Effects of Seawater on Mechanical Performance of Composite Sandwich Structures: A Machine Learning Framework
Abstract
1. Introduction
2. Materials, Experiment, and Methodology
2.1. Materials and Specimens
2.2. Sea Water Exposure and Moisture Absorption
2.3. Quasi-Static Indentation Tests
2.4. Acoustic Emission
2.5. ML Approach
2.5.1. Feature Scaling
2.5.2. Feature Selection
2.5.3. Data Clustering
2.5.4. Classification Algorithm Selection
2.5.5. Hyperparameter Tuning and Model Training
2.5.6. Model Evaluation
3. Results and Discussion
3.1. Moisture Uptake
3.2. Quasi-Static Out-of-Plane Behaviour
3.2.1. Failure Load
3.2.2. Energy Absorption Capability
3.3. AE Results
3.4. ML Setup
3.5. Feature Analysis
3.5.1. Hyperparameter Tunning Results
3.5.2. Identification of Damage Sequence
4. Conclusions
- The decline in the load-bearing capacity for all samples after the seawater exposure was attributed to several factors. Samples loaded with the conical indenter experienced the highest decrease in the maximum load, with reductions of 48.9%, 51.5%, and 34.1% for GSP, GSV, and GSH specimens, respectively. For indentation cases with a higher contact area, the GSV samples were notably impacted by seawater exposure, with reductions of 38.8% and 46.1%, while the GSH samples showed a slightly better performance, decreasing by 32.1% (compared to 35.4% for GSP) under the hemispherical indenter and exhibiting a negligible difference under the flat indenter.
- In terms of energy absorption, a similar trend was observed, with this parameter demonstrating the largest decrease for the samples loaded with the conical indenter—66.9%, 65.2%, and 41.4% (respectively, for GSP, GSV, and GSH) after seawater exposure. This could be attributed to the easier penetration of the sharp (conical) indenter and accelerated degradation due to seawater ageing. Furthermore, the energy performance of specimens subjected to hemispherical and flat indenters varied in a way similar to the failure load trend.
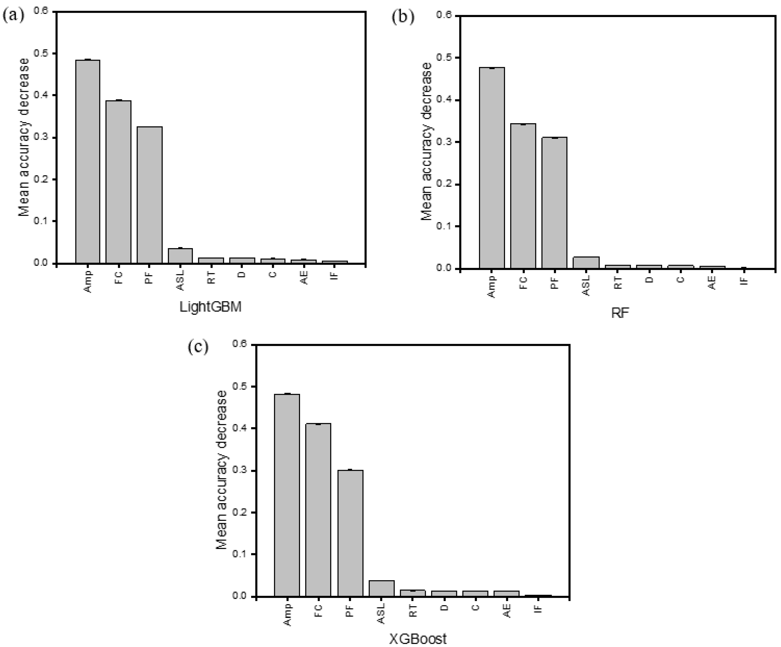
- The AE amplitude, frequency centroid, and peak frequency were the major signals contributing to the accuracy of the predictive ML models for all samples, with the FC being dominant. The MAD values for GSPC, GSVC, and GSHC decreased the mean accuracy after the removal of the AE amplitude by 42%, 52%, and 69%, respectively, with LightGBM models. The FC was the most important feature, contributing 45–70% to predictive power in LightGBM and XGBoost models. For the hemispherical indenter, the PF contributed significantly (30–50% MAD). The models showed high performances (86.4–95.9%) in distinguishing between the unexposed (control) specimens and the exposed ones. The lowest correct classification rates were observed for samples loaded with the conical indenter.
