Utilizing ANN for Predicting the Cauchy Stress and Lateral Stretch of Random Elastomeric Foams under Uniaxial Loading
Abstract
1. Introduction
2. Materials and Methods
2.1. ANN Constitutive Equation
2.2. Design Space Definition
2.3. Numerical Simulation
2.4. ANN Model
- (1)
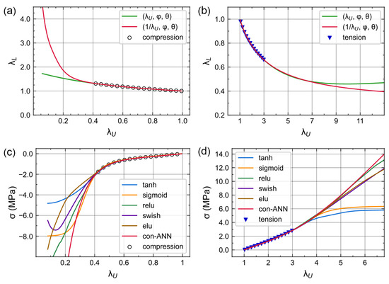
- Choosing the appropriate input variable form: According to the equation in our case, there is an inverse relation between the two stretches. It means that the λL should approach infinity when λU closes to zero. Therefore, we replaced λU with 1/λU as the input of pre-ANN.
- (2)
- Choosing the appropriate activation function: Theoretically, stress will become infinitely large as deformation continues. Common activation functions such as tanh and sigmoid are bounded functions; although they can provide good nonlinear fitting within the dataset, they cannot be extrapolated to cases where λU is very large. We chose the softplus activation function (6) for our ANNs to meet this requirement. The output of the softplus monotonically increases with the increase of the input.
3. Results and Discussion
3.1. Model Evaluation
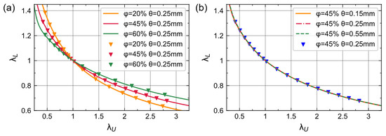
3.2. Predictions of λL and Cauchy Stress
3.3. Extrapolations of λU
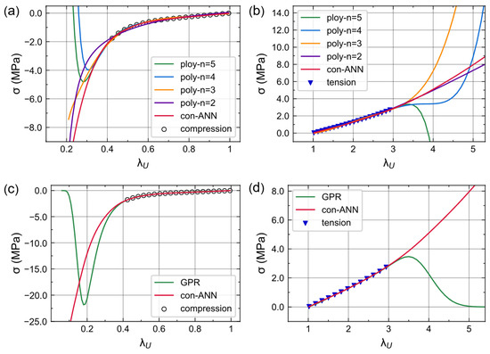
3.4. Comparison with Polynomial and GPR
3.5. Applications
4. Conclusions
Author Contributions
Funding
Institutional Review Board Statement
Informed Consent Statement
Data Availability Statement
Conflicts of Interest
References
- Métivier, T.; Cassagnau, P. New trends in cellular silicone: Innovations and applications. J. Cell. Plast. 2018, 55, 151–200. [Google Scholar] [CrossRef]
- Zhai, W.; Jiang, J.; Park, C.B. A review on physical foaming of thermoplastic and vulcanized elastomers. Polym. Rev. 2022, 62, 95–141. [Google Scholar] [CrossRef]
- Koohbor, B.; Blourchian, A.; Uddin, K.Z.; Youssef, G. Characterization of energy absorption and strain rate sensitivity of a novel elastomeric polyurea foam. Adv. Eng. Mater. 2021, 23, 2000797. [Google Scholar] [CrossRef]
- Subhash, G.; Liu, Q.; Gao, X.L. Quasistatic and high strain rate uniaxial compressive response of polymeric structural foams. Int. J. Impact Eng. 2006, 32, 1113–1126. [Google Scholar] [CrossRef]
- Clough, E.C.; Plaisted, T.A.; Eckel, Z.C.; Cante, K.; Hundley, J.M.; Schaedler, T.A. Elastomeric microlattice impact attenuators. Matter 2019, 1, 1519–1531. [Google Scholar] [CrossRef]
- Gibson, L.J. Cellular solids. Mrs Bull. 2003, 28, 270–274. [Google Scholar] [CrossRef]
- Fan, Z.G.; Chen, C.Q.; Hu, W.J.; Niu, W.; Zhang, X.M. Numerical Study on the Large Deformation of Silicone Rubber Foams Based on Random Cell Models. Adv. Mater. Res. 2011, 189–193, 2087–2091. [Google Scholar] [CrossRef]
