemble into a highly crosslinked network structure. This process, when viewed on a macroscopic scale, signifies the completion of light curing, resulting in ceramic green parts with a certain mechanical strength.
R ( M ) n * + R ( M ) m * R ( M ) m + n R
Based on the above description of the light-curing mechanism during the ceramic VP process, it can be concluded that only the photoinitiators in the slurry that receives UV light energy will be excited, which in turn causes the curing of the slurry system. However, photoinitiators that are not exposed to UV light are not excited. Therefore, during the ceramic VP process, the penetration depth of UV light in the slurry plays a crucial role in determining the slurry’s light-curing behavior. The various interactions between UV light and ceramic particles in a non-oxide ceramic VP slurry influences the depth of light penetration to different degrees. This will be discussed in detail in Section 3.

3. Light–Particle Interactions during the Vat Photopolymerization 3D Printing of Ceramics

When UV light is incident into the ceramic VP slurry, its energy gradually decreases with increases in the penetration depth. This is due to the fact that various interactions between light and ceramic particles weaken the intensity of transmitted light, which in turn impede the propagation of UV light. Once the light energy decays to zero, the penetration depth of the light will no longer continue to increase. Beer’s law [64] appropriately describes the attenuation of light energy with respect to penetration depth:
E = E 0 exp ( γ L )
where E is the energy density, E 0 is the initial energy density, γ is the extinction coefficient, and L is the penetration depth of the UV light. To provide a more precise depiction of UV light attenuation across different ceramic VP slurries and its consequential impact on curing behavior, elucidation of the diverse light–particle interactions during the VP process is imperative.
As shown in Figure 2, these interactions encompass light absorption, light scattering, light reflection, and light transmission, with reflection representing a distinct manifestation of scattering. The absorption, scattering, and reflection of light by ceramic particles collectively influence the transmission and penetration depth of UV light, which is reflected as γ and L in Equation (5). Section 3.1 discusses the light absorption by ceramic particles. Increased light absorption by ceramic particles correlates with diminished UV light penetration depths. Concurrently, the competition between light absorption by ceramic particles and the photoinitiator diminishes the energy available for photoinitiator excitation, potentially resulting in a reduced curing thickness of the ceramic VP slurry. Section 3.2 addresses the light scattering by ceramic particles. Pronounced scattering not only engenders light energy loss but also induces blurring at the cured area periphery, thereby compromising the resolution of the ceramic VP process. Subsequently, Section 3.3 elucidates the light reflection by ceramic particles. An elevated intensity of reflected light on ceramic particle surfaces, coupled with low impediments to further light propagation, augments the UV light penetration depth within the ceramic VP slurry, consequently enhancing the curing thickness.
Figure 2. Light–particle interactions during the ceramic VP process.

3.1. Light Absorption by Ceramic Particles

In non-oxide ceramic slurries, it is common for photosensitive resins to possess colorless and transparent properties, while dispersants are typically added in small quantities (generally less than 10 wt.% relative to ceramic particles). The absorption of light by these components cannot significantly impact the light-curing capability of slurry. However, the photoinitiators contribute to the light-curing ability, even though they are also present in relatively small amounts. However, the presence of ceramic particles leads to significant light energy absorption, which reduces the penetration depth of light in the slurry and at the same time creates a competing relationship with the absorption of light by the photoinitiators. The light absorption ability of the non-oxide ceramic particles is significantly stronger than that of the oxide ceramic particles, which leads to a smaller penetration depth of light in the non-oxide ceramic VP slurry, which in turn deteriorates the curing behavior of the slurry. To gain clarity on the influence of light absorption in the light-curing behavior of the non-oxide ceramic VP slurry, it becomes necessary to understand the mechanisms of light absorption by ceramic particles and subsequently implement targeted improvements.
Light is a special form of electromagnetic waves. The absorption mechanisms of materials for electromagnetic waves of different frequencies vary, but these mechanisms are mostly related to various forms of energy level transitions. The light sources used in the ceramic VP process are based on UV or violet light. The absorption of materials for ultraviolet–visible light is related to the energy level transition of outer electrons between the valence band and the conduction band [65,66]. When a substance exhibits a strong absorption capability for ultraviolet–visible light, it indicates that the energy required for the outer electrons to transition from the valence band to the conduction band is smaller, i.e., the band gap is narrower, resulting in stronger absorption of light. The band gap is primarily determined by the material’s band structure and is influenced by factors such as the crystal structure and atomic bonding properties. The cause of the band gap involves knowledge related to physics, which is not the focus of the discussion here. Therefore, this review only discusses the effects of band gap on the ability of ceramic particles to absorb ultraviolet–visible light. For example, the impact of band gap on the light absorption capability of SiC, Si3N4, and SiO2 are discussed. Table 1 illustrates their respective band gaps, colors, and the curing thickness of the VP slurries. Among these materials, SiO2 has the widest band gap and hence the weakest light absorption capability. This manifests as the lightest color, the lowest ultraviolet absorption, and a curing thickness of up to several hundred micrometers [48]. In contrast, the band gaps of SiC and Si3N4 are narrower, making their outer electrons more prone to absorbing the energy of ultraviolet–visible light, thereby undergoing energy level transitions. In this scenario, the curing thickness of SiC and Si3N4 ceramic VP slurries can be as low as tens of micrometers [49,50]. It can be concluded that ceramic particles with narrower band gaps exhibit stronger light absorption capabilities, leading to strict limitations on the penetration depth of light. Additionally, the photoinitiator can only receive a very limited amount of light energy. Consequently, the curing thickness of ceramic VP slurries will significantly decrease.
Table 1. Band gap, bonding type, and color of silicon and its non-oxide and oxide.

3.2. Light Scattering by Ceramic Particles

A non-oxide ceramic VP slurry is essentially a suspension. The refractive index difference between the ceramic particles and the photosensitive resin results in a certain degree of light scattering when the slurry is exposed to light [67,68]. This scattering phenomenon leads to light loss and reduces the penetration depth, consequently impacting the curing thickness. Furthermore, significant scattering can result in blurring or distortion at the edges of the cured region, thereby compromising the dimensional accuracy of the VP process [69].
The scattering behavior of light in suspensions has been discussed in various theories. In each of these theories, a dimensionless function Q , called the extinction coefficient efficiency, is introduced to characterize the degree of light loss by scattering [70]. Q is related to the solid loading ϕ , particle size d , and the ratio m = n p / n 0 :
Q ( ϕ , x , m ) = ( m 1 ) 2 Q ~ ( ϕ , x , m ) = ( Δ n / n 0 ) 2 Q ~ ( ϕ , x , m )
where x = π d / λ , n p is the particle refractive index, n 0 is the solution (specifically referring to photosensitive resins in the VP process) refractive index, and Δ n is the difference between the two.
Q has been explored in more depth according to different scattering theories. There are several equations for Q in terms of x and ρ , where ρ is related to the refractive index difference between the ceramic and the UV-curable solution [70].
ρ = x Δ n = x ( n p n 0 )
When the particle size is smaller than the wavelength of the incident light, Rayleigh scattering theory [70,71] suggests the following:
Q r a y = 1 2 ρ 2 = 1 2 x 2 Δ n 2
In addition, the Mie scattering theory [70,72] is not limited by particle size and the wavelength of incident light. Therefore, Q has also been discussed using the Mie scattering theory. For Mie scattering, the following applies:
Q m i e = 2 4 sin ρ ρ + 4 ρ 2 ( 1 cos ρ )
Based on these theories, it becomes evident that the disparity in the refractive index between ceramic particles and photosensitive resins significantly impacts light scattering, ultimately resulting in losses of incident light energy to varying degrees. Figure 2 also shows the light scattering by different ceramic particles. It can be seen that the larger the Δ n value, the stronger the scattering effect, and the more unfavorable it is for light to propagate in the direction of incidence.
Generally, photosensitive resins possess a refractive index of around 1.4–1.5 [33,73,74,75]. However, ceramic particles commonly exhibit refractive indices exceeding this range. For instance, Table 2 shows the refractive index of typical oxide and non-oxide ceramic particles used in the VP process. It is observed that based on the discussion of Q , an increasing difference in the refractive index between ceramic particles and photosensitive resins leads to a decrease in scattered light intensity. Consequently, the overall intensity and depth of light penetration are reduced, thereby compromising the curing capability of the slurry.
Table 2. Refractive index and curing thickness of typical ceramic particles used in the VP process.

3.3. Light Reflection by Ceramic Particles

Light reflection is a special form of light scattering. Despite the relatively low reflectivity of ceramic materials compared to metal materials, the light reflection phenomenon when light interacts with a ceramic VP slurry still cannot be ignored. When the surface of the ceramic particles reflects light and the reflected light is able to continue to propagate, it contributes to an increase in the depth of light penetration.
In this regard, non-oxide ceramic slurries exhibit significant differences compared to oxide ceramic slurries. Firstly, as discussed in Section 3.1, non-oxide ceramic particles have a higher light absorption capacity than oxide ceramic particles, leading to reduced reflection at the ceramic particle–photosensitive resin interface. Additionally, oxide ceramic particles can typically be prepared as spherical or nearly spherical, while non-oxide ceramic particles tend to have irregular shapes and fragmented structures and are difficult to prepare into spherical shapes via secondary processing. As shown in Figure 2, reflected light can propagate relatively easily to greater depths between nearly spherical particles. However, for non-oxide ceramic particles, the rough surfaces and irregular shapes impede the escape of reflected light [67], thereby limiting the further propagation of light within the VP slurry. As a result, for non-oxide ceramic VP pastes, the overall reduction in reflected light is accompanied by a rise in the difficulty of reflected light escape, which results in a notable restriction in the depth of UV light penetration. Consequently, this limitation ultimately leads to a reduction in the cured thickness.

