Resulting Effect of the p-Type of ZnTe: Cu Thin Films of the Intermediate Layer in Heterojunction Solar Cells: Structural, Optical, and Electrical Characteristics
Abstract
1. Introduction
2. Experimental Procedures
3. Results and Discussion
3.1. Structural Analysis
3.2. X-ray Photoelectron Spectroscopy
3.3. Optical Properties
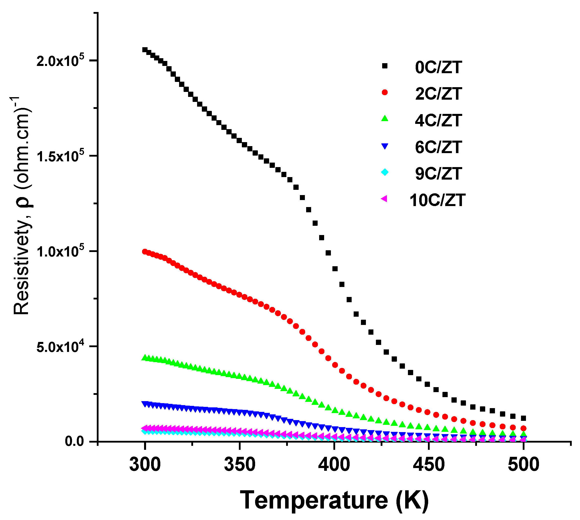
3.4. Electrical Characteristics
3.5. ZnTe Layer and ZnTe:Cu Buffer Layer Effects on CdS/CdTe Solar Cell Performance
4. Conclusions
Author Contributions
Funding
Institutional Review Board Statement
Informed Consent Statement
Data Availability Statement
Acknowledgments
Conflicts of Interest
References
- Palekis, V.; Shen, D.; Hodges, D.; Bhandaru, S.; Stefanakos, E.; Morel, D.L.; Ferekides, C.S. Structural properties of CdTe and ZnTe thin films deposited on flexible foil substrates. In Proceedings of the 2010 35th IEEE Photovoltaic Specialists Conference, Honolulu, HI, USA, 20–25 June 2010; pp. 1960–1963. [Google Scholar]
- Lastra, G.; Olivas, A.; Mejía, J.I.; Quevedo-López, M.A. Thin-films and transistors of p-ZnTe. Solid-State Electron. 2016, 116, 56–59. [Google Scholar] [CrossRef]
- Liu, Z.; Chen, G.; Liang, B.; Yu, G.; Huang, H.; Chen, D.; Shen, G. Fabrication of high-quality ZnTe nanowires toward high-perfor- mance rigid/flexible visible light photodetectors. Opt. Express 2013, 21, 7799–7810. [Google Scholar] [CrossRef] [PubMed]
- Rakgshani, A.E.; Thomas, S. Nitrogen doping of ZnTe for the preparation of ZnTe/ZnO light-emitting diode. J. Mater. Sci. 2013, 48, 6386–6392. [Google Scholar] [CrossRef]
- Aqili, A.K.S.; Ali, Z.; Maqsood, A. Characterization of zinc tel- luride thin films deposited by two-source technique and post- annealed in nitrogen ambient. J. Cryst. Growth 2011, 317, 47–51. [Google Scholar] [CrossRef]
- Mahapatra, A.; Prochowicz, D.; Tavakoli, M.M.; Trivedi, S.; Kumar, P.; Yadav, P. A review of aspects of additive engineering in perovskite solar cells. J. Mater. Chem. A 2020, 8, 27–54. [Google Scholar] [CrossRef]
- Mahapatra, A.; Prochowicz, D.; Kruszyńska, J.; Satapathi, S.; Akin, S.; Kumari, H.; Kumar, P.; Fazel, Z.; Tavakoli, M.M.; Yadav, P. Effect of bromine doping on the charge transfer, ion migration and stability of the single crystalline MAPb(BrxI1−x)3 photodetector. J. Mater. Chem. C 2021, 9, 15189–15200. [Google Scholar] [CrossRef]
- Mahapatra, A.; Chavan, R.D.; Tavakoli, M.M.; Kumar, P.; Kalam, A.; Prochowicz, D.; Yadav, P. Revealing the Variation of Photodetectivity in MAPbI3 and MAPb(I0.88Br0.12)3 Single Crystal Based Photodetectors Under Electrical Poling-Induced Polarization. J. Phys. Chem. C 2022, 126, 13458–13466. [Google Scholar] [CrossRef]
- Ho, S.M.; Olusola, O.I.; Sharma, D.C.; Mahmood, W. Zinc Telluride Thin Films: A Review. Asian J. Chem. 2018, 30, 469–473. [Google Scholar] [CrossRef]
- Wang, W.; Xia, G.; Zheng, J.; Feng, L.; Hao, R. Study of polycrystalline ZnTe (ZnTe:Cu) thin films for photovoltaic cells. J. Mater. Sci. Mater. Electron. 2007, 18, 427–431. [Google Scholar] [CrossRef]
- Ahamed, J.U.; Begum, N.P.; Khan, M.N.I. Property elucidation of vacuum-evaporated zinc telluride thin film towards optoelectronic devices. Sadhana-Acad. Proc. Eng. Sci. 2017, 42, 1773–1781. [Google Scholar] [CrossRef]
- Fields, J.D.; Pach, G.; Horowitz, K.A.W.; Stockert, T.R.; Woodhouse, M.; van Hest, M.F.A.M. Printed interconnects for photovoltaic modules. Sol. Energy Mater. Sol. Cells 2017, 159, 536–545. [Google Scholar] [CrossRef]