- Blatz, P.J.; Ko, W.L. Application of Finite Elastic Theory to the Deformation of Rubbery Materials. Trans. Soc. Rheol. 1962, 6, 223–252. [Google Scholar] [CrossRef]
- Ogden, R.W.; Saccomandi, G.; Sgura, I. Fitting hyperelastic models to experimental data. Comput. Mech. 2004, 34, 484–502. [Google Scholar] [CrossRef]
- Hill, R. Aspects of invariance in solid mechanics. Adv. Appl. Mech. 1979, 18, 1–75. [Google Scholar]
- Landauer, A.K.; Li, X.; Franck, C.; Henann, D.L. Experimental characterization and hyperelastic constitutive modeling of open-cell elastomeric foams. J. Mech. Phys. Solids 2019, 133, 103701. [Google Scholar] [CrossRef]
- Attard, M.M.; Hunt, G.W. Hyperelastic constitutive modeling under finite strain. Int. J. Solids Struct. 2004, 41, 5327–5350. [Google Scholar] [CrossRef]
- Danielsson, M.; Parks, D.; Boyce, M. Constitutive modeling of porous hyperelastic materials. Mech. Mater. 2004, 36, 347–358. [Google Scholar] [CrossRef]
- Lewis, M. A robust, compressible, hyperelastic constitutive model for the mechanical response of foamed rubber. Tech. Mech.-Eur. J. Eng. Mech. 2016, 36, 88–101. [Google Scholar]
- Rubin, M.B.; Dorfmann, L. A hyperelastic model for soft polymer foam including micromechanics of porosity. J. Elast. 2020, 138, 205–220. [Google Scholar] [CrossRef]
- Tang, W.; Liao, X.; Zhang, Y.; Li, J.; Wang, G.; Li, G. Mechanical–microstructure relationship and cellular failure mechanism of silicone rubber foam by the cell microstructure designed in supercritical CO2. J. Phys. Chem. C 2019, 123, 26947–26956. [Google Scholar] [CrossRef]
- Syahrin, S.M.; Zunaida, Z.; Hakimah, O.; Nuraqmar, S.M.S. Effect of blowing agent on compression and morphological properties of natural rubber latex foam. AIP Conf. Proc. 2020, 2267, 020037. [Google Scholar]
- Morgan, D.; Jacobs, R. Opportunities and Challenges for Machine Learning in Materials Science. Annu. Rev. Mater. Res. 2020, 50, 71–103. [Google Scholar] [CrossRef]
- Wei, J.; Chu, X.; Sun, X.; Xu, K.; Deng, H.; Chen, J.; Wei, Z.; Lei, M. Machine learning in materials science. InfoMat 2019, 1, 338–358. [Google Scholar] [CrossRef]
- Guo, K.; Yang, Z.; Yu, C.-H.; Buehler, M.J. Artificial intelligence and machine learning in design of mechanical materials. Mater. Horiz. 2021, 8, 1153–1172. [Google Scholar] [CrossRef]
- Bessa, M.A.; Glowacki, P.; Houlder, M. Bayesian Machine Learning in Metamaterial Design: Fragile Becomes Supercompressible. Adv. Mater. 2019, 31, e1904845. [Google Scholar] [CrossRef] [PubMed]
- Zheng, X.; Chen, T.-T.; Jiang, X.; Naito, M.; Watanabe, I. Deep-learning-based inverse design of three-dimensional architected cellular materials with the target porosity and stiffness using voxelized Voronoi lattices. Sci. Technol. Adv. Mater. 2023, 24, 2157682. [Google Scholar] [CrossRef] [PubMed]
