Influence of Solute Drag Effect and Interphase Precipitation of Nb on Ferrite Transformation
Abstract
1. Introduction
2. Experimental Procedures
3. Results
3.1. Kinetics of Ferrite Phase Transformation
3.2. Microstructure Analysis
4. Discussion
4.1. The Inhibitory Effect of Nb on Ferrite Phase Transformation
4.1.1. Description of the Solute Drag Effect Model
4.1.2. Comparison with Experimental Data for Ferrite Growth
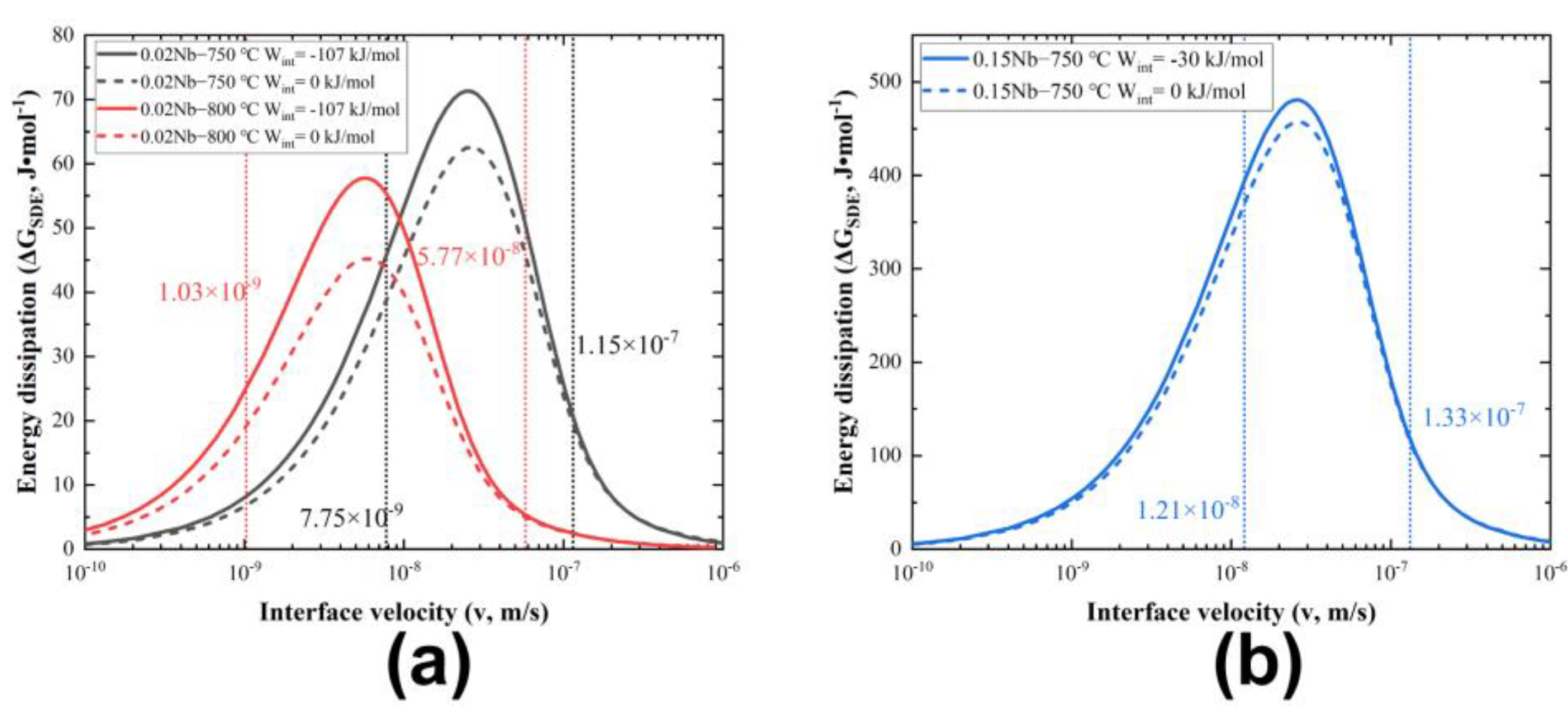
4.1.3. Energy Dissipation of Pinning Effect
4.2. The Impact of NbC Interphase Precipitation on Ferrite Phase Transformation
5. Conclusions
- In our study, 0.15 wt.% Nb steel was closer to the NPLE and PE models than 0.02 wt.% Nb steel during ferrite phase transformation. The sample of 0.02 wt.% Nb steel showed a strong effect of solute drag on ferrite growth, which delayed ferrite transformation.