Author Contributions
Funding
Institutional Review Board Statement
Informed Consent Statement
Data Availability Statement
Conflicts of Interest
References
- Altin Karataş, M.; Gökkaya, H. A Review on Machinability of Carbon Fiber Reinforced Polymer (CFRP) and Glass Fiber Reinforced Polymer (GFRP) Composite Materials. Def. Technol. 2018, 14, 318–326. [Google Scholar] [CrossRef]
- Mouritz, A.P.; Gellert, E.; Burchill, P.; Challis, K. Review of Advanced Composite Structures for Naval Ships and Submarines. Compos. Struct. 2001, 53, 21–41. [Google Scholar] [CrossRef]
- Manalo, A.C.; Aravinthan, T.; Karunasena, W.; Islam, M.M. Flexural Behaviour of Structural Fibre Composite Sandwich Beams in Flatwise and Edgewise Positions. Compos. Struct. 2010, 92, 984–995. [Google Scholar] [CrossRef]
- Langdon, G.S.; von Klemperer, C.J.; Rowland, B.K.; Nurick, G.N. The Response of Sandwich Structures with Composite Face Sheets and Polymer Foam Cores to Air-Blast Loading: Preliminary Experiments. Eng. Struct. 2012, 36, 104–112. [Google Scholar] [CrossRef]
- Siriruk, A.; Jack Weitsman, Y.; Penumadu, D. Polymeric Foams and Sandwich Composites: Material Properties, Environmental Effects, and Shear-Lag Modeling. Compos. Sci. Technol. 2009, 69, 814–820. [Google Scholar] [CrossRef]
- Osa-uwagboe, N.; Silberschimdt, V.V.; Aremi, A.; Demirci, E. Mechanical Behaviour of Fabric-Reinforced Plastic Sandwich Structures: A State-of-the-Art Review. J. Sandw. Struct. Mater. 2023, 23, 109963622311704. [Google Scholar] [CrossRef]
- Bakalarz, M.M.; Kossakowski, P.G. Numerical, Theoretical, and Experimental Analysis of LVL-CFRP Sandwich Structure. Materials 2023, 17, 61. [Google Scholar] [CrossRef] [PubMed]
- Studzinski, R.; Pozorski, Z.; Garstecki, A. Sensitivity Analysis of Sandwich Beams and Plates Accounting for Variable Support Conditions. Bull. Pol. Acad. Sci. Tech. Sci. 2013, 61, 201–210. [Google Scholar] [CrossRef]
- Prasad, S.; Carlsson, L.A. Debonding and Crack Kinking in Foam Core Sandwich Beams-II. Experimental Investigation. Eng. Fract. Mech. 1994, 47, 825–841. [Google Scholar] [CrossRef]
- Gargano, A.; Galos, J.; Mouritz, A.P. Importance of Fibre Sizing on the Seawater Durability of Carbon Fibre Laminates. Compos. Commun. 2020, 19, 11–15. [Google Scholar] [CrossRef]
- Idrisi, A.H.; Mourad, A.H.I.; Abdel-Magid, B.M.; Shivamurty, B. Investigation on the Durability of E-Glass/Epoxy Composite Exposed to Seawater at Elevated Temperature. Polymers 2021, 13, 2182. [Google Scholar] [CrossRef] [PubMed]
- Barreira-Pinto, R.; Carneiro, R.; Miranda, M.; Guedes, R.M. Polymer-Matrix Composites: Characterising the Impact of Environmental Factors on Their Lifetime. Materials 2023, 16, 3913. [Google Scholar] [CrossRef] [PubMed]
- El-Hassan, H.; El-Maaddawy, T.; Al-Sallamin, A.; Al-Saidy, A. Performance Evaluation and Microstructural Characterization of GFRP Bars in Seawater-Contaminated Concrete. Constr. Build. Mater. 2017, 147, 66–78. [Google Scholar] [CrossRef]