- Bosio, A.; Ciprian, R.; Lamperti, A.I.; Rago, I.; Ressel, B.; Rosa, G.; Stupar, M.; Weschke, E. Interface phenomena between CdTe and ZnTe:Cu back contact. Solar Energy 2018, 176, 186–193. [Google Scholar] [CrossRef]
- Gessert, T.A.; Colegrove, E.; Stafford, B.; Kodama, R.; Gao, W.; Moutinho, H.R.; Kuciauskas, D.; Reedy, R.C.; Barnes, T.M.; Sivananthan, S. II-VI Material Integration With Silicon for Detector and PV Applications. MRS Adv. 2016, 1, 3391–3402. [Google Scholar] [CrossRef]
- Potlog, T.; Duca, D.; Dobromir, M. Temperature-dependent growth and XPS of Ag-doped ZnTe thin films deposited by close space sublimation method. Appl. Surf. Sci. 2015, 352, 33–37. [Google Scholar] [CrossRef]
- Shaaban, E.R.; Kansal, I.; Mohamed, S.; Ferreira, J.M.F. Microstructural parameters and optical constants of ZnTe thin films with various thicknesses. Phys. B Condens. Matter 2009, 404, 3571–3576. [Google Scholar] [CrossRef]
- Shaaban, E.R.; El-Hagary, M.; Emam-Ismail, M.; Matar, A.; Yahia, I.S. Spectroscopic ellipsometry and magneto-transport investigations of Mn-doped ZnO nanocrystalline films deposited by a non-vacuum sol–gel spin-coating method. Mater. Sci. Eng. B 2013, 178, 183. [Google Scholar] [CrossRef]
- Prakash, D.; Aboraia, A.M.; El-Hagary, M.; Shaaban, E.R.; Verma, K.D. Determination of the optical constants and film thickness of ZnTe and ZnS thin films in terms of spectrophotometric and spectroscopic ellipsometry. Ceram. Int. 2016, 42, 2676–2685. [Google Scholar] [CrossRef]
- Alzaid, M.; Mohamed, W.S.; El-Hagary, M.; Shaaban, E.R.; Hadia, N.M.A. Optical properties upon ZnS film thickness in ZnS/ITO/glass multilayer films by ellipsometric and spectrophotometric investigations for solar cell and optoelectronic applications. Opt. Mater. 2021, 118, 111228. [Google Scholar] [CrossRef]
- Emam-Ismail, M.; El-Hagary, M.; Shaaban, E.R.; Althoyaib, S. Structural and optical investigation of nanocrystalline Zn1− xNixS diluted magnetic semiconductor thin films. J. Alloys Compd. 2012, 529, 113–121. [Google Scholar] [CrossRef]
- El-Hagary, M.; Emam-Ismail, M.; Mohamed, S.H.; Hamid, A.S.; Althoyaib, S. Structural and optical analysis of nanocrystalline thin films of mixed rare earth oxides (Y1-xErx)2O3. Thin Solid Film. 2010, 518, 4058–4065. [Google Scholar] [CrossRef]
- Shaaban, E.R. Optical constants and fitted transmittance spectra of varies thickness of polycrystalline ZnSe thin films in terms of spectroscopic ellipsometry. J. Alloys Compd. 2013, 563, 274–279. [Google Scholar] [CrossRef]
- Rietveld, H.M. A profile refinement method for nuclear and magnetic structures. J. Appl. Cryst. 1969, 2, 65–71. [Google Scholar] [CrossRef]
- Lastra, G.; Luque, P.A.; Quevedo-Lopez, M.A.; Olivas, A. Electrical properties of p-type ZnTe thin films by immersion in Cu solution. Mater. Lett. 2014, 126, 271–273. [Google Scholar] [CrossRef]
- Hernandez-Como, N.; Berrellez-Reyes, F.; Mizquez-Corona, R.; Ramirez-Esquivel, O.; Mejia, I.; Quevedo-López, M. CdS-based p-i-n diodes using indium and copper doped CdS films by pulsed laser deposition. Semicond. Sci. Technol. 2015, 30, 065003–065010. [Google Scholar]
- El Akkad, F.Y.; Abdulraheem, Y. Morphology, electrical, and optical properties of heavily doped ZnTe:Cu thin films. J. Appl. Phys. 2013, 114, 183501–183512. [Google Scholar] [CrossRef]
- Wilson, A.J.C.; Peiser, H.S.; Rooksby, H.P. X-ray Diffraction by Polycrystalline Materials; Chapman & Hall for Institute of Physics: London, UK, 1955. [Google Scholar]