4. Key Factors Affecting the Light-Curing Behavior of Non-Oxide Ceramic VP Slurries

To investigate the light-curing behavior of non-oxide ceramic VP slurries, it is crucial to establish a qualitative or quantitative correlation between the curing behavior and the factors present in the slurry components. The Jacobs equation [78] is widely employed as a method for determining the curing thickness of VP slurries:
D c = D p ln E 0 E c r i t
where D c is the curing thickness, D p is the depth of light penetration in the ceramic VP slurry, E 0 is the incident light intensity, and E c r i t is the critical light intensity. In addition, Griffith et al. [70] proposed a correlation between the depth of penetration and the factors present in the slurry components:
D p 2 d 3 λ ϕ n 0 2 Δ n 2
where d is the average particle size of the ceramic particles, λ is the wavelength of incident light, ϕ is the volume fraction (i.e., solid loading) occupied by the ceramic particles, n 0 is the refractive index of the photosensitive resin, and Δ n is the difference between the refractive indices of the ceramic particles and the photosensitive resin. Associating Equation (10) with Equation (11) yields Equation (12).
D c 2 d 3 λ ϕ n 0 2 Δ n 2 ln E 0 E c r i t
Changes in the several physical quantities on the right side of the equation result in varying degrees of impact on the curing thickness. Therefore, these physical quantities are defined as the several key factors that affect the light-curing behavior of non-oxide ceramic VP slurries. To assess the magnitude of influence exerted by these factors, they are categorized and discussed based on primary terms, quadratic terms, and terms related to the logarithmic calculation. In the first place, d , λ , and ϕ are primary terms, meaning that a change in any of these factors leads to a moderate alteration in the curing thickness. Next, both n 0 and Δ n are quadratic terms, meaning that a change in either of these factors leads to a relatively large change in the curing thickness. Finally, both E 0 and E c r i t are terms related to the logarithmic calculation. Only when E 0 / E c r i t > 1 is the logarithmic value positive at this time the system starts curing. Therefore, the effects of changes in these factors on the curing thickness are initially moderate and then rapidly diminish.
In addition, the reactivity of the photosensitive resin [79] is another important factor that influences the light-curing behavior of non-oxide ceramic VP slurries, although it is not mentioned in Equation (12). It is determined by the functionality of the photosensitive resin, the concentration of the photoinitiators, and the initiating ability of the photoinitiators. Therefore, the following discussion includes an analysis of the reactivity of the photosensitive resin.

4.1. Ceramic Particle Size

Commercially available non-oxide ceramic particles exhibit a wide range of particle sizes, ranging from the nanometer scale to the micrometer scale. This variability allows for the adjustment of particle size in ceramic VP slurries. However, not all particle sizes are suitable for use as raw materials in VP slurries. According to Equation (12), an increase in ceramic particle size results in an increase in the curing thickness. Therefore, excessively fine powders are generally avoided as raw materials for VP slurries. On the other hand, using excessively coarse powders is also not recommended, as inappropriate particle sizes can negatively impact the slurry’s stability, rheological properties, and the sintering performance of the final product [80].
Some researchers have optimized the light-curing behavior of non-oxide ceramic slurries based on the approach of adjusting the ceramic particle size. Specifically, Ding et al. [49] prepared VP slurries with a solid loading of 30 vol% by utilizing SiC particles of different sizes (1, 3, 5, 10, and 15 µm). The absorbance values and curing thicknesses of the SiC slurries with different particle sizes are shown in Figure 3a,b. It was observed that the absorbance values significantly increased as the particle size decreased, while the curing thickness decreased accordingly. At a particle size of 15 µm, the slurry achieved a curing thickness of 78 μm. However, when using fine particles with a size of only 1 µm, the resulting curing thickness was only approximately 8 μm. Similarly, Hu et al. [81] formulated VP slurries with a solid loading of 40 vol% using SiC particles with D50 values of 1, 5, 10, and 15 µm and obtained analogous conclusions. Figure 3c,d illustrate the absorbance values and curing thickness of SiC slurries with different particle sizes. With an increase in particle size, the curing thickness of the slurry also increased, ranging from 15 µm to 119 µm. These results indicate that larger particle sizes diminish the extinction capacity of the solid phase.
Figure 3. (a) Absorbance values and (b) curing thickness curves of SiC slurries with different particle sizes. Adapted from ref. [49]. (c) Absorbance values and (d) curing thickness curves of SiC slurries with different particle sizes. Adapted from ref. [81].
Although an increase in particle size can lead to an increase in curing thickness, it can also lead to a decrease in the stability of the slurry and a reduction in the sintering performance of the green part. The destabilization of the slurry occurs due to the settling of ceramic particles in suspension. The free settling velocity of ceramic particles can be determined by applying Stokes’ law [82] to analyze their settling under the influence of gravity. Therefore, the following equation is derived:
u 0 = ( ρ p ρ ) g 18 μ d 2
where u 0 is the free settling velocity of the particles, d is the particle size, ρ p is the density of the particles, ρ is the density of the photosensitive resin, g is the gravitational acceleration, and μ is the viscosity of the slurry. The deterioration of slurry stability is evident as the particle size increases. Additionally, coarse particles exhibit lower surface energies, resulting in lower sintering activities [83]. The green parts prepared via the VP process contain a substantial amount of organic matter, which significantly reduces the density after debinding and results in the presence of more pores. Inadequate sintering activities of the ceramic particles can lead to a low relative density of the final product and diminished mechanical properties. Consequently, using overly coarse particles as raw materials for VP slurries is not advisable.
However, fine particles not only result in enhanced light extinction but also possess a higher specific surface area and surface energy. This leads to a stronger van der Waals force effect between the fine particles, increasing their tendency to agglomerate and causing the viscosity of the light-curing slurry to rise [84]. In the VP process, the movement of the photosensitive resin monomers and the free radicals or cations generated by the excited photoinitiators determine the initiation and termination of the light-curing reaction. An increase in slurry viscosity hinders the movement of these species, directly impacting the diffusion ability of the substances involved in the light-curing reaction and adversely affecting the light-curing behavior. Moreover, excessively high slurry viscosities can impede the uniform spread of each new layer during the VP process, introducing numerous defects into the green parts and compromising the quality of the final product [85].
As mentioned above, it is not recommended to use either coarse or fine particles alone as raw materials for non-oxide ceramic VP slurries. Several researchers have investigated the effects of particle gradation, i.e., the utilization of a combination of coarse and fine particles, in a certain ratio. For example, Tang et al. [86] employed two SiC particle sizes with D50 values of 58,626 µm and 3289 µm for grading. In addition, they incorporated carbomer as a thickener. The addition of a thickener is imperative to ensure the suspension stability of the larger particles within the slurry and prevent their settling, despite being rarely utilized in other non-oxide ceramic VP slurry formulations. This SiC VP slurry has a high solid loading of 60 vol%. However, the curing thickness can reach up to 130 μm. The utilization of particle grading enables the inclusion of larger particle sizes, thereby further diminishing the extinction capacity of the solid phase while maintaining a high solid loading. However, the oversized particles significantly impeded sintering activity. Therefore, the LSI process was employed to ensure the dense sintering of the products. Eventually, Si/SiC composites were prepared. Figure 4 is the schematic diagram of the preparation process of Si/SiC composites utilizing a particle-graded slurry and LSI process.
Figure 4. Schematic diagram of the preparation process of Si/SiC composites. Adapted from ref. [86].

4.2. Wavelength of Incident Light

According to Equation (12), increasing the wavelength of the incident light results in an increase in the curing thickness. Conventional UV curing processes use mercury lamps, electrode-free lamps, excimer lamps, or LEDs as light sources [26]. These light sources emit UV light of different wavelengths. According to Planck’s formula, shorter wavelengths of light have higher energies:
E = h v = h c λ
where E is the energy of light, h is Planck’s constant, ν is the frequency of light, c is the speed of light, and λ is the wavelength of light. When the wavelength of light exceeds the range of UV or violet light, it leads to a reduction in the energy of light, which can hinder light penetration and the light-curing reaction. Additionally, higher-wavelength light is difficult to focus, resulting in a significant decrease in the accuracy of the VP process. For reasons of printing accuracy, safety, and longevity, the light sources used in the VP process are usually 405 nm digital light projectors (for DLP applications) [30,35] or 355 nm lasers (for SLA applications) [59,79]. Furthermore, the wavelength of the light source is typically fixed for a VP device, and photoinitiators are specifically designed to absorb particular wavelengths of UV or violet light [87,88,89]. Consequently, adjusting the wavelength of the incident light to control the curing thickness of the slurry is costly and complex, and the effect is generally not significant. Therefore, this method is not common.

