Energy-Based Unified Models for Predicting the Fatigue Life Behaviors of Austenitic Steels and Welded Joints in Ultra-Supercritical Power Plants
Abstract
1. Introduction
2. LCF Life Prediction Models and the Proposed Approach
2.1. Strain-Based Fatigue Life Prediction Model
2.2. Energy-Based Fatigue Life Prediction Models
2.3. A Proposed Approach for Unified Energy-Based Life Prediction Models
3. Test Methods for Validating Fatigue Life Prediction Models
3.1. Materials and Test Specimen Preparation
3.2. Tensile and Low-Cycle Fatigue Tests
4. Results and Discussion
4.1. Tensile and Cyclic Stress–Strain Responses
4.1.1. Tensile Stress–Strain Behavior and Properties
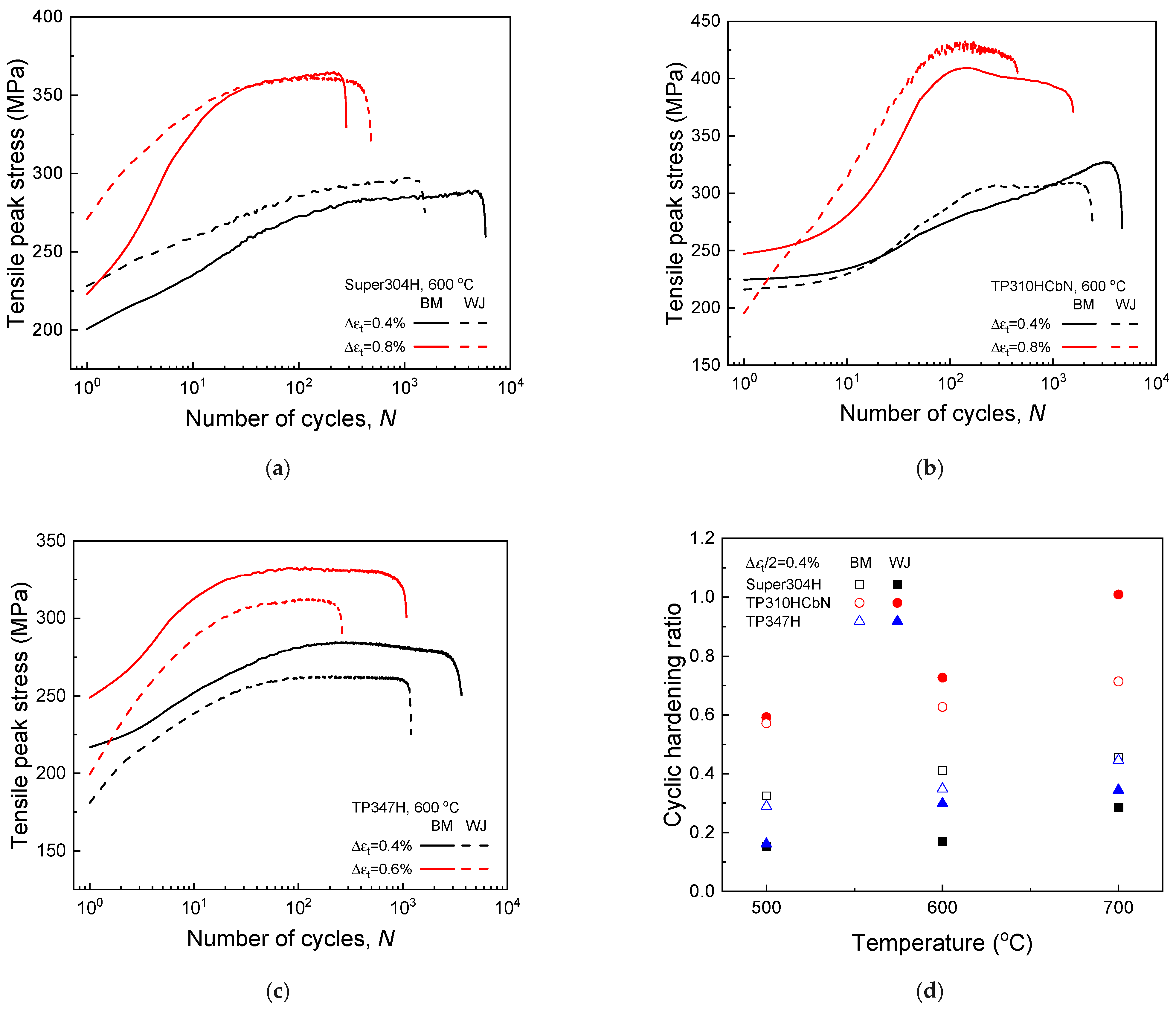
4.1.2. Cyclic Stress–Strain Behavior
4.2. Fatigue Damage Parameters
4.3. Comparison of Fatigue Life Prediction Models and Verification of the Proposed Approach
5. Conclusions
Supplementary Materials
Author Contributions
Funding
Data Availability Statement
Conflicts of Interest
References
- Abe, F. Progress in creep-resistant steels for high efficiency coal fired power plants. J. Press. Vessel. Technol. 2016, 138, 040804. [Google Scholar] [CrossRef]
- Abe, F. Research and development of heat-resistant materials for advanced USC power plants with steam temperatures of 700 °C and above. Engineering 2015, 1, 211–224. [Google Scholar] [CrossRef]
- Chi, C.; Yu, H.; Xie, X. Advanced austenitic heat-resistant steels for Ultra-Super Critical (USC) fossil power plants. In Alloy Steel—Properties and Use; Morales, E.V., Ed.; IntechOpen: London, UK, 2011; Volume 1, pp. 171–200. [Google Scholar]
- Yoo, K.; He, Y.; Lee, H.; Bae, S.; Kim, D.; Shin, K. Study of the scale formed on super 304H boiler tube steels after long-term steam oxidation at high temperatures. Mater. Charact. 2018, 146, 71–80. [Google Scholar] [CrossRef]
- Yoo, K.; He, Y.; Lee, H.; Bae, S.; Kim, D. Study on the microstructural degradation of the boiler tubes for coal-fired power plants. KEPCO J. Electr. Power Energy 2018, 4, 25–31. [Google Scholar]
- Kim, J.; Kim, B.K.; Kim, D.; Choi, P.; Raabe, D.; Yi, K. The role of grain boundaries in the initial oxidation behavior of austenitic stainless steel containing alloyed Cu at 700 °C for advanced thermal power plant applications. Corros. Sci. 2015, 96, 52–66. [Google Scholar] [CrossRef]
- Li, Y.; Wang, X. Strengthening mechanisms and creep rupture behavior of advanced austenitic heat resistant steel SA-213 S31035 for A-USC power plants. Mater. Sci. Eng. A 2020, 775, 138991. [Google Scholar] [CrossRef]
- Zhang, J.; Hu, Z.; Zhai, G.; Zhang, Z.; Gao, Z. Creep damage characteristics and evolution of HR3C austenitic steel during long term creep. Mater. Sci. Eng. A 2022, 832, 142432. [Google Scholar] [CrossRef]