- Ghabezi, P.; Harrison, N.M. Hygrothermal Deterioration in Carbon/Epoxy and Glass/Epoxy Composite Laminates Aged in Marine-Based Environment (Degradation Mechanism, Mechanical and Physicochemical Properties). J. Mater. Sci. 2022, 57, 4239–4254. [Google Scholar] [CrossRef]
- Pandiyan, V.; Wróbel, R.; Leinenbach, C.; Shevchik, S. Optimizing In-Situ Monitoring for Laser Powder Bed Fusion Process: Deciphering Acoustic Emission and Sensor Sensitivity with Explainable Machine Learning. J. Mater. Process Technol. 2023, 321, 118144. [Google Scholar] [CrossRef]
- Li, S.; Chen, B.; Tan, C.; Song, X. In Situ Identification of Laser Directed Energy Deposition Condition Based on Acoustic Emission. Opt. Laser Technol. 2024, 169, 110152. [Google Scholar] [CrossRef]
- Pal, A.; Kundu, T.; Datta, A.K. Assessing the Influence of Welded Joint on Health Monitoring of Rail Sections: An Experimental Study Employing SVM and ANN Models. J. Nondestr. Eval. 2023, 42, 102. [Google Scholar] [CrossRef]
- Garbowski, T.; Cornaggia, A.; Zaborowicz, M.; Sowa, S. Computer-Aided Structural Diagnosis of Bridges Using Combinations of Static and Dynamic Tests: A Preliminary Investigation. Materials 2023, 16, 7512. [Google Scholar] [CrossRef] [PubMed]
- Monaco, E.; Rautela, M.; Gopalakrishnan, S.; Ricci, F. Machine Learning Algorithms for Delaminations Detection on Composites Panels by Wave Propagation Signals Analysis: Review, Experiences and Results. Progress Aerosp. Sci. 2024, 146, 100994. [Google Scholar] [CrossRef]
- Perfetto, D.; Rezazadeh, N.; Aversano, A.; De Luca, A.; Lamanna, G. Composite Panel Damage Classification Based on Guided Waves and Machine Learning: An Experimental Approach. Appl. Sci. 2023, 13, 10017. [Google Scholar] [CrossRef]
- Almeida, R.S.M.; Magalhães, M.D.; Karim, M.N.; Tushtev, K.; Rezwan, K. Identifying Damage Mechanisms of Composites by Acoustic Emission and Supervised Machine Learning. Mater. Des. 2023, 227, 111745. [Google Scholar] [CrossRef]
- Lee, I.Y.; Roh, H.D.; Park, H.W.; Park, Y. Bin Advanced Non-Destructive Evaluation of Impact Damage Growth in Carbon-Fiber-Reinforced Plastic by Electromechanical Analysis and Machine Learning Clustering. Compos. Sci. Technol. 2022, 218, 109094. [Google Scholar] [CrossRef]
- Barile, C.; Pappalettera, G.; Paramsamy Kannan, V.; Casavola, C. A Neural Network Framework for Validating Information–Theoretics Parameters in the Applications of Acoustic Emission Technique for Mechanical Characterization of Materials. Materials 2023, 16, 300. [Google Scholar] [CrossRef]
- Guo, F.; Li, W.; Jiang, P.; Chen, F.; Yang, C. Deep Learning for Time Series-Based Acoustic Emission Damage Classification in Composite Materials. Russ. J. Nondestruct. Test. 2023, 59, 665–676. [Google Scholar] [CrossRef]