- Interphase precipitation was observed in 0.15 wt.% Nb, while only random precipitation was observed in 0.02 wt.% Nb.
- The 0.15 wt.% Nb steel sample was expected to enhance the SDE, but the inhibition effect was eliminated by the interphase precipitation of NbC during interfacial migration. Both the experimental results and the theoretical calculations confirmed this phenomenon.
- The conclusions from the SDE model and the interphase precipitation model suggest that the growth kinetics of ferrite can be significantly suppressed by the addition of a small amount of Nb element. However, the interphase precipitation of NbC occurs in the presence of a higher concentration of Nb, which depletes the Nb content at the α/γ interface and eliminates the inhibitory effect of solute drag on ferrite growth.
Author Contributions
Funding
Informed Consent Statement
Data Availability Statement
Acknowledgments
Conflicts of Interest
References
- Varanasi, R.S.; Gault, B.; Ponge, D. Effect of nb micro-alloying on austenite nucleation and growth in a medium manganese steel during intercritical annealing. Acta Mater. 2022, 229, 117786. [Google Scholar] [CrossRef]
- Moon, J.; Lee, T.-H.; Kim, S.-D.; Lee, C.-H.; Jang, J.H.; Shin, J.-H.; Lee, J.-W.; Lee, B.H.; Suh, D.-W. Isothermal transformation of austenite to ferrite and precipitation behavior in 9Cr-1.5Mo-1.25Co-0.1C-Vnb heat-resistant steel. Mater. Charact. 2020, 170, 110677. [Google Scholar] [CrossRef]
- Zhang, D.; Liu, G.; Zhang, K.; Sun, X.; Liang, X.; Yong, Q. Effect of nb microalloying on microstructure evolution and mechanical properties in low carbon medium manganese steel. Mater. Sci. Eng. A 2021, 824, 141813. [Google Scholar] [CrossRef]
- Zeng, Z.; Li, C.; Li, Z.; Zhai, Y.; Wang, J.; Li, Z. Effect of nb content and thermal deformation on the microstructure and mechanical properties of high-strength anti-seismic rebar. Mater. Sci. Eng. A 2022, 840, 142929. [Google Scholar] [CrossRef]
- Zhao, P.; Liu, Z.; Du, F.; Misra, R.D.K.; Ren, W.; Yan, E. Multiphase bainite—Martensite steels: The significant impact of niobium microalloying on structure and mechanical behavior. Mater. Sci. Eng. A 2018, 730, 262–269. [Google Scholar] [CrossRef]
- Zhu, E.; Xia, D.; Chen, P.; Han, Q.; Wang, X.; Liu, Z.; Jiang, K. Study on the effect of niobium on the high temperature oxidation resistance of ferritic stainless steel. Metals 2023, 14, 25. [Google Scholar] [CrossRef]
- Qiu, L.; Li, J.; Zhang, P.; Wang, L.; Mei, G. Effect of niobium microalloying on the mechanical properties in grade r4 mooring chain steel. Metall. Mater. Trans. A 2023, 55, 695–705. [Google Scholar] [CrossRef]
- Di Schino, A.; Di Nunzio, P.E. Effect of nb microalloying on the heat affected zone microstructure of girth welded joints. Mater. Lett. 2017, 186, 86–89. [Google Scholar] [CrossRef]
- Liu, S.; Challa, V.S.A.; Natarajan, V.V.; Misra, R.D.K.; Sidorenko, D.M.; Mulholland, M.D.; Manohar, M.; Hartmann, J.E. Significant influence of carbon and niobium on the precipitation behavior and microstructural evolution and their consequent impact on mechanical properties in microalloyed steels. Mater. Sci. Eng. A 2017, 683, 70–82. [Google Scholar] [CrossRef]
- Dong, H.; Chen, H.; Wang, W.; Zhang, Y.; Miyamoto, G.; Furuhara, T.; Zhang, C.; Yang, Z.; van der Zwaag, S. Analysis of the interaction between moving α/γ interfaces and interphase precipitated carbides during cyclic phase transformations in a nb-containing fe-c-mn alloy. Acta Mater. 2018, 158, 167–179. [Google Scholar] [CrossRef]