- Che, C.; Yan, K.; Ma, S.H.; Qian, G. Creep behavior and microstructural evolution for TP347H austenite steel used in China power plants. Mater. High Temp. 2022, 39, 572–577. [Google Scholar] [CrossRef]
- Dong, Z.; Chen, L.; Xiang, Z.D. Design of a new11Cr martensitic steel and evaluation of its long-term creep rupture strengths. J. Mater. Res. Technol. 2022, 20, 3450–3455. [Google Scholar] [CrossRef]
- Liang, Z.; Zhao, Q. Steam oxidation of austenitic heat-resistant steels TP347H and TP347HFG at 650–800 °C. Materials 2019, 12, 577. [Google Scholar] [CrossRef]
- Gao, Z.; Hu, Z.; Zhang, J.; Wang, J.; Zhang, Z. Effect of on-site service for 16,000 and 38,000h on microstructure and mechanical properties of austenitic steel HR3C reheater tubes. Eng. Fail. Anal. 2023, 149, 107247. [Google Scholar] [CrossRef]
- Maziasz, P.J. Development of creep-resistant and oxidation-resistant austenitic stainless steels for high temperature applications. JOM 2018, 70, 66–75. [Google Scholar] [CrossRef]
- Dudziak, T.; Rząd, E.; Golański, G.; Solecka, M.; Boroń, Ł.; Wieczorek, P. Effect of aging process on steam oxidation behaviour of austenitic steels Super 304H and HR3C. Int. J. Press. Vessels Pip. 2021, 191, 104344. [Google Scholar] [CrossRef]
- Zhou, Y.; Zou, D.; Pang, Y.; Wei, T.; Zhang, W.; Zhang, Y.; Tong, L.; Lv, X.; Chen, W. Comparative study on the oxidation behavior of austenitic and ferritic heat-resistant stainless steels at high temperatures. JOM 2019, 71, 3744–3754. [Google Scholar] [CrossRef]
- Zhu, Z.; Jiang, D.; Cao, Q.; Xu, H.; Khan, H.I.; Zhang, N. Oxidation behavior of austenitic steel Sanicro25 and TP347HFG in supercritical water. Mater. Corros. 2019, 70, 1087–1098. [Google Scholar] [CrossRef]
- Viswanathan, R.; Bakker, W. Materials for ultra-supercritical coal power plants–Boiler materials: Part 1. J. Mater. Eng. Perform. 2001, 10, 81–95. [Google Scholar] [CrossRef]
- Semba, H.; Okada, H.; Hamaguch, T.; Ishkawa, S.; Yoshizawa, M. Development of boiler tubes and pipes for advanced USC power plants. Nippon. Steel Sumitomo Met. Tech. Rep. 2015, 107, 71–77. [Google Scholar]
- Pilsová, L.; Horváth, J.; Mára, V. Structural stability of the Super304H steel used in energetics. Materials 2022, 15, 455. [Google Scholar] [CrossRef]
- Yang, X.; Xu, Y.; Lu, J.; Guo, Z.; Dang, Y.; Huang, J.; Li, W. Subsurface microstructural degeneration of Super304H boiler tube under the synergy of fireside corrosion and creep stress. Corro. Sci. 2022, 200, 110250. [Google Scholar] [CrossRef]
- Sun, J.; Wang, T.; Liu, F.; Zhang, Z.; Chen, Y.; Lin, H.; Liu, H.; Zhao, X.; Cheng, X. Microstructural and performance analysis of TP304H/T22 dissimilar steel welded joints. Materials 2023, 16, 4474. [Google Scholar] [CrossRef]