4.3. Volume Fraction of Ceramic Particles

Equation (12) states that reducing the volume fraction of ceramic particles leads to an increase in the curing thickness. There are a few reasons for this effect. Firstly, when the volume fraction of ceramic particles decreases, more light can be absorbed by the photoinitiators. This results in the generation of more reactive radicals or cations, which promotes the curing reaction and increases the curing thickness. Secondly, with a lower volume fraction of ceramic particles, there is less “blockage” of light as it travels through the suspension. The absorption, scattering, and refraction of light by the ceramic particles become weaker, which allows for increased penetration of light into the slurry and further contributes to the increase in curing thickness.
Numerous studies focusing on the VP process of non-oxide ceramics have consistently corroborated the assertion that reducing the solid loading of the slurry leads to an increase in the curing thickness. For instance, Dong et al. [50] prepared Si3N4 slurries with solid loading of 40, 45, 50, and 55 vol%. These slurries were exposed to a light intensity of 10,000 μW/cm2 for a duration of 6 s. As the solid loading increased, the curing thickness of the slurry decreased from 36 µm to 30 µm. Similarly, Liu et al. [56] developed Si3N4 slurries with solid loading varying from 25 vol% to 45 vol% and analyzed the resulting curing thickness. They concluded that there was an inverse relationship between the solid loading and the curing thickness, as shown in Figure 5a,b.
Figure 5. (a) Curing thickness of Si3N4 slurries with different solid loadings. Adapted from ref. [50]. (b) Dependence of the curing depth on the exposure energy for ceramic slurries with different Si3N4 solid loadings. Adapted from ref. [56].
While reducing the volume fraction of ceramic particles may increase the curing thickness, it can create additional challenges during the debinding and sintering process. A lower solid loading makes the debonding process more difficult, as it may result in the creation of more defects [51]. Additionally, it can lead to a lower relative density, requiring more complex subsequent densification processes to achieve the desired product density. These additional steps can increase the complexity and cost of the overall process.

4.4. Refractive Index of Photosensitive Resins and Ceramic Particles

When the quadratic terms in Equation (12) are changed, the curing thickness experiences a more pronounced variation. Therefore, the refractive index becomes a crucial factor influencing the curing thickness of the ceramic VP slurry. Table 3 presents the relevant parameters of commonly used photosensitive resins in ceramic UV slurries. It can be observed that the tuning range for the refractive index of photosensitive resins ( n 0 ) is limited, which usually ranges from 1.4 to 1.5. Consequently, the focus should be on reducing the refractive index of ceramic particles to achieve a lower Δ n value.
Table 3. Properties of resins and diluents used in the ceramic VP process.
As depicted in Table 2, the refractive index of oxide ceramic particles is lower than that of non-oxide ceramic particles. Consequently, certain researchers have substituted a portion of the non-oxide ceramic particles in the slurry with oxide ceramic particles. This intervention has yielded a reduced refractive index of the ceramic particles in the VP slurry, thereby leading to a lower Δ n value. As a result, this optimization has profoundly improved the light-curing behavior and increased the curing thickness.
For instance, Tang et al. [57] employed various ratios of SiC and SiO2 particles to develop VP slurries with a fixed solid loading. The incorporation of a substantial amount of SiO2 particles, which possess a low extinction capacity, significantly reduced the refractive index difference between the ceramic particles and the photosensitive resin. As a result, reducing the percentage of SiC particles led to a notable increase in the curing thickness of the slurry. As shown in Figure 6a, a curing thickness of 100–200 μm was achieved, ensuring a reliable curing accuracy. Finally, they set the printing thickness to 75 μm and then prepared SiC ceramic green parts via the VP process. From Figure 6b, it can be seen that the average thickness of the actual printing layer is 74.34 μm, which is consistent with the design value. On the other hand, Chen et al. [99] formulated a Si3N4 VP slurry with a solid loading of 50 vol% and introduced 10 wt.% of Y2O3-Al2O3 particles. Figure 6b revealed that the pure Si3N4 slurry had a curing thickness of 30–50 μm, whereas the addition of Y2O3-Al2O3 particles resulted in a curing thickness of 50–60 μm.
Figure 6. (a) Curing thickness of the SiC slurries with different SiC ratios; (b) SEM micrograph for cross-section of the green part. Adapted from ref. [57]. (c) Curing depth of slurries with Si3N4 and Si3N4-Y2O3-Al2O3. Adapted from ref. [99].
While the introduction of a significant number of oxide ceramic particles has been shown to improve curing behavior, this approach results in a residual oxide ceramic phase that can be difficult to remove using subsequent processes [86]. To reduce the oxide ceramic phase residue while maintaining a desired curing thickness, researchers have explored the application of surface coatings on non-oxidized particles. For instance, Cao et al. [100] subjected 10 µm SiC particles to oxidation at 1200 °C for 4 h, resulting in the formation of SiC@SiO2 core–shell-structured particles with an unchanged particle size. Figure 7a illustrates the absorbance value of raw SiC and pre-oxidized SiC@SiO2 ceramic particles. The SiO2 shell layer effectively reduced the particle absorbance from 0.357 to 0.284. As shown in Figure 7b, the slurry formulated with untreated SiC particles exhibited a curing thickness of only around 50 μm at a solids content of 40 vol%. In contrast, the slurry formulated with SiC@SiO2 particles achieved a curing thickness of up to 120 μm. Even if the solid loading is increased to 55 vol%, the curing thickness can still be as high as about 100 μm. Figure 7c–f illustrate the SEM micrograph and EDS analysis of SiC particles after oxidation. They show that a SiO2 layer with a thickness of less than 1 μm was formed on the surface of SiC particle, as evidenced by the distribution of oxygen elements in Figure 7f.
Figure 7. (a) Absorbance value of raw SiC and pre-oxidized SiC@SiO2 ceramic particles; (b) curing thickness of SiC and SiC@SiO2 ceramic slurries; (c) SEM micrograph of a SiC particle after oxidation; (df) EDS analysis of the SiC ceramic particle in (c). Adapted from ref. [100].
In addition, Huang et al. [101] successfully synthesized Si3N4@SiO2 core–shell-structured particles by oxidizing Si3N4 particles at different temperatures and durations (1150 °C for 1 h and 1200 °C for 3 h). With increased oxidation, the particle absorbance decreased from approximately 0.3 to around 0.23, while the maximum curing thickness rose from less than 40 μm to about 80 μm, as shown in Figure 8a,b. Notably, Figure 8c illustrates that the SiO2 shell layer had a thickness in the nanometer range. It is clear that the sub-micron/nano-scale thickness of the oxide shell contributes to the improvement of the curing behavior of non-oxide ceramic VP slurry while significantly reducing the amount of impurities introduced into the slurry.
Figure 8. (a) The absorbance of Si3N4 samples and silica. (b) The cure depth of raw and oxidized Si3N4 samples. (c) TEM micrograph for a Si3N4 particle oxidized at 1150 °C for 1 h. Adapted from ref. [101].
Furthermore, even though the raw material consists of metal particles rather than non-oxide ceramic particles, the work of Zhang et al. [102] also offers valuable insights. They synthesized AlSi10Mg@polystyrene particles by polymerizing styrene on the surface of AlSi10Mg particles using the BPO initiator at a heating temperature of 75 °C. Figure 9a,b illustrate the TEM micrograph for an original AlSi10Mg particle and a polystyrene-AlSi10Mg composite particle. It can be seen that the thickness of the polystyrene coating is only a few hundred nanometers. Comparatively, the maximum curing thickness of the slurry formulated from the uncoated particles was approximately 40 μm, whereas the slurry formulated from the coated particles exhibited a curing thickness of around 90 μm, as shown in Figure 9c,d.
Figure 9. TEM micrograph for (a) the original AlSi10Mg particle and (b) the polystyrene–AlSi10Mg composite particle. Curing depth of slurries with different particles, (c) original AlSi10Mg particles and (d) polystyrene–AlSi10Mg composite particles. Adapted from ref. [102].
Distinct from the use of inorganic materials as coatings, the polymers encapsulating the particle surface can be removed during debonding and sintering processes. As a result, the influence of low-extinction-capacity fillers terminates at the end of the molding process. This leads to a reduction in the quantity of impurity elements left in the final product, yielding a nearly pure phase product.

4.5. Incident Light Intensity and Critical Light Intensity

The logarithmic value is positive when the true number ( E 0 / E c r i t ) exceeds 1. This indicates that the incident light intensity E 0 surpasses the critical light intensity E c r i t , enabling the curing process to commence. For a certain VP slurry, the E c r i t value is determined. In non-oxide ceramic VP slurries, the E c r i t value is notably higher than that of oxide ceramic slurries due to their higher light-extinction capacity. Consequently, a higher E 0 is required to initiate system curing.
Ding et al. [49] configured VP slurries with a solid loading of 30 vol% using Al2O3, ZrO2, and SiC and investigated the relationship between light intensity and curing thickness. As shown in Figure 10, the curing thickness of the SiC slurry was significantly lower than that of the two oxide slurries at the same light intensity. As E 0 increased, the curing thickness inevitably experienced some growth. However, once E 0 reached a certain threshold, the growth rate diminished significantly and eventually stabilized. Further increasing E 0 at this point did not contribute significantly to an improved curing thickness. Moreover, excessively high incident light energy can cause resin carbonization, resulting in failure of the VP process. Additionally, portions of the slurry that have already cured impede light propagation, hindering further curing [49]. Therefore, while initially effective, relying on an increased light intensity to enhance curing thickness quickly loses its effectiveness as light intensity is further increased.
Figure 10. The relationship between light intensity and curing thickness. Adapted from ref. [49].