- Gouné, M.; Danoix, F.; Ågren, J.; Bréchet, Y.; Hutchinson, C.R.; Militzer, M.; Purdy, G.; van der Zwaag, S.; Zurob, H. Overview of the current issues in austenite to ferrite transformation and the role of migrating interfaces therein for low alloyed steels. Metall. Mater. Trans. R. 2015, 92, 1–38. [Google Scholar] [CrossRef]
- Wang, L.; Parker, S.; Rose, A.; West, G.; Thomson, R. Effects of solute nb atoms and nb precipitates on isothermal transformation kinetics from austenite to ferrite. Metall. Mater. Trans. A 2016, 47, 3387–3396. [Google Scholar] [CrossRef]
- Zhang, Y.; Miyamoto, G.; Furuhara, T. Enhanced hardening by multiple microalloying in low carbon ferritic steels with interphase precipitation. Scr. Mater. 2022, 212, 114558. [Google Scholar] [CrossRef]
- Shin, J.H.; Kong, B.S.; Eom, H.J.; Jang, C.; Do, H.; Jang, D. Dynamic evolution of nanosized nbc precipitates in austenite matrix during deformation and its contribution to strengthening. Mater. Sci. Eng. A 2021, 806, 140816. [Google Scholar] [CrossRef]
- Dong, H.; Zhang, Y.; Miyamoto, G.; Inomoto, M.; Chen, H.; Yang, Z.; Furuhara, T. Unraveling the effects of nb interface segregation on ferrite transformation kinetics in low carbon steels. Acta Mater. 2021, 215, 117081. [Google Scholar] [CrossRef]
- Singh, N.; Casillas, G.; Wexler, D.; Killmore, C.; Pereloma, E. Application of advanced experimental techniques to elucidate the strengthening mechanisms operating in microalloyed ferritic steels with interphase precipitation. Acta Mater. 2020, 201, 386–402. [Google Scholar] [CrossRef]
- Kim, J.; Jung, J.G.; Kim, D.H.; Lee, Y.K. The kinetics of nb(c,n) precipitation during the isothermal austenite to ferrite transformation in a low-carbon nb-microalloyed steel. Acta Mater. 2013, 61, 7437–7443. [Google Scholar] [CrossRef]
- Sun, L.-Y.; Liu, X.; Xu, X.; Lei, S.-W.; Li, H.-G.; Zhai, Q.-J. Review on niobium application in microalloyed steel. J. Iron. Steel Res. Int. 2022, 29, 1513–1525. [Google Scholar] [CrossRef]
- Bansal, G.K.; Srivastava, V.C.; Ghosh Chowdhury, S. Role of solute nb in altering phase transformations during continuous cooling of a low-carbon steel. Mater. Sci. Eng. A 2019, 767, 138416. [Google Scholar] [CrossRef]
- Kobayashi, H.; Kaji, H.; Kasamatsu, Y. Influence of nb and v on the proeutectoid ferrite reaction in low carbon high strength steels. Tetsu-to-Hagane 1981, 67, 2191–2200. [Google Scholar] [CrossRef]
- Enomoto, M.; Nojiri, N.; Sato, Y. Effects of vanadium and niobium on the nucleation kinetics of proeutectoid ferrite at austenite grain boundaries in Fe–C and Fe–C–Mn alloys. Mater. Trans. JIM 1994, 35, 859–867. [Google Scholar] [CrossRef]
- Cahn, J.W. The impurity-drag effect in grain boundary motion. Acta Metall. 1962, 10, 789–798. [Google Scholar] [CrossRef]
- Purdy, G.R.; Brechet, Y.J.M. A solute drag treatment of the effects of alloying elements on the rate of the proeutectoid ferrite transformation in steels. Acta Metall. Mater. 1995, 43, 3763–3774. [Google Scholar] [CrossRef]
- Lücke, K.; Detert, K. A quantitative theory of grain-boundary motion and recrystallization in metals in the presence of impurities. Acta Metall. 1957, 5, 628–637. [Google Scholar] [CrossRef]
- Enomoto, M. Influence of solute drag on the growth of proeutectoid ferrite in Fe–C–Mn alloy. Acta Mater. 1999, 47, 3533–3540. [Google Scholar] [CrossRef]
- Purdy, G.; Ågren, J.; Borgenstam, A.; Bréchet, Y.; Enomoto, M.; Furuhara, T.; Gamsjager, E.; Gouné, M.; Hillert, M.; Hutchinson, C.; et al. Alemi: A ten-year history of discussions of alloying-element interactions with migrating interfaces. Metall. Mater. Trans. A 2011, 42, 3703–3718. [Google Scholar] [CrossRef]