- Suryanarayana, C.; Norton, M.G. X-ray Diffraction: A Practical Approach; Springer Science & Business Media: Berlin/Heidelberg, Germany, 2013. [Google Scholar]
- Muiva, C.M.; Sathiaraj, T.S.; Maabong, K. Effect of doping concentration on the properties of aluminium doped zinc oxide thin films prepared by spray pyrolysis for transparent electrode applications. Ceram. Int. 2011, 37, 555–560. [Google Scholar] [CrossRef]
- Wojnarowicz, J.; Mukhovskyi, R.; Pietrzykowska, E.; Kusnieruk, S.; Mizeracki, J.; Lojkowski, W. Microwave solvothermal synthesis and characterization of manganese-doped ZnO nanoparticles. Beilstein J. Nanotechnol. 2016, 7, 721–732. [Google Scholar] [CrossRef]
- Xu, L.; Li, X.; Chen, Y.; Xu, F. Structural and optical properties of ZnO thin films prepared by sol-gel method with different thickness. Appl. Surf. Sci. 2011, 257, 4031–4037. [Google Scholar] [CrossRef]
- Farhat, O.F.; Halim, M.M.; Abdullah, M.J.; Ali, M.K.M.; Allam, N.K. Morphological and structural characterization of single-crystal ZnO nanorod arrays on flexible and non-flexible substrates. Beilstein J. Nanotechnol. 2015, 6, 720–725. [Google Scholar] [CrossRef]
- Awan, S.U.; Hasanain, S.K.; Bertino, M.F.; Jaffari, G.H. Effects of substitutional Li on the ferromagnetic response of Li co-doped ZnO:Co nanoparticles. J. Phys. Condens. Matter 2013, 25, 156005. [Google Scholar] [CrossRef]
- Mahmood, W.; Awan, S.U.; Ud Din, A.; Ali, J.; Nasir, M.F.; Ali, N.; ul Haq, A.; Kamran, M.; Parveen, B.; Rafiq, M.; et al. Pronounced Impact of p-Type Carriers and Reduction of Bandgap in Semiconducting ZnTe Thin Films by Cu Doping for Intermediate Buffer Layer in Heterojunction Solar Cells. Materials 2019, 12, 1359. [Google Scholar] [CrossRef] [PubMed]
- Swanepoel, R. Determination of surface roughness and optical constants of inhomogeneous amorphous silicon films. J. Phys. E: Sci. Instrum. 1984, 17, 896–903. [Google Scholar] [CrossRef]
- Marquez, E.; Ramirez-Malo, J.B.; Villares, P.; Jimenez-Garay, R.; Swanepoel, R. Optical characterization of wedge-shaped thin films of amorphous arsenic trisulphide based only on their shrunk transmission spectra. Thin Solid Film. 1995, 254, 83–91. [Google Scholar] [CrossRef]
- Swanepoel, R. Determination of the thickness and optical constants of amorphous silicon. J. Phys. E Sci. Instrum. 1983, 16, 1214–1222. [Google Scholar] [CrossRef]
- Kose, S.; Atay, F.; Bilgin, V.; Akyuz, I.; Ketenci, E. Optical characterization and determination of carrier density of ultrasonically sprayed CdS: Cu films. Appl. Surf. Sci. 2010, 256, 4299–4303. [Google Scholar] [CrossRef]
- Mohamed, M.; Abdelraheem, A.M.; Abd-Elrahman, M.I.; Hadia NM, A.; Shaaban, E.R. Composition dependence of structural and linear and non-linear optical properties of CdS1−xMnx semiconducting thin films. Appl. Phys. A 2019, 125, 483. [Google Scholar] [CrossRef]
- Moss, T. A Relationship between the refractive Index and the infra-red threshold of sensitivity for photoconductors. Proc. Phys. Soc. Sect. B 1950, 63, 167. [Google Scholar] [CrossRef]
- Wemple, S.H.; Seman, J.A. Optical transmission through multilayered structures. Appl. Opt. 1973, 12, 2947. [Google Scholar] [CrossRef]
- Tauc, J. Optical Properties of Solids; Abeles, F., Ed.; Springer: Amsterdam, The Netherlands, 1969. [Google Scholar]
- Grundmann, M. The Physics of Semiconductors; Springer: Berlin/Heidelberg, Germany; New York, NY, USA, 2006; ISBN 978-3-540-25370-9. [Google Scholar]