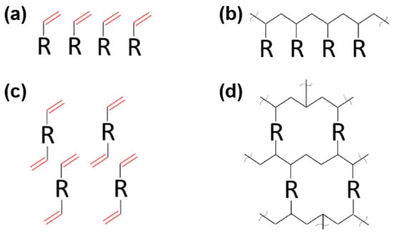
4.6. Reactivity of Photosensitive Resins

The main constituents of photosensitive resins typically include monomers or oligomers with varying functionalities, sometimes accompanied by non-reactive diluents. Figure 11 illustrates the impact of polymerization and crosslinking in both mono and multifunctional monomers. It is evident that resins with a greater reactivity exhibit a higher functionality, making it easier to swiftly form a highly crosslinked mesh structure [103].
Figure 11. Comparison of mono and multifunctional monomers: (a) monofunctional monomers; (b) linear polymerization of monofunctional monomers; (c) multifunctional monomers; (d) network polymerization of multifunctional monomers. Adapted from ref. [103].
However, resins with a high functionality also tend to have a higher viscosity, which hinders the preparation of VP slurries with a higher solid loading [85]. Additionally, high polymerization shrinkage results in elevated internal stresses during the curing process, potentially causing delamination and brittleness in the green parts [104,105]. Consequently, the introduction of diluents becomes necessary to regulate the viscosity and polymer shrinkage of the slurry. Table 3 provides examples of photosensitive resins and diluents with varying numbers of functional groups.
Ding et al. [106] obtained SiC VP slurries by using two typical acrylate monomers compounded as bifunctional HDDA and trifunctional TMPTA. The mass ratios of HDDA/(HDDA+TMPTA) were varied as 0, 30, 50, 70, and 100 wt.%, resulting in slurries R1, R2, R3, R4, and R5, respectively. By increasing the mass ratio of TMPTA, the functionality of the resin system was increased. Under the same conditions used for all the other parameters, the curing thickness of the slurry increased as the incorporation of TMPTA increased. For instance, as shown in Figure 12a, the curing thickness rose from 48.2 μm for pure HDDA to 67.8 μm for pure TMPTA. This work demonstrates that increasing the reactivity of the photosensitive resin can effectively optimize the light-curing behavior of the slurries. The greater functionality of the resin system allows for more reactive sites, leading to improved polymerization and curing efficiency. As a result, the curing thickness of the slurry increases.
Figure 12. (a) Viscosity and curing thickness of SiC slurries with different monomers. Adapted from ref. [106]. (b) The initiate mechanism for free radical photoinitiator TPO, (c) the initiate mechanism for cationic photoinitiator 250, (d) the effects of TPO concentration on the curing thickness of the SiC slurry, and (e) the effects of 250 concentration on the curing thickness of the SiC slurry. Adapted from ref. [49].
In addition to investigating the impact of resin functionality, Ding et al. [49] also examined the influence of photoinitiator type and dosage on the light-curing behavior of SiC slurries. Two commonly used initiators were selected: TPO, a free radical initiator; and 250, a cationic initiator. Figure 12b,c illustrate the initiate mechanisms for TPO and 250. The slurry containing the cationic initiator 250 exhibited a higher curing thickness compared to the one with TPO. This can be attributed to the fact that the cationic initiator is capable of generating both super-strong protonic acid and active free radicals. These species weaken the oxygen inhibition effect, thereby allowing for a more efficient curing process. In contrast, the free radical initiator may be more susceptible to the inhibitory effects of oxygen, leading to a lower curing thickness. Furthermore, the amount of initiator used in the slurry formulation was found to have an impact on the curing thickness. Figure 12d,e illustrate the effect of initiator (TPO/250) concentration on the curing thickness of a SiC slurry. Initially, as the initiator dosage increased, the curing thickness of the slurry showed a tendency to increase. This can be attributed to the increased availability of reactive species, which promotes a more complete polymerization reaction. However, there may be a saturation point beyond which further increases in initiator dosage do not significantly contribute to the curing thickness. This is because the photoinitiators can only receive a limited amount of light energy, which restricts their overall efficiency.
Obviously, the optimization of the light-curing behavior in this way is limited. As mentioned earlier, there is direct competition between the absorption of light by the ceramic particles and the liquid phase (i.e., photosensitive resin and photoinitiator). Consequently, the amount of light energy that the liquid phase can absorb without diminishing the extinction ability of the ceramic particles is restricted. Thus, the modulation of photosensitive resins and photoinitiators can only achieve a modest degree of optimization in light-curing behavior. Furthermore, increasing the functionality of the photosensitive resin and the activity of the photoinitiator introduces new challenges, such as an elevated viscosity of the slurry system, excessively rapid polymerization speed, and excessive internal polymerization stress.

5. Challenges and Prospects

As mentioned previously, to improve the curing behavior of non-oxide ceramic slurries and achieve a higher cure thickness, researchers have pursued various methods. While the existing improved methods have been able to increase cure thicknesses to some extent, there remains a need for further optimization and enhancement of the VP process for non-oxide ceramics. Based on the above discussion of the current development status, the following challenges and prospects can be summarized.

5.1. Expanding the Material System of Non-Oxide Ceramic VP Processes

Currently, research on non-oxide ceramics for VP processes is primarily focused on SiC and Si3N4. However, there exist numerous non-oxide ceramic materials with excellent properties that have not yet to be utilized in the VP process. For instance, boron carbide (B4C) is an ideal neutron absorber that is capable of absorbing a significant number of neutrons without producing radioactive isotopes, making it suitable for application in the nuclear industry [107,108,109]. Meanwhile, zirconium boride (ZrB2) exhibits exceptional and stable high-temperature performance, rendering it a promising candidate for aerospace high temperature-resistant materials [110,111,112]. Despite these advantages, the VP process of these materials remains underexplored. Therefore, it is imperative to expand the material system of non-oxide ceramic VP processes to fabricate complex-shaped parts with a high dimensional accuracy, ultimately enabling their application in various industries.

5.2. Coordinating Multiple Curing Mechanisms to Improve Curing Behavior

Conventional VP processes for non-oxide ceramics initiate cross-linking curing of the system solely through UV light-excited photoinitiators. Various methods for improving the curing behavior have been previously described. However, these methods have never been able to eliminate the limitation of light penetration depth, which in turn prevents higher curing thicknesses from being achieved. Therefore, some researchers have attempted to obtain more thorough curing by combining multiple curing mechanisms, such as coordinate thermal curing mechanisms with light-curing mechanisms [113,114,115,116]. Although the process used was material extrusion (ME) rather than vat photopolymerization, the work of Rau et al. [114] still provides a valuable reference. They introduced both photoinitiators (BAPO) and thermal initiators (AIBN) into commercially available resin (Ebecryl 230) and blended aluminum particles with a solid loading of 60 vol.% as feedstock for a UV-assisted ME process. The initial light-curing process can rapidly form a thin cured layer on the surface of the extruded material. The subsequent heat curing process allows for the complete curing of the slurry where UV light cannot reach. Figure 13 illustrates the process diagram of this work.
Figure 13. Schematic of the UV-ME printing of the dual-cure ink. (a) The initial light-curing process. (b) The subsequent heat-curing process. (c) The final part is fully cured and achieves the final mechanical properties. Adapted from ref. [114].
In Rau’s study, the heat is introduced by an overhead heater [114]. In the VP process, heat can be generated from two sources: either the heat released during the polymerization of photosensitive resins or the heat of the laser itself. However, it is important to note that although heat transfer is not limited by the depth of light penetration, it tends to be slower and requires longer processing times. In addition, heat transfer lacks a clear direction, which may affect print accuracy. Despite these shortcomings, it is evident that the coordination of multiple curing mechanisms can effectively circumvent the limitation of light penetration depth and thus improve the curing behavior of the VP process. Unfortunately, no studies have been conducted on the coordinate use of multiple curing mechanisms for non-oxide ceramic VP processes. Therefore, it is also an important challenge and opportunity for the future.

5.3. Explore Simulation Techniques of the Curing Process

To obtain a non-oxide ceramic slurry suitable for VP processes, an extensive exploration process is often necessary to optimize and adjust the terms influencing the light-curing behavior. Simultaneously, alterations in the ceramic particles result in changes to the process parameters, requiring readjustment of the optimal parameters. Westbeek [117,118] modeled the effects of the shape and distribution state of ceramic particles in the slurry on light transmission based on Maxwell’s electromagnetic equations. Although the considered model problems are two-dimensional, these studies lay the foundation for a modeling framework for three-dimensional problems. Obviously, conducting research on simulation techniques for the light-curing additive manufacturing process of non-oxide ceramics can significantly streamline the cumbersome process exploration, which has a positive effect on revealing the molding mechanisms and then feeding back to the additive manufacturing process.

6. Summary

In summary, improving the curing behavior of slurries is critical for non-oxide ceramic VP processes. While researchers’ investigations into various key factors can improve the curing behavior of slurries to some extent, several challenges and opportunities persist within this research domain. Further improvement of the curing behavior and gradual introduction of the prepared devices into practical applications would be a significant advancement in the research of non-oxide ceramic VP processes. For example, the curing behavior of non-oxide ceramics can be improved by coordinating multiple curing mechanisms to compensate for the lack of light penetration depth. Based on this, more kinds of non-oxide ceramics can be applied to the VP process and eventually introduced into practical applications. In addition, the study of simulation techniques for the light-curing process of non-oxide ceramics can greatly reduce the difficulty of exploring the VP process. The authors hope that this review could offer valuable insights and serve as a point of reference for further research on the light-curing behavior of non-oxide ceramics.