- Miyamoto, G.; Yokoyama, K.; Furuhara, T. Quantitative analysis of mo solute drag effect on ferrite and bainite transformations in fe-0.4c-0.5mo alloy. Acta Mater. 2019, 177, 187–197. [Google Scholar] [CrossRef]
- Sun, W.W.; Zurob, H.S.; Hutchinson, C.R. Coupled solute drag and transformation stasis during ferrite formation in fe-c-mn-mo. Acta Mater. 2017, 139, 62–74. [Google Scholar] [CrossRef]
- Chen, Y.; Zhang, D.; Liu, Y.; Li, H.; Xu, D. Effect of dissolution and precipitation of nb on the formation of acicular ferrite/bainite ferrite in low-carbon hsla steels. Mater. Charact. 2013, 84, 232–239. [Google Scholar] [CrossRef]
- Xie, K.Y.; Yao, L.; Zhu, C.; Cairney, J.M.; Killmore, C.R.; Barbaro, F.J.; Williams, J.G.; Ringer, S.P. Effect of nb microalloying and hot rolling on microstructure and properties of ultrathin cast strip steels produced by the castrip® process. Metall. Mater. Trans. A 2011, 42, 2199–2206. [Google Scholar] [CrossRef]
- Yuan, X.Q.; Liu, Z.Y.; Jiao, S.H.; Ma, L.Q.; Wang, G.D. The onset temperatures of γ to α-phase transformation in hot deformed and non-deformed nb micro-alloyed steels. ISIJ Int. 2006, 46, 579–585. [Google Scholar] [CrossRef]
- Ma, F.; Wen, G.; Wang, W. Effect of cooling rates on the second-phase precipitation and proeutectoid phase transformation of a nb-ti microalloyed steel slab. Steel Res. Int. 2013, 84, 370–376. [Google Scholar] [CrossRef]
- Strid, J.; Easterling, K.E. On the chemistry and stability of complex carbides and nitrides in microalloyed steels. Acta Metallurgica 1985, 33, 2057–2074. [Google Scholar] [CrossRef]
- Fossaert, C.; Rees, G.; Maurickx, T.; Bhadeshia, H.K.D.H. The effect of niobium on the hardenability of microalloyed austenite. Metall. Mater. Trans. A 1995, 26, 21–30. [Google Scholar] [CrossRef]
- Zhang, Y.J.; Miyamoto, G.; Shinbo, K.; Furuhara, T. Weak influence of ferrite growth rate and strong influence of driving force on dispersion of vc interphase precipitation in low carbon steels. Acta Mater. 2020, 186, 533–544. [Google Scholar] [CrossRef]
- Jia, T.; Militzer, M. The effect of solute nb on the austenite-to-ferrite transformation. Metall. Mater. Trans. A 2014, 46, 614–621. [Google Scholar] [CrossRef]
- Enomoto, M. Phase transformations in steel-growth of austenite from ferrite, pearlite and martensite-. Materia Japan 2015, 54, 168–175. [Google Scholar] [CrossRef]
- Chen, H.; Zhu, K.; Zhao, L.; van der Zwaag, S. Analysis of transformation stasis during the isothermal bainitic ferrite formation in Fe–C–Mn and Fe–C–Mn–Si alloys. Acta Mater. 2013, 61, 5458–5468. [Google Scholar] [CrossRef]
- Furuhara, T.; Yamaguchi, T.; Miyamoto, G.; Maki, T. Incomplete transformation of upper bainite in nb bearing low carbon steels. Mater. Sci. Technol. 2013, 26, 392–397. [Google Scholar] [CrossRef]
- Hillert, M.; Sundman, B. A treatment of the solute drag on moving grain boundaries and phase interfaces in binary alloys. Acta Metallu. 1976, 24, 731–743. [Google Scholar] [CrossRef]
- Enomoto, M.; Maruyama, N.; Wu, K.M.; Tarui, T. Alloying element accumulation at ferrite/austenite boundaries below the time–temperature–transformation diagram bay in an Fe–C–Mo alloy. Mater. Sci. Eng. A 2003, 343, 151–157. [Google Scholar] [CrossRef]
- Hillert, M.; Staffansson, L.I. The regular solution model for stoichiometric phases and ionic melts. Acta Chem. Scand. 1970, 24, 3618–3626. [Google Scholar] [CrossRef]
