Effect of the Inorganic Modification Mode on the Mechanical Properties of Rubber Recycled Concrete
Abstract
1. Introduction
2. Materials and Methods
2.1. Materials
2.2. Test Procedure
3. Results and Discussion
3.1. Basic Mechanical Properties of Rubber Recycled Concrete
3.1.1. The Compressive Strength
3.1.2. The Splitting Tensile Strength
3.1.3. The Flexural Strength
3.1.4. The Axial Compressive Strength
3.1.5. The Modulus of Elasticity
3.2. Basic Mechanical Properties of Modified Rubber Recycled Concrete
3.2.1. The Compressive Strength
3.2.2. The Splitting Tensile Strength
3.2.3. The Flexural Strength
3.2.4. The Axial Compressive Strength
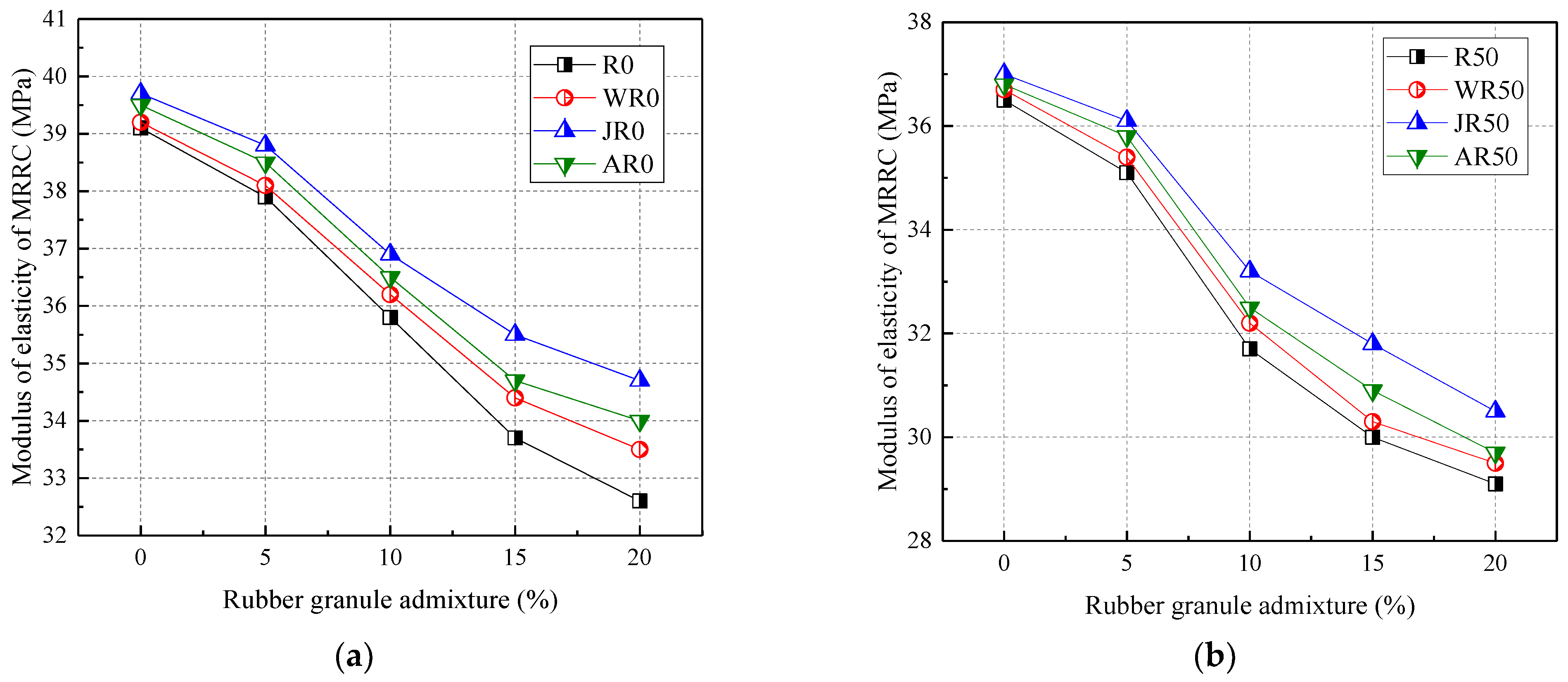
3.2.5. The Modulus of Elasticity
4. Conclusions
- The incorporation of both rubber particles and recycled aggregates reduced the basic mechanical properties of concrete. And the extent of the effect of rubber particles was greater than that of recycled aggregate. The reduction in the compressive strength, the splitting tensile strength, the flexural strength, the axial compressive strength, and the modulus of elasticity of rubber recycled concrete (RRC) was the greatest when recycled aggregates and rubber particles were mixed at 100% and 20%, respectively, with a maximum reduction of 15.32–27.36%.