- Xu, L.; Yang, S.; Zhao, L.; Han, Y.; Jing, H.; Wang, K. Low cycle fatigue behavior and microstructure evolution of a novel Fe-22Cr-15Ni austenitic heat-resistant steel. J. Mater. Res. Technol. 2020, 9, 14388–14400. [Google Scholar] [CrossRef]
- Hwang, J.H.; Song, G.D.; Kim, D.; Huh, Y.; Park, B.C.; Hahn, J.; Hong, S. Tensile and fatigue properties of Super304H welded joint at elevated temperatures. Int. J. Fatigue 2021, 143, 105989. [Google Scholar] [CrossRef]
- Hwang, J.H.; Song, G.D.; Kim, D.; Tak, N.H.; Lim, J.; Hong, S. Microstructure and high-temperature mechanical properties of TP310HCbN welded joint. J. Mater. Res. Technol. 2022, 18, 3396–3409. [Google Scholar] [CrossRef]
- Song, G.D.; Hwang, J.H.; Kim, D.; Park, B.C.; Hahn, J.; Hong, S. Coexistence of two distinct fatigue failure mechanisms in Super 304H welded joint at elevated temperatures. Mater. Sci. Eng. A 2021, 819, 141465. [Google Scholar] [CrossRef]
- Morrow, J.D. Cyclic plastic strain energy and fatigue of metals. In Internal Friction, Damping, and Cyclic Plasticity; ASTM International: West Conshohocken, PA, USA, 1965. [Google Scholar]
- Halford, G.R.; Morrow, J.D. Low-cycle fatigue in torsion. Proc. Am. Soc. Test. Mater. 1962, 62, 695–707. [Google Scholar]
- Coffin, L.F., Jr.; Schenectady, N.Y. A study of the effects of cyclic thermal stresses on a ductile metal. Trans. ASME 1954, 76, 931–949. [Google Scholar] [CrossRef]
- Basquin, O.H. The exponential law of endurance tests. Proc. Am. Soc. Test. Mater. 1910, 10, 625–630. [Google Scholar]
- Hong, S.; Lee, S.; Byun, T. Temperature effect on the low-cycle fatigue behavior of type 316L stainless steel: Cyclic non-stabilization and an invariable fatigue parameter. Mater. Sci. Eng. A 2007, 457, 139–147. [Google Scholar] [CrossRef]
- Ramberg, W.; Osgood, W.R. Description of Stress-Strain Curves by Three Parameters; National Advisory Committee for Aeronautics (NACA): Washington, DC, USA, 1943. [Google Scholar]
- Lee, K.; Hong, S.; Lee, S. A new energy-based fatigue damage parameter in life prediction of high-temperature structural materials. Mater. Sci. Eng. A 2008, 496, 471–477. [Google Scholar] [CrossRef]
- Ellyn, F. Fatigue Damage, Crack Growth and Life Prediction, 1st ed.; Chapman and Hall: London, UK, 1997. [Google Scholar]
- Hong, S.; Youn, S.; Lee, S. The influence of temperature on low cycle fatigue behavior of prior cold worked 316L stainless steel (I)—Monotonic and cyclic behavior. Trans. Korean Soc. Mech. Eng. A 2004, 28, 333–342. [Google Scholar]
- ISO 6892-1; Metallic Materials—Tension Testing—Part 1: Method of Test at Room Temperature. International Organization for Standardization [ISO]: Geneva, Switzerland, 2009.