- ASTM D6264/D6264M-17; Standard Test Method for Measuring the Damage Resistance of a Fiber-Reinforced Polymer-Matrix Composite to a Concentrated Quasi-Static Indentation Force. ASTM International: West Conshohocken, PA, USA, 2018; Volume 98, pp. 1–12. [CrossRef]
- Dai, L.; Wu, X.; Zhou, M.; Ahmad, W.; Ali, M.; Sabri, M.M.S.; Salmi, A.; Ewais, D.Y.Z. Using Machine Learning Algorithms to Estimate the Compressive Property of High Strength Fiber Reinforced Concrete. Materials 2022, 15, 4450. [Google Scholar] [CrossRef]
- Jefferson Andrew, J.; Arumugam, V.; Ramesh, C.; Poorani, S.; Santulli, C. Quasi-Static Indentation Properties of Damaged Glass/Epoxy Composite Laminates Repaired by the Application of Intra-Ply Hybrid Patches. Polym. Test. 2017, 61, 132–145. [Google Scholar] [CrossRef]
- Oh, H.T.; Won, J.I.; Woo, S.C.; Kim, T.W. Determination of Impact Damage in Cfrp via Pvdf Signal Analysis with Support Vector Machine. Materials 2020, 13, 5207. [Google Scholar] [CrossRef] [PubMed]
- Geren, N.; Acer, D.C.; Uzay, C.; Bayramoglu, M. The Effect of Boron Carbide Additive on the Low-Velocity Impact Properties of Low-Density Foam Core Composite Sandwich Structures. Polym. Compos. 2021, 42, 2037–2049. [Google Scholar] [CrossRef]
- Osa-uwagboe, N.; Udu, A.G.; Silberschmidt, V.V.; Baxevanakis, K.P.; Demirci, E. Damage Assessment of Glass-Fibre-Reinforced Plastic Structures under Quasi-Static Indentation with Acoustic Emission. Materials 2023, 16, 5036. [Google Scholar] [CrossRef]
- ASTM B117-19; ASTM International Standard Practice for Modified Salt Spray (Fog) Testing 1. ASTM International: West Conshohocken, PA, USA, 2019. [CrossRef]
- Udu, A.G.; Lecchini-Visintini, A.; Dong, H. Feature Selection for Aero-Engine Fault Detection; Springer Nature: Cham, Switzerland, 2023; Volume 3, ISBN 9783031398476. [Google Scholar] [CrossRef]
- Li, J.; Cheng, K.; Wang, S.; Morstatter, F.; Trevino, R.P.; Tang, J.; Liu, H. Feature Selection: A Data Perspective. ACM Comput. Surv. 2017, 50, 1–45. [Google Scholar] [CrossRef]
- Pedregosa, F.; Varoquaux, G.; Gramfort, A.; Michel, V.; Thirion, B.; Grisel, O.; Blondel, M.; Prettenhofer, P.; Weiss, R.; Dubourg, V.; et al. Scikit-Learn: Machine Learning in Python. J. Mach. Learn. Res. 2011, 127, 2825–2830. [Google Scholar] [CrossRef]
- Sinaga, K.P.; Yang, M.S. Unsupervised K-Means Clustering Algorithm. IEEE Access 2020, 8, 80716–80727. [Google Scholar] [CrossRef]
- Yoder, J.; Priebe, C.E. Semi-Supervised k-Means++. J. Stat. Comput. Simul. 2017, 87, 2597–2608. [Google Scholar] [CrossRef]
- Sagi, O.; Rokach, L. Ensemble Learning: A Survey. Wiley Interdiscip. Rev. Data Min. Knowl. Discov. 2018, 8, e1249. [Google Scholar] [CrossRef]
- Khan, A.A.; Chaudhari, O.; Chandra, R. A Review of Ensemble Learning and Data Augmentation Models for Class Imbalanced Problems: Combination, Implementation and Evaluation. Expert. Syst. Appl. 2024, 244, 122778. [Google Scholar] [CrossRef]