- The modification methods of water washing, alkali washing, and acid washing improved the mechanical properties of rubber recycled concrete by 1.09–4.57%, 2.99–10.44%, and 2.17–6.01%, respectively. The effects of the three modification methods on the mechanical properties of concrete were ranked as: alkali washing > acid washing > water washing. The alkali washing modification method improved the compressive strength and the splitting tensile strength more significantly, with a maximum enhancement effect of 12.39% and 15.51%.
- The sensitivity of the modification method to the mechanical properties of concrete was ranked as follows: splitting tensile strength > compressive strength > modulus of elasticity > flexural strength > axial compressive strength. Compared to the unmodified rubber recycled concrete, the compressive strength, the splitting tensile strength, the flexural strength, the axial compressive strength, and the modulus of elasticity of rubber recycled concrete increased by 12.39%, 15.51%, 9.2%, 7.53%, and 11.19%, respectively, when recycled aggregate and rubber particles were mixed at 100% and 20%, respectively.
Author Contributions
Funding
Institutional Review Board Statement
Informed Consent Statement
Data Availability Statement
Conflicts of Interest
References
- Bušić, R.; Miličević, I.; Šipoš, T.K.; Strukar, K. Recycled rubber as an aggregate replacement in self-compacting concrete—Literature overview. Materials 2018, 11, 1729. [Google Scholar] [CrossRef] [PubMed]
- Chai, L.; Guo, L.; Chen, B.; Xu, Y.; Ding, C. Mechanical properties of ecological high ductility cementitious composites produced with recycled crumb rubber and recycled asphalt concrete. J. Mater. Cycles Waste Manag. 2019, 21, 488–502. [Google Scholar] [CrossRef]
- Medina, N.F.; Garcia, R.; Hajirasouliha, I.; Pilakoutas, K.; Guadagnini, M.; Raffoul, S. Composites with recycled rubber aggregates: Properties and opportunities in construction. Constr. Build. Mater. 2018, 188, 884–897. [Google Scholar] [CrossRef]
- Valente, M.; Sibai, A. Rubber/crete: Mechanical properties of scrap to reuse tire-derived rubber in concrete; A review. J. Appl. Biomater. Func. 2019, 17, 2280800019835486. [Google Scholar] [CrossRef] [PubMed]
- Ruwona, W.; Danha, G.; Muzenda, E. A review on material and energy recovery from waste tyres. Procedia Manuf. 2019, 35, 216–222. [Google Scholar] [CrossRef]
- Roychand, R.; Gravina, R.J.; Zhuge, Y.; Ma, X.; Youssf, O.; Mills, J.E. A comprehensive review on the mechanical properties of waste tire rubber concrete. Constr. Build. Mater. 2020, 237, 117651. [Google Scholar] [CrossRef]
- Thomas, B.S.; Gupta, R.C.; Panicker, V.J. Recycling of waste tire rubber as aggregate in concrete: Durability-related performance. J. Clean. Prod. 2016, 112, 504–513. [Google Scholar] [CrossRef]
- Batayneh, M.K.; Marie, I.; Asi, I. Promoting the use of crumb rubber concrete in developing countries. Waste Manag. 2008, 28, 2171–2176. [Google Scholar] [CrossRef] [PubMed]
- Rassokhin, A.S.; Ponomarev, A.N.; Karlina, A.I. High-performance fine-grained nanostructured concrete based on low strength aggregates. Mag. Civ. Eng. 2022, 114, 11413. [Google Scholar]