- ISO 6892-2; Metallic Materials—Tension Testing—Part 2: Method of Test at Elevated Temperature. International Organization for Standardization [ISO]: Geneva, Switzerland, 2009.
- ASTM E606-04; Standard Practice for Strain-Controlled Fatigue Testing. ASTM International: West Conshohocken, PA, USA, 2005.
- Peng, K.; Qian, K.; Chen, W. Effect of dynamic strain aging on high temperature properties of austenitic stainless steel. Mater. Sci. Eng. A 2004, 379, 372–377. [Google Scholar] [CrossRef]
- Muhamed, G.A.; Gündüz, S.; Erden, M.A.; Stemur, D.T. Dynamic strain aging behaviour in AISI 316L austenitic stainless steel under as-received and as-welded conditions. Metals 2017, 7, 362. [Google Scholar] [CrossRef]
- Kozłowska, A.; Grzegorczyk, B.; Morawiec, M.; Grajcar, A. Explanation of the PLC effect in advanced high-strength medium-Mn steels. A review. Materials 2019, 12, 4175. [Google Scholar] [CrossRef]
- Quitzke, C.; Huang, Q.; Biermann, H.; Volkova, O.; Wendler, M. Influence of C and N on strain-induced martensite formation in Fe-15Cr-7Mn-4Ni-0.5Si austenitic steel. Materials 2021, 14, 6502. [Google Scholar] [CrossRef] [PubMed]












| Material | C | Si | Mn | Cr | Ni | Mo | N | Nb | Cu | P | S | Fe |
|---|---|---|---|---|---|---|---|---|---|---|---|---|
| Super304H (BM) | 0.09 | 0.21 | 0.76 | 17.8 | 8.39 | - | 0.2 | 0.42 | 2.87 | 0.06 | 0.01 | Bal. |
| T-304H (Filler) | 0.13 | 0.3 | 3.2 | 18.0 | 16.0 | 0.9 | 0.15 | 0.60 | 3.0 | 0.03 | 0.03 | Bal |
| TP310HCbN (BM) | 0.07 | 0.39 | 1.13 | 24.6 | 19.5 | - | 0.47 | 0.39 | - | 0.03 | 0.01 | Bal. |
| ER310 (Filler) | 0.01 | 0.50 | 1.70 | 26.0 | 21.0 | 0.15 | - | - | 0.75 | 0.01 | 0.01 | Bal |
| TP347H (BM) | 0.05 | 0.51 | 1.39 | 16.4 | 9.22 | - | - | 0.43 | - | 0.03 | 0.01 | Bal. |
| ER347 (Filler) | 0.06 | 0.45 | 1.76 | 20.3 | 9.98 | 0.11 | - | 0.39 | 0.21 | 0.03 | 0.01 | Bal. |
| Temperature (°C) | 23 | 100 | 200 | 300 | 400 | 500 | 550 | 600 | 650 | 700 | |
|---|---|---|---|---|---|---|---|---|---|---|---|
| Super304H | BM | 2098.8 (-) | 1736.1 (-) | 1541.2 (-) | 1415.5 (-) | 1209.0 (94.1) a | 1050.5 (38.6) | 955.5 (53.0) | 984.9 (82.7) | 934.8 (34.9) | 905.7 (21.6) |
| WJ | 997.6 (-) | 915.5 (-) | 790.8 (-) | 714.6 (-) | 599.4 (6.9) | 462.1 (5.0) | 409.6 (90.7) | 385.0 (11.1) | 360.4 (14.4) | 340.7 (30.7) | |
| TP310HCbN | BM | 1325.5 (9.6) | 1135.9 (4.4) | 1043 (20.5) | 917.6 (11.8) | 806.6 (9.4) | 788.6 (12.3) | 670.0 (20.9) | 593.9 (13.3) | 551.0 (6.8) | 516.0 (12.3) |
| WJ | 1135.9 (-) | 945.3 (-) | 915.6 (-) | 854.6 (-) | 788.6 (22.6) | 754.3 (18.5) | 656.4 (12.5) | 615.7 (41.5) | 521.5 (6.5) | 475.8 (18.2) | |