- Udu, A.G.; Lecchini-Visintini, M.; Ghalati, M.; Dong, H. Addressing Class Imbalance in Aero Engine Fault Detection. In Proceedings of the 22nd IEEE International Conference Machine Learning and Applications ICMLA, Jacksonville, FL, USA, 15–17 December 2023. [Google Scholar] [CrossRef]
- Bischl, B.; Binder, M.; Lang, M.; Pielok, T.; Richter, J.; Coors, S.; Thomas, J.; Ullmann, T.; Becker, M.; Boulesteix, A.L.; et al. Hyperparameter Optimization: Foundations, Algorithms, Best Practices, and Open Challenges. Wiley Interdiscip. Rev. Data Min. Knowl. Discov. 2023, 13, e1484. [Google Scholar] [CrossRef]
- Xie, Q.; Suvarna, M.; Li, J.; Zhu, X.; Cai, J.; Wang, X. Online Prediction of Mechanical Properties of Hot Rolled Steel Plate Using Machine Learning. Mater. Des. 2021, 197, 109201. [Google Scholar] [CrossRef]
- Rezazadeh, N.; de Oliveira, M.; Perfetto, D.; De Luca, A.; Caputo, F. Classification of Unbalanced and Bowed Rotors under Uncertainty Using Wavelet Time Scattering, LSTM, and SVM. Appl. Sci. 2023, 13, 6861. [Google Scholar] [CrossRef]
- De Diego, I.M.; Redondo, A.R.; Fernández, R.R.; Navarro, J.; Moguerza, J.M. General Performance Score for Classification Problems. Appl. Intell. 2022, 52, 12049–12063. [Google Scholar] [CrossRef]
- Guo, F.; Li, W.; Jiang, P.; Chen, F.; Liu, Y. Deep Learning Approach for Damage Classification Based on Acoustic Emission Data in Composite Materials. Materials 2022, 15, 4270. [Google Scholar] [CrossRef]
- Udu, A.G.; Osa-uwagboe, N.; Olusanmi, A.; Aremu, A.; Khaksar, M.; Dong, H. A Machine Learning Approach to Characterise Fabrication Porosity Effects on the Mechanical Properties of Additively Manufactured Thermoplastic Composites. J. Reinf. Plast. Compos. 2024. online first. [Google Scholar] [CrossRef]
- Osa-uwagboe, N.; Udu, A.G.; Ghalati, M.K.; Silberschmidt, V.V.; Aremu, A.; Dong, H.; Demirci, E. A Machine Learning-Enabled Prediction of Damage Properties for Fiber-Reinforced Polymer Composites under out-of-Plane Loading. Eng. Struct. 2024, 308, 117970. [Google Scholar] [CrossRef]

















| Material | Young’s Modulus (GPa) | Shear Modulus (GPa) | Tensile Strength (MPa) | Poisson Ratio | Density (g/cm3) |
|---|---|---|---|---|---|
| E | G12 | ||||
| E-glass fabric | 72.39 | 8.27 | 3100–3800 | 0.26 | 2.25 |
| PVC foam | 0.075 | 0.028 | 1.89 | - | 0.075 |
| Epoxy matrix | 3.2–3.5 | - | 70–80 | 0.29 | 1.16 |
| Designation | Description |
|---|---|
| GSPC | Glass sandwich with pure core/conical indenter |
| GSVC | Glass sandwich with vertical adhesive layered core/conical indenter |
| GSHC | Glass sandwich with horizontal adhesive layered core/conical indenter |
| GSPH | Glass sandwich with pure core/hemispherical indenter |