Author Contributions

Conceptualization, X.G.; methodology, X.G. and W.W.; data curation, X.C.; writing—original draft preparation, X.G. and J.C.; writing—review and editing, Z.L. and R.H.; funding acquisition, R.H. All authors have read and agreed to the published version of the manuscript.

Funding

The authors sincerely appreciate the financial support from the National Natural Science Foundation of China [No. 52275310].

Acknowledgments

The authors want to acknowledge the characterization performed at the Analysis & Testing Center, Beijing Institute of Technology.

Conflicts of Interest

The authors declare no conflicts of interest.

References

  1. Steyer, T.E. Shaping the Future of Ceramics for Aerospace Applications. Int. J. Appl. Ceram. Technol. 2013, 10, 389–394. [Google Scholar] [CrossRef]
  2. Ramachandran, K.; Boopalan, V.; Bear, J.C.; Subramani, R. Multi-walled carbon nanotubes (MWCNTs)-reinforced ceramic nanocomposites for aerospace applications: A review. J. Mater. Sci. 2022, 57, 3923–3953. [Google Scholar] [CrossRef]
  3. Liang, C.; Wang, Z. Eggplant-derived SiC aerogels with high-performance electromagnetic wave absorption and thermal insulation properties. Chem. Eng. J. 2019, 373, 598–605. [Google Scholar] [CrossRef]
  4. Wang, S.F.; Zhang, J.; Luo, D.W.; Gu, F.; Tang, D.Y.; Dong, Z.L.; Tan, G.E.B.; Que, W.X.; Zhang, T.S.; Li, S.; et al. Transparent ceramics: Processing, materials and applications. Prog. Solid. State Chem. 2013, 41, 20–54. [Google Scholar] [CrossRef]
  5. Xiao, Z.; Yu, S.; Li, Y.; Ruan, S.; Kong, L.B.; Huang, Q.; Huang, Z.; Zhou, K.; Su, H.; Yao, Z.; et al. Materials development and potential applications of transparent ceramics: A review. Mat. Sci. Eng. R 2020, 139, 100518. [Google Scholar] [CrossRef]
  6. Shevchenko, V.Y.; Dolgin, A.S.; Sychov, M.M.; Makogon, A.I.; Perevislov, S.N. Ideal: A promising diamond-silicon carbide composite for enhanced ceramic armor. Ceram. Int. 2024, 50, 4264–4273. [Google Scholar] [CrossRef]
  7. Feng, C.; Zhang, K.; He, R.; Ding, G.; Xia, M.; Jin, X.; Xie, C. Additive manufacturing of hydroxyapatite bioceramic scaffolds: Dispersion, digital light processing, sintering, mechanical properties, and biocompatibility. J. Adv. Ceram. 2020, 9, 360–373. [Google Scholar] [CrossRef]
  8. Baino, F.; Magnaterra, G.; Fiume, E.; Schiavi, A.; Tofan, L.P.; Schwentenwein, M.; Verné, E. Digital light processing stereolithography of hydroxyapatite scaffolds with bone-like architecture, permeability, and mechanical properties. J. Am. Ceram. Soc. 2022, 105, 1648–1657. [Google Scholar] [CrossRef]
  9. Bohner, M.; Santoni, B.L.G.; Dobelin, N. β-tricalcium phosphate for bone substitution: Synthesis and properties. Acta Biomater. 2020, 113, 23–41. [Google Scholar] [CrossRef]
  10. Siengchin, S. A review on lightweight materials for defence applications: Present and future developments. Def. Technol. 2023, 24, 1–17. [Google Scholar] [CrossRef]
  11. Sun, Y.; Chu, Y.; Wu, W.; Xiao, H. Nanocellulose-based lightweight porous materials: A review. Carbohyd. Polym. 2021, 255, 117489. [Google Scholar] [CrossRef] [PubMed]
  12. Du, Z.; Yao, D.; Xia, Y.; Zuo, K.; Yin, J.; Liang, H.; Zeng, Y.P. The high porosity silicon nitride foams prepared by the direct foaming method. Ceram. Int. 2019, 45, 2124–2130. [Google Scholar] [CrossRef]
  13. Frank, M.B.; Naleway, S.E.; Haroush, T.; Liu, C.-H.; Siu, S.H.; Ng, J.; Torres, I.; Ismail, A.; Karandikar, K.; Porter, M.M.; et al. Stiff, porous scaffolds from magnetized alumina particles aligned by magnetic freeze casting. Mat. Sci. Eng. C 2017, 77, 484–492. [Google Scholar] [CrossRef] [PubMed]
  14. Deng, X.; Ran, S.; Han, L.; Zhang, H.; Ge, S.; Zhang, S. Foam-gelcasting preparation of high-strength self-reinforced porous mullite ceramics. J. Eur. Ceram. Soc. 2017, 37, 4059–4066. [Google Scholar] [CrossRef]
  15. Gonzalez-Gutierrez, J.; Cano, S.; Schuschnigg, S.; Kukla, C.; Sapkota, J.; Holzer, C. Additive Manufacturing of Metallic and Ceramic Components by the Material Extrusion of Highly-Filled Polymers: A Review and Future Perspectives. Materials 2018, 11, 840. [Google Scholar] [CrossRef] [PubMed]
  16. Wang, W.; Gao, X.; Li, Z.; Shen, C.; Wang, G.; He, R. Fiber-laying-assisted material extrusion additive manufacturing of continuous carbon fiber reinforced SiC ceramic matrix composites. Mat. Sci. Eng. A 2024, 890, 145944. [Google Scholar] [CrossRef]
  17. Wang, W.; Gao, X.; Zhang, L.; Ma, Q.; Li, S.; Li, Z.; Shen, C.; Wang, G.; He, R. Large-scale material extrusion-based additive manufacturing of short carbon fibre-reinforced silicon carbide ceramic matrix composite preforms. Virtual Phys. Prototyp. 2023, 18, e2245801. [Google Scholar] [CrossRef]
  18. Zhang, F.; Li, Z.; Xu, M.; Wang, S.; Li, N.; Yang, J. A review of 3D printed porous ceramics. J. Eur. Ceram. Soc. 2022, 42, 3351–3373. [Google Scholar] [CrossRef]
  19. Ziaee, M.; Crane, N.B. Binder jetting: A review of process, materials, and methods. Addit. Manuf. 2019, 28, 781–801. [Google Scholar] [CrossRef]
  20. Sing, S.L.; Yeong, W.Y.; Wiria, F.E.; Tay, B.Y.; Zhao, Z.; Zhao, L.; Tian, Z.; Yang, S. Direct selective laser sintering and melting of ceramics: A review. Rapid Prototyp. J. 2017, 23, 611–623. [Google Scholar] [CrossRef]
  21. Wilkes, J.; Hagedorn, Y.-C.; Meiners, W.; Wissenbach, K. Additive manufacturing of ZrO2-Al2O3 ceramic components by selective laser melting. Rapid Prototyp. J. 2013, 19, 51–57. [Google Scholar] [CrossRef]
  22. Yap, C.Y.; Chua, C.K.; Dong, Z.L.; Liu, Z.H.; Zhang, D.Q.; Loh, L.E.; Sing, S.L. Review of selective laser melting: Materials and applications. Appl. Phys. Rev. 2015, 2, 041101. [Google Scholar] [CrossRef]
  23. Wu, X.; Teng, J.; Ji, X.; Xu, C.; Ma, D.; Sui, S.; Zhang, Z. Research progress of the defects and innovations of ceramic vat photopolymerization. Addit. Manuf. 2023, 65, 103441. [Google Scholar] [CrossRef]
  24. Dong, X.; Wu, J.; Yu, H.; Zhou, Q.; Wang, W.; Zhang, X.; Zhang, L.; Li, L.; He, R. Additive manufacturing of silicon nitride ceramics: A review of advances and perspectives. Int. J. Appl. Ceram. Technol. 2022, 19, 2929–2949. [Google Scholar] [CrossRef]
  25. Santoliquido, O.; Colombo, P.; Ortona, A. Additive manufacturing of ceramic components by digital light processing: A comparison between the “bottom-up” and the “top-down” approaches. J. Eur. Ceram. Soc. 2019, 39, 2140–2148. [Google Scholar] [CrossRef]
  26. Patil, R.S.; Thomas, J.; Patil, M.; John, J. To shed light on the UV curable coating technology: Current state of the art and per-spectives. J. Compos. Sci. 2023, 7, 513. [Google Scholar] [CrossRef]
  27. Zhai, X.; Chen, J.; Wang, Y.; Su, R.; Gao, X.; Zhang, X.; Jin, H.; He, R. Fabrication of Al2O3 ceramic cores with high porosity and high strength by vat photopolymerization 3D printing and sacrificial templating. Ceram. Int. 2023, 49, 32096–32103. [Google Scholar] [CrossRef]
  28. Li, S.; Wang, G.; Zhang, K.; Zhang, X.; Zhang, L.; Wang, W.; He, R. Mechanical properties of Al2O3 and Al2O3/Al interpenetrated functional gradient structures by 3D printing and melt infiltration. J. Alloys Compd. 2023, 950, 169948. [Google Scholar] [CrossRef]