- Hillert, M.; Odqvist, J.; Ågren, J. Comparison between solute drag and dissipation of gibbs energy by diffusion. Scr. Mater. 2001, 45, 221–227. [Google Scholar] [CrossRef]
- Suehiro, M.; Liu, Z.K.; Ågren, J. Effect of niobium on massive transformation in ultra low carbon steels: A solute drag treatment. Acta Mater. 1996, 44, 4241–4251. [Google Scholar] [CrossRef]
- Gong, P.; Liu, X.G.; Rijkenberg, A.; Rainforth, W.M. The effect of molybdenum on interphase precipitation and microstructures in microalloyed steels containing titanium and vanadium. Acta Mater. 2018, 161, 374–387. [Google Scholar] [CrossRef]
- Honeycombe, R.W.K.; Mehl, R.F. Transformation from austenite in alloy steels. Metall. Trans. A 1976, 7, 915–936. [Google Scholar] [CrossRef]
- Sakuma, T.; Honeycombe, R.W.K. Microstructures of isothermally transformed Fe-Nb-C alloys. Metal Science 2013, 18, 449–454. [Google Scholar] [CrossRef]
- Howe, J.M. Interfaces in Materials: Atomic Structure, Thermodynamics and Kinetics of Solid-Vapor, Solid-Liquid and Solid-Solid Interfaces; Wiley: Hoboken, NJ, USA, 1997. [Google Scholar]
- Yang, Z.G.; Enomoto, M. Calculation of the interfacial energy of b1-type carbides and nitrides with austenite. Metall. Mater. Trans. A 2001, 32, 267–274. [Google Scholar] [CrossRef]
- Yang, Z.G.; Enomoto, M. Discrete lattice plane analysis of baker–nutting related b1 compound/ferrite interfacial energy. Mater. Sci. Eng. A 2002, 332, 184–192. [Google Scholar] [CrossRef]














| Alloys | Fe | Nb | C | Mn | Si | P | S |
|---|---|---|---|---|---|---|---|
| 0.02 Nb | Bal | 0.02 | 0.062 | 1.0 | 0.21 | 0.008 | 0.002 |
| 0.15 Nb | Bal | 0.15 | 0.062 | 1.0 | 0.21 | 0.008 | 0.002 |
| Alloys | Ae3 (°C) | PE (°C) | NPLE (°C) | Solution Temp. of NbC in ɣ (°C) |
|---|---|---|---|---|
| 0.02 Nb | 860 | 834 | 818 | 1023 |
| 0.15 Nb | 866 | 838 | 824 | 1207 |
| Variables | 0.02 Nb−750 °C | 0.02 Nb−800 °C | 0.15 Nb−750 °C |
|---|---|---|---|
| 10 | |||
| 50 | |||
| 4 nm | |||
Disclaimer/Publisher’s Note: The statements, opinions and data contained in all publications are solely those of the individual author(s) and contributor(s) and not of MDPI and/or the editor(s). MDPI and/or the editor(s) disclaim responsibility for any injury to people or property resulting from any ideas, methods, instructions or products referred to in the content. |
© 2024 by the authors. Licensee MDPI, Basel, Switzerland. This article is an open access article distributed under the terms and conditions of the Creative Commons Attribution (CC BY) license (https://creativecommons.org/licenses/by/4.0/).
Share and Cite
Cai, Y.; Wei, R.; Jin, D.; Wang, H.; Wan, X.; Hu, C.; Wu, K. Influence of Solute Drag Effect and Interphase Precipitation of Nb on Ferrite Transformation. Materials 2024, 17, 2440. https://doi.org/10.3390/ma17102440
Cai Y, Wei R, Jin D, Wang H, Wan X, Hu C, Wu K. Influence of Solute Drag Effect and Interphase Precipitation of Nb on Ferrite Transformation. Materials. 2024; 17(10):2440. https://doi.org/10.3390/ma17102440
Chicago/Turabian StyleCai, Yiming, Ran Wei, Duoduo Jin, Honghong Wang, Xiangliang Wan, Chengyang Hu, and Kaiming Wu. 2024. "Influence of Solute Drag Effect and Interphase Precipitation of Nb on Ferrite Transformation" Materials 17, no. 10: 2440. https://doi.org/10.3390/ma17102440
APA StyleCai, Y., Wei, R., Jin, D., Wang, H., Wan, X., Hu, C., & Wu, K. (2024). Influence of Solute Drag Effect and Interphase Precipitation of Nb on Ferrite Transformation. Materials, 17(10), 2440. https://doi.org/10.3390/ma17102440