- Wu, Y.-F.; Kazmi, S.M.S.; Munir, M.J.; Zhou, Y.; Xing, F. Effect of compression casting method on the compressive strength, elastic modulus and microstructure of rubber concrete. J. Clean. Prod. 2020, 264, 121746. [Google Scholar] [CrossRef]
- Hameed, R.; Tahir, M.; Shahzad, S.; Kazmi, S.M.S.; Munir, M.J. Impact of Compression Casting Technique on the Mechanical Properties of 100% Recycled Aggregate Concrete. Sustainability 2023, 15, 8153. [Google Scholar] [CrossRef]
- Guo, S.; Dai, Q.; Si, R.; Sun, X.; Lu, C. Evaluation of properties and performance of rubber-modified concrete for recycling of waste scrap tire. J. Clean. Prod. 2017, 148, 681–689. [Google Scholar] [CrossRef]
- Grinys, A.; Balamurugan, M.; Augonis, A.; Ivanauskas, E. Mechanical properties and durability of rubberized and glass powder modified rubberized concrete for whitetopping structures. Materials 2021, 14, 2321. [Google Scholar] [CrossRef] [PubMed]
- Amiri, M.; Hatami, F.; Golafshani, E. Evaluating the synergic effect of waste rubber powder and recycled concrete aggregate on mechanical properties and durability of concrete. Case Stud. Constr. Mater. 2021, 15, e00639. [Google Scholar] [CrossRef]
- Ataria, R.B.; Wang, Y.C. Mechanical properties and durability performance of recycled aggregate concrete containing crumb rubber. Materials 2022, 15, 1776. [Google Scholar] [CrossRef] [PubMed]
- Tang, Y.; Feng, W.; Chen, Z.; Nong, Y.; Yao, M.; Liu, J. Experimental and theoretical investigation on the thermo-mechanical properties of recycled aggregate concrete containing recycled rubber. Front. Mater. 2021, 8, 655097. [Google Scholar] [CrossRef]
- Tang, Y.; Feng, W.; Feng, W.; Chen, J.; Bao, D.; Li, L. Compressive properties of rubber-modified recycled aggregate concrete subjected to elevated temperatures. Constr. Build. Mater. 2021, 268, 121181. [Google Scholar] [CrossRef]
- Feng, W.; Wang, Y.; Sun, J.; Tang, Y.; Wu, D.; Jiang, Z.; Wang, J.; Wang, X. Prediction of thermo-mechanical properties of rubber-modified recycled aggregate concrete. Constr. Build. Mater. 2022, 318, 125970. [Google Scholar] [CrossRef]
- He, L.; Cai, H.; Huang, Y.; Ma, Y.; Van Den Bergh, W.; Gaspar, L.; Valentin, J.; Vasiliev, Y.E.; Kowalski, K.J.; Zhang, J. Research on the properties of rubber concrete containing surface-modified rubber powders. J. Build. Eng. 2021, 35, 101991. [Google Scholar] [CrossRef]
- Juveria, F.; Rajeev, P.; Jegatheesan, P.; Sanjayan, J. Impact of stabilisation on mechanical properties of recycled concrete aggregate mixed with waste tyre rubber as a pavement material. Case Stud. Constr. Mater. 2023, 18, e02001. [Google Scholar] [CrossRef]
- Shao, J.; Zhu, H.; Zhao, B.; Haruna, S.I.; Xue, G.; Jiang, W.; Wu, K.; Yang, J. Combined effect of recycled tire rubber and carbon nanotubes on the mechanical properties and microstructure of concrete. Constr. Build. Mater. 2022, 322, 126493. [Google Scholar] [CrossRef]
- Liu, F.; Meng, L.-y.; Ning, G.-F.; Li, L.-J. Fatigue performance of rubber-modified recycled aggregate concrete (RRAC) for pavement. Constr. Build. Mater. 2015, 95, 207–217. [Google Scholar] [CrossRef]