| GSVH | Glass sandwich with vertical adhesive layered core/hemispherical indenter |
| GSPS | Glass sandwich with pure core/flat indenter |
| GSVS | Glass sandwich with vertical adhesive layered core/flat indenter |
| GSHS | Glass sandwich with horizontal adhesive layered core/flat indenter |
| Sample | Model | AE Features | ||||||||
|---|---|---|---|---|---|---|---|---|---|---|
| Amp | FC | PF | ASL | RT | D | C | AE | IF | ||
| GSPC | LightGBM | 0.42 | 0.07 | 0.00 | 0.06 | 0.00 | 0.01 | 0.02 | 0.03 | 0.01 |
| RF | 0.35 | 0.41 | 0.50 | 0.06 | 0.01 | 0.01 | 0.01 | 0.01 | 0.02 | |
| XGBoost | 0.37 | 0.67 | 0.00 | 0.03 | 0.04 | 0.03 | 0.02 | 0.01 | 0.01 | |
| GSPH | LightGBM | 0.43 | 0.46 | 0.45 | 0.10 | 0.01 | 0.05 | 0.06 | 0.07 | 0.01 |
| RF | 0.46 | 0.41 | 0.50 | 0.06 | 0.01 | 0.01 | 0.02 | 0.01 | 0.01 | |
| XGBoost | 0.49 | 0.43 | 0.51 | 0.08 | 0.01 | 0.02 | 0.02 | 0.03 | 0.01 | |
| GSPS | LightGBM | 0.42 | 0.70 | 0.00 | 0.06 | 0.00 | 0.02 | 0.02 | 0.03 | 0.01 |
| RF | 0.42 | 0.35 | 0.38 | 0.03 | 0.00 | 0.00 | 0.01 | 0.00 | 0.01 | |
| XGBoost | 0.43 | 0.70 | 0.00 | 0.05 | 0.00 | 0.02 | 0.02 | 0.04 | 0.01 | |
| GSVC | LightGBM | 0.43 | 0.59 | 0.00 | 0.16 | 0.04 | 0.03 | 0.04 | 0.02 | 0.04 |
| RF | 0.40 | 0.30 | 0.26 | 0.13 | 0.02 | 0.02 | 0.03 | 0.00 | 0.03 | |
| XGBoost | 0.43 | 0.59 | 0.00 | 0.16 | 0.04 | 0.04 | 0.04 | 0.03 | 0.04 | |
| GSVH | LightGBM | 0.48 | 0.39 | 0.33 | 0.04 | 0.01 | 0.01 | 0.01 | 0.01 | 0.01 |
| RF | 0.48 | 0.34 | 0.31 | 0.03 | 0.01 | 0.01 | 0.01 | 0.00 | 0.00 | |
| XGBoost | 0.49 | 0.43 | 0.51 | 0.08 | 0.01 | 0.02 | 0.02 | 0.03 | 0.01 | |
| GSVS | LightGBM | 0.44 | 0.70 | 0.00 | 0.03 | 0.00 | 0.02 | 0.05 | 0.03 | 0.01 |
| RF | 0.43 | 0.31 | 0.37 | 0.05 | 0.00 | 0.02 | 0.03 | 0.00 | 0.00 | |
| XGBoost | 0.43 | 0.70 | 0.00 | 0.07 | 0.00 | 0.03 | 0.05 | 0.03 | 0.00 | |
| GSHC | LightGBM | 0.46 | 0.69 | 0.00 | 0.01 | 0.01 | 0.03 | 0.02 | 0.03 | 0.00 |
| RF | 0.41 | 0.36 | 0.28 | 0.01 | 0.01 | 0.02 | 0.01 | 0.02 | 0.01 | |
| XGBoost | 0.46 | 0.69 | 0.00 | 0.01 | 0.01 | 0.03 | 0.02 | 0.03 | 0.01 | |
| GSHH | LightGBM | 0.36 | 0.47 | 0.31 | 0.05 | 0.01 | 0.01 | 0.02 | 0.01 | 0.01 |
| RF | 0.38 | 0.46 | 0.22 | 0.03 | 0.01 | 0.01 | 0.01 | 0.00 | 0.01 | |
| XGBoost | 0.38 | 0.45 | 0.32 | 0.05 | 0.01 | 0.02 | 0.02 | 0.02 | 0.01 | |
| GSHS | LightGBM | 0.35 | 0.63 | 0.00 | 0.09 | 0.03 | 0.03 | 0.04 | 0.02 | 0.02 |
| RF | 0.33 | 0.33 | 0.28 | 0.07 | 0.02 | 0.01 | 0.02 | 0.01 | 0.02 | |
| XGBoost | 0.34 | 0.63 | 0.00 | 0.09 | 0.03 | 0.03 | 0.04 | 0.02 | 0.02 | |
| Model | Attribute | Range | Selected Value | Mean Score |
|---|---|---|---|---|
| LightGBM | colsample_bytree | [0.7, 0.8, 0.9, 1] | 0.9 | 0.8836 |
| learning rate | [0.01, 0.1, 0.2] | 0.01 | ||
| max_depth | [−1, 5, 10, 15] | 10 | ||
| min_child_weight | [0.001, 0.01, 0.1] | 0.001 | ||
| n_estimators | [100, 200, 250, 300] | 300 | ||