  29. Zhang, X.; Meng, Q.; Zhang, K.; Zhu, R.; Qu, Z.; Li, Y.; He, R. 3D-printed bioinspired Al2O3/polyurea dual-phase architecture with high robustness, energy absorption, and cyclic life. Chem. Eng. J. 2023, 463, 142378. [Google Scholar] [CrossRef]
  30. Zhang, K.; Wang, K.; Chen, J.; Wei, K.; Liang, B.; He, R. Design and additive manufacturing of 3D-architected ceramic metamaterials with programmable thermal expansion. Addit. Manuf. 2021, 47, 102338. [Google Scholar] [CrossRef]
  31. Shan, Y.; Bai, Y.; Yang, S.; Zhou, Q.; Wang, G.; Zhu, B.; Zhou, Y.; Fang, W.; Wen, N.; He, R.; et al. 3D-printed strontium-incorporated β-TCP bioceramic triply periodic minimal surface scaffolds with simultaneous high porosity, enhanced strength, and excellent bioactivity. J. Adv. Ceram. 2023, 12, 1671–1684. [Google Scholar] [CrossRef]
  32. Liu, K.; Zhou, Q.; Zhang, X.; Ma, L.; Xu, B.; He, R. Morphologies, mechanical and in vitro behaviors of DLP-based 3D printed HA scaffolds with different structural configurations. RSC Adv. 2023, 13, 20830–20838. [Google Scholar] [CrossRef] [PubMed]
  33. Zhang, K.; He, R.; Xie, C.; Wang, G.; Ding, G.; Wang, M.; Song, W.; Fang, D. Photosensitive ZrO2 suspensions for stereolithography. Ceram. Int. 2019, 45, 12189–12195. [Google Scholar] [CrossRef]
  34. Zhang, K.; Xie, C.; Wang, G.; He, R.; Ding, G.; Wang, M.; Dai, D.; Fang, D. High solid loading, low viscosity photosensitive Al2O3 slurry for stereolithography based additive manufacturing. Ceram. Int. 2019, 45, 203–208. [Google Scholar] [CrossRef]
  35. Zhang, K.; He, R.; Ding, G.; Feng, C.; Song, W.; Fang, D. Digital light processing of 3Y-TZP strengthened ZrO2 ceramics. Mat. Sci. Eng. A 2020, 774, 138768. [Google Scholar] [CrossRef]
  36. Gu, Y.; Duan, W.; Wang, T.; Liu, X.; Li, S.; Liu, B.; Wang, G. Additive manufacturing of Al2O3 ceramic core with applicable microstructure and mechanical properties via digital light processing of high solid loading slurry. Ceram. Int. 2023, 49, 25216–25224. [Google Scholar] [CrossRef]
  37. Zhang, K.; He, R.; Ding, G.; Bai, X.; Fang, D. Effects of fine grains and sintering additives on stereolithography additive manufactured Al2O3 ceramic. Ceram. Int. 2021, 47, 2303–2310. [Google Scholar] [CrossRef]
  38. Wang, L.; Jiao, Y.; Yao, L.; Tang, W.; Dou, R. Effect of sintering temperature and low-temperature aging on microstructure and flexural strength of Fe2O3-doped 3Y-TZP ceramics fabricated by stereolithography-based additive manufacturing. Ceram. Int. 2023, 49, 37307–37315. [Google Scholar] [CrossRef]
  39. An, Q.; Chen, J.; Ming, W.; Chen, M. Machining of SiC ceramic matrix composites: A review. Chin. J. Aeronaut. 2021, 34, 540–567. [Google Scholar] [CrossRef]
  40. Katoh, Y.; Ozawa, K.; Shih, C.; Nozawa, T.; Shinavski, R.J.; Hasegawa, A.; Snead, L.L. Continuous SiC fiber, CVI SiC matrix composites for nuclear applications: Properties and irradiation effects. J. Nucl. Mater. 2014, 448, 448–476. [Google Scholar] [CrossRef]
  41. Han, C.; Babicheva, R.; Chua, J.D.Q.; Ramamurty, U.; Tor, S.B.; Sun, C.-N.; Zhou, K. Microstructure and mechanical properties of (TiB plus TiC)/Ti composites fabricated in situ via selective laser melting of Ti and B4C powders. Addit. Manuf. 2020, 36, 101466. [Google Scholar] [CrossRef]
  42. Tan, D.W.; Zhu, L.L.; Wei, W.X.; Yu, J.J.; Zhou, Y.Z.; Guo, W.M.; Lin, H.T. Performance improvement of Si3N4 ceramic cutting tools by tailoring of phase composition and microstructure. Ceram. Int. 2020, 46, 26182–26189. [Google Scholar] [CrossRef]
  43. Pan, D.; Yang, G.; Abo-Dief, H.M.; Dong, J.; Su, F.; Liu, C.; Li, Y.; Xu, B.; Murugadoss, V.; Naik, N.; et al. Vertically Aligned Silicon Carbide Nanowires/Boron Nitride Cellulose Aerogel Networks Enhanced Thermal Conductivity and Electromagnetic Absorbing of Epoxy Composites. Nano-Micro Lett. 2022, 14, 215–233. [Google Scholar] [CrossRef] [PubMed]
  44. Tian, Y.; Xu, B.; Yu, D.; Ma, Y.; Wang, Y.; Jiang, Y.; Hu, W.; Tang, C.; Gao, Y.; Luo, K.; et al. Ultrahard nanotwinned cubic boron nitride. Nature 2013, 493, 385–388. [Google Scholar] [CrossRef] [PubMed]
  45. Liu, L.; Wei, C.; Ou, W.; Meng, F.; Li, S.; Duan, X.; Chen, D.; Wang, H. Mechanical and plasma ablation properties of double-interface fibrous ZrB2-SiC ceramics for ultra-high-temperature application. J. Eur. Ceram. Soc. 2024, 44, 1898–1907. [Google Scholar] [CrossRef]
  46. Ranjan Mishra, A.; Singh, V.; Patel, M.; Mitra, R. 3D microstructure characterization of 2D Cf-ZrB2-SiC ultra-high temperature ceramic matrix composites using X-ray microscopy. Ceram. Int. 2024, 50, 4492–4501. [Google Scholar] [CrossRef]
  47. Zhang, R.; Guo, F.; Zhang, X.; Zhang, W.; Hu, L.; Liu, D.; Zhao, X.; Wang, X. ZrB2–SiC spiral fibers prepared by combining liquid rope effect with non-solvent-induced phase separation method: A promising toughening material for ultra-high temperature ceramics. J. Adv. Ceram. 2023, 12, 132–144. [Google Scholar] [CrossRef]
  48. Zhang, J.; Yu, K.B.; Wu, J.M.; Ye, C.S.; Zheng, W.; Liu, H.; Wen, S.F.; Yan, C.Z.; Shi, Y.S. Effects of ZrSiO4 content on properties of SiO2-based ceramics prepared by digital light processing. Ceram. Int. 2023, 49, 9584–9591. [Google Scholar] [CrossRef]
  49. Ding, G.; He, R.; Zhang, K.; Xie, C.; Wang, M.; Yang, Y.; Fang, D. Stereolithography-based additive manufacturing of gray-colored SiC ceramic green body. J. Am. Ceram. Soc. 2019, 102, 7198–7209. [Google Scholar] [CrossRef]
  50. Dong, X.; Wu, J.; Zhou, Q.; Wang, W.; Zhang, X.; Zhang, L.; He, R. Mechanical and dielectric properties of Si3N4-SiO2 ceramics prepared by digital light processing based 3D printing and oxidation sintering. Ceram. Int. 2023, 49, 29699–29708. [Google Scholar] [CrossRef]
  51. Zhang, K.; Meng, Q.; Zhang, X.; Qu, Z.; He, R. Quantitative characterization of defects in stereolithographic additive manufactured ceramic using X-ray computed tomography. J. Mater. Sci. Technol. 2022, 118, 144–157. [Google Scholar] [CrossRef]
  52. Bae, C.-J.; Halloran, J.W. Concentrated suspension-based additive manufacturing—Viscosity, packing density, and segregation. J. Eur. Ceram. Soc. 2019, 39, 4299–4306. [Google Scholar] [CrossRef]
  53. Fan, J.; Xu, X.; Niu, S.; Zhou, Y.; Li, X.; Guo, Y.; Luo, Y. Anisotropy management on microstructure and mechanical property in 3D printing of silica-based ceramic cores. J. Eur. Ceram. Soc. 2022, 42, 4388–4395. [Google Scholar] [CrossRef]
  54. He, X.; Wang, R.; Qi, S.; Cheng, J.; Ye, H.; Li, H.; Chen, S.; Jian, B.; Ge, Q. Vat photopolymerization 3D printing of polymer-derived SiOC ceramics with high precision and high strength. Addit. Manuf. 2023, 78, 103889. [Google Scholar] [CrossRef]
  55. Chen, J.; Wang, Y.; Pei, X.; Bao, C.; Huang, Z.; He, L.; Huang, Q. Preparation and stereolithography of SiC ceramic precursor with high photosensitivity and ceramic yield. Ceram. Int. 2020, 46, 13066–13072. [Google Scholar] [CrossRef]
  56. Liu, Y.; Zhan, L.; He, Y.; Zhang, J.; Hu, J.; Cheng, L.; Wu, Q.; Liu, S. Stereolithographical fabrication of dense Si3N4 ceramics by slurry optimization and pressure sintering. Ceram. Int. 2020, 46, 2063–2071. [Google Scholar] [CrossRef]
  57. Tang, J.; Guo, X.; Chang, H.; Hu, K.; Shen, Z.; Wang, W.; Liu, M.; Wei, Y.; Huang, Z.; Yang, Y. The preparation of SiC ceramic photosensitive slurry for rapid stereolithography. J. Eur. Ceram. Soc. 2021, 41, 7516–7524. [Google Scholar] [CrossRef]