- Aslani, F. Mechanical properties of waste tire rubber concrete. J. Mater. Civil Eng. 2016, 28, 04015152. [Google Scholar] [CrossRef]
- Stallings, K.A.; Durham, S.A.; Chorzepa, M.G. Effect of cement content and recycled rubber particle size on the performance of rubber-modified concrete. Int. J. Sustain. Eng. 2019, 12, 189–200. [Google Scholar] [CrossRef]
- Karunarathna, S.; Linforth, S.; Kashani, A.; Liu, X.; Ngo, T. Effect of recycled rubber aggregate size on fracture and other mechanical properties of structural concrete. J. Clean. Prod. 2021, 314, 128230. [Google Scholar] [CrossRef]
- Su, H.; Yang, J.; Ghataora, G.S.; Dirar, S. Surface modified used rubber tyre aggregates: Effect on recycled concrete performance. Mag. Concr. Res. 2015, 67, 680–691. [Google Scholar] [CrossRef]
- Mhaya, A.M.; Huseien, G.F.; Faridmehr, I.; Abidin, A.R.Z.; Alyousef, R.; Ismail, M. Evaluating mechanical properties and impact resistance of modified concrete containing ground Blast Furnace slag and discarded rubber tire crumbs. Constr. Build. Mater. 2021, 295, 123603. [Google Scholar] [CrossRef]
- Najim, K.B.; Hall, M.R. Mechanical and dynamic properties of self-compacting crumb rubber modified concrete. Constr. Build. Mater. 2012, 27, 521–530. [Google Scholar] [CrossRef]
- Li, L.-J.; Tu, G.-R.; Lan, C.; Liu, F. Mechanical characterization of waste-rubber-modified recycled-aggregate concrete. J. Clean. Prod. 2016, 124, 325–338. [Google Scholar] [CrossRef]
- He, L.; Ma, Y.; Liu, Q.; Mu, Y. Surface modification of crumb rubber and its influence on the mechanical properties of rubber-cement concrete. Constr. Build. Mater. 2016, 120, 403–407. [Google Scholar] [CrossRef]
- Su, P.; Dai, Q.; Li, M.; Ma, Y.; Wang, J. Investigation of the mechanical and shrinkage properties of plastic-rubber compound modified cement mortar with recycled tire steel fiber. Constr. Build. Mater. 2022, 334, 127391. [Google Scholar] [CrossRef]
- Jokar, F.; Khorram, M.; Karimi, G.; Hataf, N. Experimental investigation of mechanical properties of crumbed rubber concrete containing natural zeolite. Constr. Build. Mater. 2019, 208, 651–658. [Google Scholar] [CrossRef]
- Zhao, J.; Zhang, B.; Xie, J.; Wu, Y.; Wang, Z.; Liu, P. Effects of nano-SiO2 modification on rubberised mortar and concrete with recycled coarse aggregates. Nanotechnol. Rev. 2022, 11, 473–496. [Google Scholar] [CrossRef]
- GB 175-2007; Common Portland Cement. Standardization Administration of China: Beijing, China, 2007.
- JGJ55-2011; Specification for Mix Proportion Design of Ordinary Concrete. Ministry of Housing and Urban-Rural Development: Beijing, China, 2011.
- Zhao, Q. Mechanical Properties Text of Modified Rubber-Recycled Concrete; North China University of Water Resources and Electric Power: Zhengzhou, China, 2017. [Google Scholar]
- GB/T 50081-2002; Standard for Test Method of Mechanical Properties on Ordinary Concrete. Ministry of Housing and Urban-Rural Development: Beijing, China, 2002.
- SL 352-2006; Test Code for Hydraulic Concrete. China Institute of Water Resources and Hydropower: Beijing, China, 2006.