- Zheng, X.; Chen, T.-T.; Guo, X.; Samitsu, S.; Watanabe, I. Controllable inverse design of auxetic metamaterials using deep learning. Mater. Des. 2021, 211, 110178. [Google Scholar] [CrossRef]
- Bock, F.E.; Aydin, R.C.; Cyron, C.J.; Huber, N.; Kalidindi, S.R.; Klusemann, B. A Review of the Application of Machine Learning and Data Mining Approaches in Continuum Materials Mechanics. Front. Mater. 2019, 6, 110. [Google Scholar] [CrossRef]
- Shen, Y.; Chandrashekhara, K.; Breig, W.F.; Oliver, L.R. Neural network based constitutive model for rubber material. Rubber Chem. Technol. 2004, 77, 257–277. [Google Scholar] [CrossRef]
- Liang, G.; Chandrashekhara, K. Neural network based constitutive model for elastomeric foams. Eng. Struct. 2008, 30, 2002–2011. [Google Scholar] [CrossRef]
- Jang, D.P.; Fazily, P.; Yoon, J.W. Machine learning-based constitutive model for J2- plasticity. Int. J. Plast. 2021, 138, 102919. [Google Scholar] [CrossRef]
- Linka, K.; Hillgärtner, M.; Abdolazizi, K.P.; Aydin, R.C.; Itskov, M.; Cyron, C.J. Constitutive artificial neural networks: A fast and general approach to predictive data-driven constitutive modeling by deep learning. J. Comput. Phys. 2021, 429, 110010. [Google Scholar] [CrossRef]
- Frankel, A.; Hamel, C.M.; Bolintineanu, D.; Long, K.; Kramer, S. Machine learning constitutive models of elastomeric foams. Comput. Methods Appl. Mech. Eng. 2022, 391, 114492. [Google Scholar] [CrossRef]
- Vahidifar, A.; Esmizadeh, E.; Rostami, E.; Khorasani, S.N.; Rodrigue, D. Morphological, rheological, and mechanical properties of hybrid elastomeric foams based on natural rubber, nanoclay, and nanocarbon black. Polym. Compos. 2019, 40, 4289–4299. [Google Scholar] [CrossRef]
- Luan, S.; Kraynik, A.M.; Gaitanaros, S. Microscopic and macroscopic instabilities in elastomeric foams. Mech. Mater. 2022, 164, 104124. [Google Scholar] [CrossRef]
- Huber, A.L.; Gibson, L.J. Anisotropy of foams. J. Mater. Sci. 1988, 23, 3031–3040. [Google Scholar] [CrossRef]
- Andersons, J.; Kirpluks, M.; Stiebra, L.; Cabulis, U. Anisotropy of the stiffness and strength of rigid low-density closed-cell polyisocyanurate foams. Mater. Des. 2016, 92, 836–845. [Google Scholar] [CrossRef]
- Linul, E.; Marsavina, L.; Voiconi, T.; Sadowski, T. Sadowski. Study of factors influencing the mechanical properties of polyurethane foams under dynamic compression. J. Phys. Conf. Series. 2013, 451, 012002. [Google Scholar] [CrossRef]
- GeoDict, the Digital Material Laboratory. Available online: www.geodict.com (accessed on 10 September 2022).