| RF | criterion | [‘gini’, ‘entropy’, ‘log_loss’] | ‘entropy’ | 0.8944 |
| max_depth | [None, 2, 3, 4, 5, 7, 8, 10, 20] | None | ||
| max_features | [None, ‘sqrt’, ‘log2′] | ‘sqrt’ | ||
| min_samples_leaf | [1, 2, 3, 4, 5] | 1 | ||
| min_samples_split | [2, 4, 5, 7, 8, 10] | 7 | ||
| n_estimators | [100, 150, 200, 250, 300] | 300 | ||
| XGBoost | colsample_bytree | [0.7, 0.8, 0.9, 1] | 0.9 | 0.8955 |
| gamma | [0, 0.1, 0.2] | 0 | ||
| learning rate | [0.01, 0.1, 0.2] | 0.01 | ||
| max_depth | [3, 6, 9] | 6 | ||
| n_estimators | [100, 200, 300] | 200 |
| Class Clustering Data Description | ||||||||
|---|---|---|---|---|---|---|---|---|
| Sample | Cluster | Value | Sample | Cluster | Value | Sample | Cluster | Value |
| GSP | ||||||||
| GSPC_c1 | C1 | 16,381 | GSPH_c1 | C1 | 47,633 | GSPS_c1 | C1 | 45,924 |
| GSPC_c2 | C2 | 15,177 | GSPH_c2 | C2 | 52,810 | GSPS_c2 | C2 | 69,598 |
| GSPC_c3 | C3 | 32,798 | GSPH_c3 | C3 | 38,213 | GSPS_c3 | C3 | 72,779 |
| GSPC_c4 | C4 | 16,988 | GSPH_c4 | C4 | 54,834 | GSPS_c4 | C4 | 45,146 |
| GSPC_s1 | S1 | 17,142 | GSPH_s1 | S1 | 57,804 | GSPS_s1 | S1 | 26,283 |
| GSPC_s2 | S2 | 17,898 | GSPH_s2 | S2 | 70,847 | GSPS_s2 | S2 | 53,096 |
| GSPC_s3 | S3 | 18,911 | GSPH_s3 | S3 | 85,418 | GSPS_s3 | S3 | 70,230 |
| GSPC_s4 | S4 | 18,655 | GSPH_s4 | S4 | 88,616 | GSPS_s4 | S4 | 36,562 |
| GSV | ||||||||
| GSVC_c1 | C1 | 22,860 | GSVH_c1 | C1 | 25,789 | GSVS_c1 | C1 | 28,432 |
| GSVC_c2 | C2 | 21,091 | GSVH_c2 | C2 | 34,000 | GSVS_c2 | C2 | 27,548 |
| GSVC_c3 | C3 | 25,386 | GSVH_c3 | C3 | 21,235 | GSVS_c3 | C3 | 27,665 |
| GSVC_c4 | C4 | 16,755 | GSVH_c4 | C4 | 26,295 | GSVS_c4 | C4 | 23,663 |
| GSVC_s1 | S1 | 19,879 | GSVH_s1 | S1 | 53,640 | GSVS_s1 | S1 | 53,889 |
| GSVC_s2 | S2 | 18,700 | GSVH_s2 | S2 | 61,286 | GSVS_s2 | S2 | 36,701 |
| GSVC_s3 | S3 | 14,859 | GSVH_s3 | S3 | 51,369 | GSVS_s3 | S3 | 35,678 |
| GSVC_s4 | S4 | 19,492 | GSVH_s4 | S4 | 81,788 | GSVS_s4 | S4 | 61,885 |
| GSH | ||||||||
| GSHC_c1 | C1 | 20,454 | GSHH_c1 | C1 | 40,256 | GSHS_c1 | C1 | 47,697 |
| GSHC_c2 | C2 | 13,528 | GSHH_c2 | C2 | 31,579 | GSHS_c2 | C2 | 32,055 |
| GSHC_c3 | C3 | 35,224 | GSHH_c3 | C3 | 47,866 | GSHS_c3 | C3 | 17,419 |
| GSHC_c4 | C4 | 17,772 | GSHH_c4 | C4 | 27,235 | GSHS_c4 | C4 | 36,516 |
| GSHC_s1 | S1 | 26,507 | GSHH_s1 | S1 | 17,311 | GSHS_s1 | S1 | 45,513 |
| GSHC_s2 | S2 | 22,917 | GSHH_s2 | S2 | 59,395 | GSHS_s2 | S2 | 24,719 |
| GSHC_s3 | S3 | 23,774 | GSHH_s3 | S3 | 35,561 | GSHS_s3 | S3 | 33,314 |
| GSHC_s4 | S4 | 12,656 | GSHH_s4 | S4 | 70,114 | GSHS_s4 | S4 | 41,140 |
| Sample | Model | Performance Indicators | |||
|---|---|---|---|---|---|
| Accuracy | Precision | Recall | F1-Score | ||
| GSPC | LightGBM | 0.9103 | 0.9106 | 0.9103 | 0.9102 |
| RF | 0.9106 | 0.9108 | 0.9106 | 0.9105 | |
| XGBoost | 0.9111 | 0.9114 | 0.9111 | 0.9110 | |
| GSPH | LightGBM | 0.9357 | 0.9356 | 0.9357 | 0.9355 |