  58. Komissarenko, D.A.; Sokolov, P.S.; Evstigneeva, A.D.; Shmeleva, I.A.; Dosovitsky, A.E. Rheological and curing behavior of acrylate-based suspensions for the DLP 3D printing of complex zirconia parts. Materials 2018, 11, 2350. [Google Scholar] [CrossRef] [PubMed]
  59. Li, K.; Zhao, Z. The effect of the surfactants on the formulation of UV-curable SLA alumina suspension. Ceram. Int. 2017, 43, 4761–4767. [Google Scholar] [CrossRef]
  60. Zhang, S.; Sha, N.; Zhao, Z. Surface modification of α-Al2O3 with dicarboxylic acids for the preparation of UV-curable ceramic suspensions. J. Eur. Ceram. Soc. 2017, 37, 1607–1616. [Google Scholar] [CrossRef]
  61. Lian, Q.; Yang, F.; Xin, H.; Li, D. Oxygen-controlled bottom-up mask-projection stereolithography for ceramic 3D printing. Ceram. Int. 2017, 43, 14956–14961. [Google Scholar] [CrossRef]
  62. Goodner, M.D.; Lee, H.R.; Bowman, C.N. Method for determining the kinetic parameters in diffusion-controlled free-radical homopolymerizations. Ind. Eng. Chem. Res. 1997, 36, 1247–1252. [Google Scholar] [CrossRef]
  63. Pan, X.; Lamson, M.; Yan, J.; Matyjaszewski, K. Photoinduced Metal-Free Atom Transfer Radical Polymerization of Acrylonitrile. ACS Macro Lett. 2015, 4, 192–196. [Google Scholar] [CrossRef] [PubMed]
  64. Mayerhoefer, T.G.; Pahlow, S.; Popp, J. The Bouguer-Beer-Lambert Law: Shining Light on the Obscure. Chemphyschem 2020, 21, 2029–2046. [Google Scholar] [CrossRef] [PubMed]
  65. Li, H.; Shi, X.; Liu, X.; Li, X. Synthesis of novel, visible-light driven S,N-doped NaTaO3 catalysts with high photocatalytic activity. Appl. Surf. Sci. 2020, 508, 145306. [Google Scholar] [CrossRef]
  66. Xu, X.G.; Ding, X.; Chen, Q.; Peng, L.M. Electronic, optical, and magnetic properties of Fe-intercalated H2Ti3O7 nanotubes: First-principles calculations and experiments. Phys. Rev. B 2006, 73, 5403. [Google Scholar] [CrossRef]
  67. Shi, Z.A.; Wu, J.M.; Fang, Z.Q.; Shi, Y.S. Influence of high-temperature oxidation of SiC powders on curing properties of SiC slurry for digital light processing. J. Adv. Ceram. 2023, 12, 169–181. [Google Scholar] [CrossRef]
  68. Liu, C.L.; Du, Q.; Zhou, H.; Chen, S.; Wu, J.M.; Zhang, G.; Shi, Y.S. 3D printing of lead zirconate titanate piezoelectric ceramics via digital light processing (DLP). Ceram. Int. 2023, 49, 28492–28499. [Google Scholar] [CrossRef]
  69. Dong, Y.; Dong, T.; Yang, Z.; Luo, A.; Hong, Z.; Lao, G.; Huang, H.; Fan, B. The influences of light scattering on digital light processing high-resolution ceramic additive manufacturing. Ceram. Int. 2024, 50, 9556–9562. [Google Scholar] [CrossRef]
  70. Griffith, M.L.; Halloran, J.W. Scattering of ultraviolet radiation in turbid suspensions. J. Appl. Phys. 1997, 81, 2538–2546. [Google Scholar] [CrossRef]
  71. Fan, X.; Zheng, W.; Singh, D.J. Light scattering and surface plasmons on small spherical particles. Light Sci. Appl. 2014, 3, e179. [Google Scholar] [CrossRef]
  72. Wang, L.; Hasanzadeh Kafshgari, M.; Meunier, M. Optical Properties and Applications of Plasmonic-Metal Nanoparticles. Adv. Funct. Mater. 2020, 30, 2005400. [Google Scholar] [CrossRef]
  73. Zheng, T.; Wang, W.; Sun, J.; Liu, J.; Bai, J. Development and evaluation of Al2O3-ZrO2 composite processed by digital light 3D printing. Ceram. Int. 2020, 46, 8682–8688. [Google Scholar] [CrossRef]
  74. He, R.; Ding, G.; Zhang, K.; Li, Y.; Fang, D. Fabrication of SiC ceramic architectures using stereolithography combined with precursor infiltration and pyrolysis. Ceram. Int. 2019, 45, 14006–14014. [Google Scholar] [CrossRef]
  75. Chen, Z.; Li, J.; Liu, C.; Liu, Y.; Zhu, J.; Lao, C. Preparation of high solid loading and low viscosity ceramic slurries for photopolymerization-based 3D printing. Ceram. Int. 2019, 45, 11549–11557. [Google Scholar] [CrossRef]
  76. Xu, X.; Zhou, S.; Wu, J.; Liu, Y.; Wang, Y.; Chen, Z. Relationship between the adhesion properties of UV-curable alumina suspensions and the functionalities and structures of UV-curable acrylate monomers for DLP-based ceramic stereolithography. Ceram. Int. 2021, 47, 32699–32709. [Google Scholar] [CrossRef]
  77. Zhang, K.; Meng, Q.; Zhang, X.; Qu, Z.; Jing, S.; He, R. Roles of solid loading in stereolithography additive manufacturing of ZrO2 ceramic. Int. J. Refract. Met. Hard Mater. 2021, 99, 105604. [Google Scholar] [CrossRef]
  78. Dufaud, O.; Corbel, S. Oxygen diffusion in ceramic suspensions for stereolithography. Chem. Eng. J. 2003, 92, 55–62. [Google Scholar] [CrossRef]
  79. Wang, K.; Liu, R.; Bao, C. SiC paste with high curing thickness for stereolithography. Ceram. Int. 2022, 48, 28692–28703. [Google Scholar] [CrossRef]
  80. Sun, J.; Binner, J.; Bai, J. Effect of surface treatment on the dispersion of nano zirconia particles in non-aqueous suspensions for stereolithography. J. Eur. Ceram. Soc. 2019, 39, 1660–1667. [Google Scholar] [CrossRef]
  81. Hu, C.; Chen, Y.; Yang, T.; Liu, H.; Huang, X.; Huo, Y.; Jia, Z.; Wang, H.; Hu, L.; Sun, H.; et al. Effect of SiC powder on the properties of SiC slurry for stereolithography. Ceram. Int. 2021, 47, 12442–12449. [Google Scholar] [CrossRef]
  82. Bürger, R.; Wendland, W.L. Sedimentation and suspension flows: Historical perspective and some recent developments. J. Eng. Math. 2001, 41, 101–116. [Google Scholar] [CrossRef]
  83. Diptanshu; Miao, G.; Ma, C. Vat photopolymerization 3D printing of ceramics: Effects of fine powder. Manuf. Lett. 2019, 21, 20–23. [Google Scholar] [CrossRef]
  84. Lewis, J.A. Colloidal processing of ceramics. J. Am. Ceram. Soc. 2000, 83, 2341–2359. [Google Scholar] [CrossRef]
  85. Chartier, T.; Badev, A.; Abouliatim, Y.; Lebaudy, P.; Lecamp, L. Stereolithography process: Influence of the rheology of silica suspensions and of the medium on polymerization kinetics—Cured depth and width. J. Eur. Ceram. Soc. 2012, 32, 1625–1634. [Google Scholar] [CrossRef]
  86. Tang, W.; Zhao, T.; Dou, R.; Wang, L. Fabrication of high-strength Si/SiC composites with low shrinkage rates via vat photopolymerization technology and liquid silicon infiltration. Addit. Manuf. 2022, 59, 103168. [Google Scholar] [CrossRef]
  87. Xiao, P.; Zhang, J.; Dumur, F.; Tehfe, M.A.; Morlet-Savary, F.; Graff, B.; Gigmes, D.; Fouassier, J.P.; Lalevee, J. Visible light sensitive photoinitiating systems: Recent progress in cationic and radical photopolymerization reactions under soft conditions. Prog. Polym. Sci. 2015, 41, 32–66. [Google Scholar] [CrossRef]
  88. Wang, Z.; Abdulla, R.; Parker, B.; Samanipour, R.; Ghosh, S.; Kim, K. A simple and high-resolution stereolithography-based 3D bioprinting system using visible light crosslinkable bioinks. Biofabrication 2015, 7, 045009. [Google Scholar] [CrossRef] [PubMed]
  89. Ge, Q.; Chen, Z.; Cheng, J.; Zhang, B.; Zhang, Y.-F.; Li, H.; He, X.; Yuan, C.; Liu, J.; Magdassi, S.; et al. 3D printing of highly stretchable hydrogel with diverse UV curable polymers. Sci. Adv. 2021, 7, eaba4261. [Google Scholar] [CrossRef]
  90. Xing, H.; Zou, B.; Lai, Q.; Huang, C.; Chen, Q.; Fu, X.; Shi, Z. Preparation and characterization of UV curable Al2O3 suspensions applying for stereolithography 3D printing ceramic microcomponent. Powder Technol. 2018, 338, 153–161. [Google Scholar] [CrossRef]