| TP347H | BM | 1744.5 (23.5) | 1431.5 (19.9) | 1141.5 (27.5) | 952.9 (34.1) | 764.8 (27.2) | 691.1 (15.6) | 662.3 (32.2) | 615.1 (41.5) | 574.3 (13.7) | 533.3 (17.1) |
| WJ | 1318.5 (25.1) | 1326.6 (29.5) | 904.61 (31.2) | 919.9 (30.2) | 548.0 (14.5) | 472.8 (10.6) | 450.8 (23.9) | 407.2 (24.6) | 324.1 (11.5) | 245.8 (23.0) | |
| BM | WJ | |||||||||||
|---|---|---|---|---|---|---|---|---|---|---|---|---|
| Temp. (°C) | 500 | 600 | 700 | 500 | 600 | 700 | ||||||
| Material Constant | m | C (MJ/m3) | m | C (MJ/m3) | m | C (MJ/m3) | m | C (MJ/m3) | m | C (MJ/m3) | m | C (MJ/m3) |
| Super304H | 0.5 | 202 | 0.39 | 75 | 0.44 | 82 | 0.97 | 4667 | 0.67 | 412 | 0.76 | 453 |
| TP310HCbN | 0.77 | 3232 | 0.74 | 1739 | 0.84 | 2314 | 0.75 | 1493 | 0.72 | 807 | 0.84 | 1136 |
| TP347H | 0.67 | 873 | 0.68 | 668 | 0.77 | 1004 | 0.71 | 694 | 0.75 | 580 | 0.88 | 1055 |
Disclaimer/Publisher’s Note: The statements, opinions and data contained in all publications are solely those of the individual author(s) and contributor(s) and not of MDPI and/or the editor(s). MDPI and/or the editor(s) disclaim responsibility for any injury to people or property resulting from any ideas, methods, instructions or products referred to in the content. |
© 2024 by the authors. Licensee MDPI, Basel, Switzerland. This article is an open access article distributed under the terms and conditions of the Creative Commons Attribution (CC BY) license (https://creativecommons.org/licenses/by/4.0/).
Share and Cite
Hwang, J.H.; Kim, D.-W.; Lim, J.-Y.; Hong, S.-G. Energy-Based Unified Models for Predicting the Fatigue Life Behaviors of Austenitic Steels and Welded Joints in Ultra-Supercritical Power Plants. Materials 2024, 17, 2186. https://doi.org/10.3390/ma17102186
Hwang JH, Kim D-W, Lim J-Y, Hong S-G. Energy-Based Unified Models for Predicting the Fatigue Life Behaviors of Austenitic Steels and Welded Joints in Ultra-Supercritical Power Plants. Materials. 2024; 17(10):2186. https://doi.org/10.3390/ma17102186
Chicago/Turabian StyleHwang, Jeong Ho, Dae-Woong Kim, Jae-Yong Lim, and Seong-Gu Hong. 2024. "Energy-Based Unified Models for Predicting the Fatigue Life Behaviors of Austenitic Steels and Welded Joints in Ultra-Supercritical Power Plants" Materials 17, no. 10: 2186. https://doi.org/10.3390/ma17102186
APA StyleHwang, J. H., Kim, D.-W., Lim, J.-Y., & Hong, S.-G. (2024). Energy-Based Unified Models for Predicting the Fatigue Life Behaviors of Austenitic Steels and Welded Joints in Ultra-Supercritical Power Plants. Materials, 17(10), 2186. https://doi.org/10.3390/ma17102186