| RF | 0.9434 | 0.9433 | 0.9434 | 0.9432 | |
| XGBoost | 0.9453 | 0.9453 | 0.9453 | 0.9452 | |
| GSPS | LightGBM | 0.9562 | 0.9556 | 0.9562 | 0.9557 |
| RF | 0.9568 | 0.9563 | 0.9568 | 0.9563 | |
| XGBoost | 0.9568 | 0.9562 | 0.9568 | 0.9563 | |
| GSVC | LightGBM | 0.8974 | 0.8973 | 0.8974 | 0.8972 |
| RF | 0.8971 | 0.8969 | 0.8971 | 0.8968 | |
| XGBoost | 0.8996 | 0.8995 | 0.8996 | 0.8995 | |
| GSVH | LightGBM | 0.9429 | 0.9429 | 0.9429 | 0.9429 |
| RF | 0.9421 | 0.9422 | 0.9421 | 0.9421 | |
| XGBoost | 0.9436 | 0.9437 | 0.9436 | 0.9435 | |
| GSVS | LightGBM | 0.9584 | 0.959 | 0.9584 | 0.9583 |
| RF | 0.9556 | 0.956 | 0.9556 | 0.9555 | |
| XGBoost | 0.9587 | 0.9592 | 0.9587 | 0.9587 | |
| GSHC | LightGBM | 0.9548 | 0.9553 | 0.9548 | 0.9548 |
| RF | 0.9535 | 0.9544 | 0.9535 | 0.9535 | |
| XGBoost | 0.9548 | 0.9554 | 0.9548 | 0.9549 | |
| GSHH | LightGBM | 0.9389 | 0.9394 | 0.9389 | 0.9392 |
| RF | 0.9384 | 0.9391 | 0.9384 | 0.9387 | |
| XGBoost | 0.9383 | 0.9388 | 0.9383 | 0.9385 | |
| GSHS | LightGBM | 0.8636 | 0.8640 | 0.8636 | 0.8630 |
| RF | 0.8616 | 0.8614 | 0.8616 | 0.8612 | |
| XGBoost | 0.8632 | 0.8635 | 0.8632 | 0.8627 | |
Disclaimer/Publisher’s Note: The statements, opinions and data contained in all publications are solely those of the individual author(s) and contributor(s) and not of MDPI and/or the editor(s). MDPI and/or the editor(s) disclaim responsibility for any injury to people or property resulting from any ideas, methods, instructions or products referred to in the content. |
© 2024 by the authors. Licensee MDPI, Basel, Switzerland. This article is an open access article distributed under the terms and conditions of the Creative Commons Attribution (CC BY) license (https://creativecommons.org/licenses/by/4.0/).
Share and Cite
Osa-uwagboe, N.; Udu, A.G.; Silberschmidt, V.V.; Baxevanakis, K.P.; Demirci, E. Effects of Seawater on Mechanical Performance of Composite Sandwich Structures: A Machine Learning Framework. Materials 2024, 17, 2549. https://doi.org/10.3390/ma17112549
Osa-uwagboe N, Udu AG, Silberschmidt VV, Baxevanakis KP, Demirci E. Effects of Seawater on Mechanical Performance of Composite Sandwich Structures: A Machine Learning Framework. Materials. 2024; 17(11):2549. https://doi.org/10.3390/ma17112549
Chicago/Turabian StyleOsa-uwagboe, Norman, Amadi Gabriel Udu, Vadim V. Silberschmidt, Konstantinos P. Baxevanakis, and Emrah Demirci. 2024. "Effects of Seawater on Mechanical Performance of Composite Sandwich Structures: A Machine Learning Framework" Materials 17, no. 11: 2549. https://doi.org/10.3390/ma17112549
APA StyleOsa-uwagboe, N., Udu, A. G., Silberschmidt, V. V., Baxevanakis, K. P., & Demirci, E. (2024). Effects of Seawater on Mechanical Performance of Composite Sandwich Structures: A Machine Learning Framework. Materials, 17(11), 2549. https://doi.org/10.3390/ma17112549