- Viezbicke, B.D.; Patel, S.; Davis, B.E.; Birnie, D.P., III. Evaluation of the Tauc method for optical absorption edge determination: ZnO thin films as a model system. Phys. Status Solidi (B) 2015, 252, 1700–1710. [Google Scholar] [CrossRef]
- Sharma, K.; Poonam; Saini, G.S.S.; Tripathi, S.K. A comparative study of transport properties of copper doped cadmium selenide thin films at two dopant concentrations. J. Mater. Sci. Mater. Electron. 2018, 29, 9596–9604. [Google Scholar] [CrossRef]
- Sahebi, R.; Roknabadi, M.R.; Behdani, M. Effect of Ag-doping on the structural, optical, electrical and photovoltaic properties of thermally evaporated Cadmium Selenide thin films. Mater. Res. Express 2019, 6, 126453. [Google Scholar] [CrossRef]


















| Sample’s Code | Weight % | Atomic % | ||||
|---|---|---|---|---|---|---|
| Zn (%) | Te (%) | Cu (%) | Zn (%) | Te (%) | Cu (%) | |
| 0C/ZT | 34.07 | 65.93 | 0 | 50 | 50 | 0 |
| 2C/ZT | 32.29 | 65.11 | 2.59 | 48 | 50 | 2 |
| 4C/ZT | 30.57 | 64.31 | 5.12 | 46 | 50 | 4 |
| 6C/ZT | 28.88 | 63.52 | 7.59 | 44 | 50 | 6 |
| 8C/ZT | 27.24 | 62.76 | 10 | 42 | 50 | 8 |
| 10C/ZT | 25.63 | 62.01 | 12.35 | 40 | 50 | 10 |
| Sample’s Code | Diffraction Peak 2θo | Interplanar Distance, d (Å) | Lattice Parameter, a (Å) | Crystallite Size (nm) | Lattice Strain (10−3) |
|---|---|---|---|---|---|
| 0C/ZT | 25.183 | 3.5321 | 6.1178 | 18.1 | 0.732 |
| 2C/ZT | 25.202 | 3.5295 | 6.1133 | 21.4 | 0.667 |
| 4C/ZT | 25.227 | 3.5261 | 6.1073 | 25.5 | 0.627 |
| 6C/ZT | 25.255 | 3.5222 | 6.1007 | 29.5 | 0.599 |
| 8C/ZT | 25.305 | 3.5154 | 6.0888 | 32.5 | 0.584 |
| 10C/ZT | 25.318 | 3.5136 | 6.0857 | 32.7 | 0.58 |
Disclaimer/Publisher’s Note: The statements, opinions and data contained in all publications are solely those of the individual author(s) and contributor(s) and not of MDPI and/or the editor(s). MDPI and/or the editor(s) disclaim responsibility for any injury to people or property resulting from any ideas, methods, instructions or products referred to in the content. |
© 2023 by the authors. Licensee MDPI, Basel, Switzerland. This article is an open access article distributed under the terms and conditions of the Creative Commons Attribution (CC BY) license (https://creativecommons.org/licenses/by/4.0/).
Share and Cite
Ahmed, M.; Alshahrie, A.; Shaaban, E.R. Resulting Effect of the p-Type of ZnTe: Cu Thin Films of the Intermediate Layer in Heterojunction Solar Cells: Structural, Optical, and Electrical Characteristics. Materials 2023, 16, 3082. https://doi.org/10.3390/ma16083082
Ahmed M, Alshahrie A, Shaaban ER. Resulting Effect of the p-Type of ZnTe: Cu Thin Films of the Intermediate Layer in Heterojunction Solar Cells: Structural, Optical, and Electrical Characteristics. Materials. 2023; 16(8):3082. https://doi.org/10.3390/ma16083082
Chicago/Turabian StyleAhmed, Moustafa, Ahmed Alshahrie, and Essam R. Shaaban. 2023. "Resulting Effect of the p-Type of ZnTe: Cu Thin Films of the Intermediate Layer in Heterojunction Solar Cells: Structural, Optical, and Electrical Characteristics" Materials 16, no. 8: 3082. https://doi.org/10.3390/ma16083082
APA StyleAhmed, M., Alshahrie, A., & Shaaban, E. R. (2023). Resulting Effect of the p-Type of ZnTe: Cu Thin Films of the Intermediate Layer in Heterojunction Solar Cells: Structural, Optical, and Electrical Characteristics. Materials, 16(8), 3082. https://doi.org/10.3390/ma16083082