- Linden, S.; Cheng, L.; Wiegmann, A. Specialized Methods for Direct Numerical Simulations in Porous Media; M2M Report; No. 2018-01; Math2Market GmbH: Kaiserslautern, Germany, 2018. [Google Scholar] [CrossRef]
- Sobol, I.M. Uniformly distributed sequences with an additional uniform property. USSR Comput. Math. Math. Phys. 1976, 16, 236–242. [Google Scholar] [CrossRef]
- Ogden, R.W. Non-Linear Elastic Deformations; Courier Corporation: Chelmsford, MA, USA, 1997. [Google Scholar]
- Feng, L.; Zhou, L.; Feng, S. Preparation and characterization of silicone rubber cured via catalyst-free aza-Michael reaction. RSC Adv. 2016, 6, 111648–111656. [Google Scholar] [CrossRef]
- Barnard, E.; Wessels, L. Extrapolation and interpolation in neural network classifiers. IEEE Control Syst. Mag. 1992, 12, 50–53. [Google Scholar]
- Rostami-Tapeh-Esmaeil, E.; Heydari, A.; Vahidifar, A.; Esmizadeh, E.; Rodrigue, D. Experimental and Finite Element Simulation of Polyolefin Elastomer Foams Using Real 3D Structures: Effect of Foaming Agent Content. Polymers 2022, 14, 4692. [Google Scholar] [CrossRef]
- Heydari, A.; Vahidifar, A.; Esmizadeh, E.; Rodrigue, D. Experimental and finite element simulation of natural rubber foams using real 3D structures. Polymer 2020, 197, 122505. [Google Scholar] [CrossRef]
- Williams, C.K.I.; Rasmussen, C.E. Gaussian Processes for Machine Learning; MIT Press: Cambridge, MA, USA, 2006; Volume 2. [Google Scholar]
- GPy, GPy: A Gaussian Process Framework in Python. 2012. Available online: http://github.com/SheffieldML/GPy (accessed on 12 January 2023).









| Input Variables | θ (mm) | φ (%) | λU |
|---|---|---|---|
| Lower bound | 0.1 | 20 | 0.4 |
| Upper bound | 0.5 | 60 | 3 |
| Model/Metrics | R2 | MAPE |
|---|---|---|
| pre-ANN | 0.999 | 0.1% |
| con-ANN | 0.997 | 3.2% |
| Poly-n = 2 | 0.988 | 25.9% |
| Poly-n = 3 | 0.995 | 13.4% |
| Poly-n = 4 | 0.9965 | 6.8% |
| Poly-n = 5 | 0.9968 | 3.8% |
| GPR | 0.998 | 4.2% |
Disclaimer/Publisher’s Note: The statements, opinions and data contained in all publications are solely those of the individual author(s) and contributor(s) and not of MDPI and/or the editor(s). MDPI and/or the editor(s) disclaim responsibility for any injury to people or property resulting from any ideas, methods, instructions or products referred to in the content. |
© 2023 by the authors. Licensee MDPI, Basel, Switzerland. This article is an open access article distributed under the terms and conditions of the Creative Commons Attribution (CC BY) license (https://creativecommons.org/licenses/by/4.0/).
Share and Cite
Liu, Z.; Wang, C.; Lai, Z.; Guo, Z.; Chen, L.; Zhang, K.; Yi, Y. Utilizing ANN for Predicting the Cauchy Stress and Lateral Stretch of Random Elastomeric Foams under Uniaxial Loading. Materials 2023, 16, 3474. https://doi.org/10.3390/ma16093474
Liu Z, Wang C, Lai Z, Guo Z, Chen L, Zhang K, Yi Y. Utilizing ANN for Predicting the Cauchy Stress and Lateral Stretch of Random Elastomeric Foams under Uniaxial Loading. Materials. 2023; 16(9):3474. https://doi.org/10.3390/ma16093474
Chicago/Turabian StyleLiu, Zhentao, Chaoyang Wang, Zhenyu Lai, Zikang Guo, Liang Chen, Kai Zhang, and Yong Yi. 2023. "Utilizing ANN for Predicting the Cauchy Stress and Lateral Stretch of Random Elastomeric Foams under Uniaxial Loading" Materials 16, no. 9: 3474. https://doi.org/10.3390/ma16093474
APA StyleLiu, Z., Wang, C., Lai, Z., Guo, Z., Chen, L., Zhang, K., & Yi, Y. (2023). Utilizing ANN for Predicting the Cauchy Stress and Lateral Stretch of Random Elastomeric Foams under Uniaxial Loading. Materials, 16(9), 3474. https://doi.org/10.3390/ma16093474