- Zhang, H.-L. Experimental on the Mechanical and Fatigue Behaviour of Modified Rubber Recycled Concrete; North China University of Water Resources and Electric Power: Zhengzhou, China, 2017. [Google Scholar]
- Li, J.; Qin, Y.; Zhang, X.; Shan, B.; Liu, C. Emission characteristics, environmental impacts, and health risks of volatile organic compounds from asphalt materials: A state-of-the art review. Energy Fuels 2023, 38, 4787–4802. [Google Scholar] [CrossRef]

















| Density (kg/m3) | Initial Setting Time (min) | Final Setting Time (min) | Compressive Strength (MPa) | Flexural Strength (MPa) | ||
|---|---|---|---|---|---|---|
| 3 d | 28 d | 3 d | 28 d | |||
| 3050 | 200 | 265 | 27.5 | 49.3 | 5.5 | 8.0 |
| Item | Mix Proportions of Cubic Concrete (kg/m3) | |||||
|---|---|---|---|---|---|---|
| Water | Cement | Sand | Rubber Granule | Natural Crushed Stone | Recycled Aggregate | |
| R0-K0 | 192 | 452 | 526.8 | 0 | 1229.2 | 0 |
| R0-K5 | 500.46 | 26.34 | ||||
| R0-K10 | 474.12 | 52.68 | ||||
| R0-K15 | 447.78 | 79.02 | ||||
| R0-K20 | 421.44 | 105.36 | ||||
| R50-K0 | 192 | 452 | 526.8 | 0 | 614.6 | 565.4 |
| R50-K5 | 500.46 | 26.34 | ||||
| R50-K10 | 474.12 | 52.68 | ||||
| R50-K15 | 447.78 | 79.02 | ||||
| R50-K20 | 421.44 | 105.36 | ||||
| R100-K0 | 192 | 452 | 526.8 | 0 | 0 | 1130.8 |
| R100-K5 | 500.46 | 26.34 | ||||
| R100-K10 | 474.12 | 52.68 | ||||
| R100-K15 | 447.78 | 79.02 | ||||
| R100-K20 | 421.44 | 105.36 | ||||
| Types | Particle Size /(mm) | Bulk Density /(kg/m3) | Apparent Density /(kg/m3) | Water Absorption /% | Mud Content /% | Indicators of Crushing /% | |
|---|---|---|---|---|---|---|---|
| Coarse aggregate | Natural coarse aggregate | 5–25 | 2580 | 1340 | 0.8 | 0.45–0.47 | 10 |
| Recycled coarse aggregate | 5–25 | 2500 | 1210 | 9.5 | 0.65–0.68 | 16.2 | |
| Fine aggregate | Sand | 2–4 | 1580 | 2530 | / | / | / |
| Rubber granule | 2–5 | / | 1210 | / | / | / | |
Disclaimer/Publisher’s Note: The statements, opinions and data contained in all publications are solely those of the individual author(s) and contributor(s) and not of MDPI and/or the editor(s). MDPI and/or the editor(s) disclaim responsibility for any injury to people or property resulting from any ideas, methods, instructions or products referred to in the content. |
© 2024 by the authors. Licensee MDPI, Basel, Switzerland. This article is an open access article distributed under the terms and conditions of the Creative Commons Attribution (CC BY) license (https://creativecommons.org/licenses/by/4.0/).
Share and Cite
Liu, L.; Zong, J.; Hou, X.; Liu, X. Effect of the Inorganic Modification Mode on the Mechanical Properties of Rubber Recycled Concrete. Materials 2024, 17, 2217. https://doi.org/10.3390/ma17102217
Liu L, Zong J, Hou X, Liu X. Effect of the Inorganic Modification Mode on the Mechanical Properties of Rubber Recycled Concrete. Materials. 2024; 17(10):2217. https://doi.org/10.3390/ma17102217
Chicago/Turabian StyleLiu, Leifei, Jingmei Zong, Xueqian Hou, and Xiaoyan Liu. 2024. "Effect of the Inorganic Modification Mode on the Mechanical Properties of Rubber Recycled Concrete" Materials 17, no. 10: 2217. https://doi.org/10.3390/ma17102217
APA StyleLiu, L., Zong, J., Hou, X., & Liu, X. (2024). Effect of the Inorganic Modification Mode on the Mechanical Properties of Rubber Recycled Concrete. Materials, 17(10), 2217. https://doi.org/10.3390/ma17102217