  91. Jong, K.J.; Kong, J.H.; Fisher, J.G.; Park, S.W. Effect of the volume fraction of zirconia suspensions on the microstructure and physical properties of products produced by additive manufacturing. Dent. Mater. 2019, 35, E97–E106. [Google Scholar] [CrossRef]
  92. Tomeckova, V.; Halloran, J.W. Flow behavior of polymerizable ceramic suspensions as function of ceramic volume fraction and temperature. J. Eur. Ceram. Soc. 2011, 31, 2535–2542. [Google Scholar] [CrossRef]
  93. Chen, Z.; Liu, C.; Li, J.; Zhu, J.; Liu, Y.; Lao, C.; Feng, J.; Jiang, M.; Liu, C.; Wang, P.; et al. Mechanical properties and microstructures of 3D printed bulk cordierite parts. Ceram. Int. 2019, 45, 19257–19267. [Google Scholar] [CrossRef]
  94. Wang, W.; Sun, J.; Guo, B.; Chen, X.; Ananth, K.P.; Bai, J. Fabrication of piezoelectric nano-ceramics via stereolithography of low viscous and non-aqueous suspensions. J. Eur. Ceram. Soc. 2020, 40, 682–688. [Google Scholar] [CrossRef]
  95. Wozniak, M.; de Hazan, Y.; Graule, T.; Kata, D. Rheology of UV curable colloidal silica dispersions for rapid prototyping applications. J. Eur. Ceram. Soc. 2011, 31, 2221–2229. [Google Scholar] [CrossRef]
  96. Johansson, E.; Lidstrom, O.; Johansson, J.; Lyckfeldt, O.; Adolfsson, E. Influence of Resin Composition on the Defect Formation in Alumina Manufactured by Stereolithography. Materials 2017, 10, 138. [Google Scholar] [CrossRef] [PubMed]
  97. Wang, Z.; Huang, C.; Wang, J.; Zou, B. Development of a novel aqueous hydroxyapatite suspension for stereolithography applied to bone tissue engineering. Ceram. Int. 2019, 45, 3902–3909. [Google Scholar] [CrossRef]
  98. Xing, Z.; Liu, W.; Chen, Y.; Li, W. Effect of plasticizer on the fabrication and properties of alumina ceramic by stereolithography-based additive manufacturing. Ceram. Int. 2018, 44, 19939–19944. [Google Scholar] [CrossRef]
  99. Chen, R.; Duan, W.; Wang, G.; Liu, B.; Zhao, Y.; Li, S. Preparation of broadband transparent Si3N4-SiO2 ceramics by digital light processing (DLP) 3D printing technology. J. Eur. Ceram. Soc. 2021, 41, 5495–5504. [Google Scholar] [CrossRef]
  100. Cao, J.; Miao, K.; Xiong, S.; Su, F.; Gao, D.; Lin, X.; Liu, Z.; Wang, P.; Liu, C.; Chen, Z. 3D printing and in situ transformation of SiCnw/SiC structures. Addit. Manuf. 2022, 58, 103053. [Google Scholar] [CrossRef]
  101. Huang, R.J.; Jiang, Q.G.; Wu, H.D.; Li, Y.H.; Liu, W.Y.; Lu, X.X.; Wu, S.H. Fabrication of complex shaped ceramic parts with surface-oxidized Si3N4 powder via digital light processing based stereolithography method. Ceram. Int. 2019, 45, 5158–5162. [Google Scholar] [CrossRef]
  102. Zhang, Y.; Li, S.; Zhao, Y.; Duan, W.; Liu, B.; Wang, T.; Wang, G. Digital light processing 3D printing of AlSi10Mg powder modified by surface coating. Addit. Manuf. 2021, 39, 101897. [Google Scholar] [CrossRef]
  103. De Camargo, I.L.; Morais, M.M.; Fortulan, C.A.; Branciforti, M.C. A review on the rheological behavior and formulations of ceramic suspensions for vat photopolymerization. Ceram. Int. 2021, 47, 11906–11921. [Google Scholar] [CrossRef]
  104. Monzon, M.; Ortega, Z.; Hernandez, A.; Paz, R.; Ortega, F. Anisotropy of Photopolymer Parts Made by Digital Light Processing. Materials 2017, 10, 64. [Google Scholar] [CrossRef] [PubMed]
  105. Yang, Y.; Li, L.; Zhao, J. Mechanical property modeling of photosensitive liquid resin in stereolithography additive manufacturing: Bridging degree of cure with tensile strength and hardness. Mater. Des. 2019, 162, 418–428. [Google Scholar] [CrossRef]
  106. Ding, G.; He, R.; Zhang, K.; Xia, M.; Feng, C.; Fang, D. Dispersion and stability of SiC ceramic slurry for stereolithography. Ceram. Int. 2020, 46, 4720–4729. [Google Scholar] [CrossRef]
  107. Gaylan, Y.; Avar, B.; Panigrahi, M.; Aygun, B.; Karabulut, A. Effect of the B4C content on microstructure, microhardness, corrosion, and neutron shielding properties of Al-B4C composites. Ceram. Int. 2023, 49, 5479–5488. [Google Scholar] [CrossRef]
  108. Ha, W.; Kim, G.; Jung, Y.; Ahn, S. Experimental emulation of 10B(n, α)7Li reaction-induced microstructural evolution of Al-B4C neutron absorber used in the dry storage of spent nuclear fuel. J. Nucl. Mater. 2024, 593, 154977. [Google Scholar] [CrossRef]
  109. Wang, J.; Ren, D.; Chen, L.; Man, G.; Zhang, H.; Zhang, H.; Luo, L.; Li, W.; Pan, Y.; Gao, P.; et al. Initial investigation of B4C-TiB2 composites as neutron absorption material for nuclear reactors. J. Nucl. Mater. 2020, 539, 152275. [Google Scholar] [CrossRef]
  110. Liu, Y.; Sha, J.; Su, C.; Dai, J.; Zu, Y. Phase composition, densification behavior and high-temperature strength of carbon-doped ZrB2-ZrSi2 ceramics. Ceram. Int. 2023, 49, 39083–39089. [Google Scholar] [CrossRef]
  111. Wei, Z.; Li, H.; Chen, G.; Zu, Y.; Fu, X.; Zhou, W. Effect of HfSi2-induced intergranular liquid phase on densification behavior of ZrB2. Int. J. Appl. Ceram. Tec. 2023, 20, 2249–2260. [Google Scholar] [CrossRef]
  112. Zhao, L.; Hou, C.; Jin, X.; Li, P.; Wang, Z.; Fan, X. Oxidation Behaviors of ZrB2-SiC Ceramics with Different Porosity. J. Mater. Sci. 2023, 25, 2201313. [Google Scholar] [CrossRef]
  113. Zhao, T.; Yu, R.; Li, X.; Zhang, Y.; Yang, X.; Zhao, X.; Huang, W. A comparative study on 3D printed silicone-epoxy/acrylate hybrid polymers via pure photopolymerization and dual-curing mechanisms. Addit. Manuf. 2019, 54, 5101–5111. [Google Scholar] [CrossRef]
  114. Rau, D.A.; Bryant, J.S.; Reynolds, J.P.; Bortner, M.J.; Williams, C.B. A dual-cure approach for the ultraviolet-assisted material extrusion of highly loaded opaque suspensions. Addit. Manuf. 2023, 72, 103616. [Google Scholar] [CrossRef]
  115. Ma, Q.; Zhang, Y.; Launay, V.; Le Dot, M.; Liu, S.; Lalevée, J. How to overcome the light penetration issue in photopolymerization? An example for the preparation of high content iron-containing opaque composites and application in 3D printing. Eur. Polym. J. 2022, 165, 111011. [Google Scholar] [CrossRef]
  116. Lin, J.T.; Lee, Y.Z.; Lalevee, J.; Kao, C.H.; Lin, K.H.; Cheng, D.C. Modeling the Enhanced Efficacy and Curing Depth of Photo-Thermal Dual Polymerization in Metal (Fe) Polymer Composites for 3D Printing. Polymers 2022, 14, 1158. [Google Scholar] [CrossRef] [PubMed]
  117. Westbeek, S.; van Dommelen, J.A.W.; Remmers, J.J.C.; Geers, M.G.D. Influence of particle shape in the additive manufacturing process for ceramics. Comput. Math. Appl. 2019, 78, 2360–2376. [Google Scholar] [CrossRef]
  118. Westbeek, S.; van Dommelen, J.A.W.; Remmers, J.J.C.; Geers, M.G.D. Multiphysical modeling of the photopolymerization process for additive manufacturing of ceramics. Eur. J. Mech. A Solid. 2018, 71, 210–223. [Google Scholar] [CrossRef]
Disclaimer/Publisher’s Note: The statements, opinions and data contained in all publications are solely those of the individual author(s) and contributor(s) and not of MDPI and/or the editor(s). MDPI and/or the editor(s) disclaim responsibility for any injury to people or property resulting from any ideas, methods, instructions or products referred to in the content.

Article Metrics

Citations

Article Access Statistics

Multiple requests from the same IP address are counted as one view.