Fatigue Experiment Study on Internal Force Redistribution in the Negative Moment Zone of Steel–Concrete Continuous Composite Box Beams
Abstract
1. Introduction
2. Experimental Test
2.1. Design of the Test Specimens
2.2. Instrumentation
2.3. Experimental Program
3. Results and Discussion
3.1. Damage Mode and Fatigue Life
3.2. Plane Section Assumption
3.3. Slippage of Concrete–Steel Box Interface
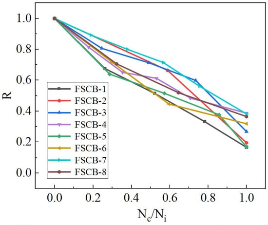
3.4. Load–Deflection Response and Residual Stiffness Degradation
4. Analysis and Calculation of Internal Force Redistribution
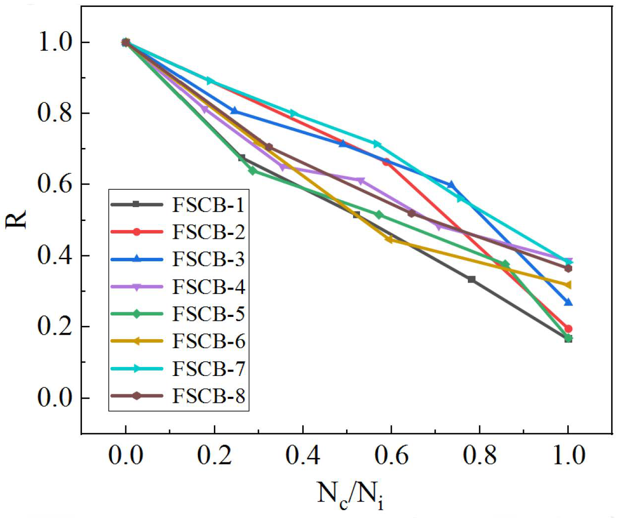
4.1. Internal Force Redistribution at the Middle Support during the Fatigue Progress
4.2. Internal Force Redistribution at the Middle Support When Approaching Fatigue Failure
5. Conclusions
- Under fatigue loading, the failure of steel–concrete composite continuous box beams exhibits a three-stage characteristic, and the fatigue failure mode is the fracture of the upper flange of the steel beam in the negative moment zone.
- The degradation of the residual stiffness shows an “S-shape pattern”. In the fatigue loading process, the stiffness of the concrete–steel composite box beams decreased more slowly with higher reinforcement ratio or stirrup ratio. When approaching fatigue failure, the residual stiffness of FSCB-1 to FSCB-8 reached 17% to 39%.
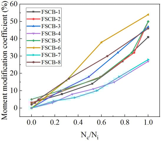
- Compared with the load amplitude or shear connection, the reinforcement ratio and stirrup ratio are significant factors that control the moment modification coefficient under fatigue load. When approaching fatigue failure, an increase of 1.0% in the reinforcement ratio or 0.27% in the stirrup ratio results in a reduction of 13% in the moment modification coefficient.
- The moment modification coefficient increases with an increase in the number of fatigue load cycles, and the curves show a quadratic function pattern. Based on the test results, this paper proposes a model to calculate the moment modification coefficient for steel–concrete continuous composite box beams during the fatigue process. The model showed good agreement with the test results for all specimens.
- The findings of this paper verify that the plastic hinge rotation theory is applicable for steel–concrete continuous composite box beams under fatigue load, by comparing the calculated results with the experimental results. However, it is necessary to consider the effects of the load amplitude and stirrup ratio on the stiffness and length of the negative moment zone to improve the calculation accuracy.
Author Contributions
Funding
Institutional Review Board Statement
Informed Consent Statement
Data Availability Statement
Conflicts of Interest
References
- Pardeshi, R.T.; Patil, Y.D. Review of various shear connectors composite structures. Adv. Steel Constr. 2021, 17, 394–402. [Google Scholar] [CrossRef]
- Liu, R.; Yang, Y. Research on fatigue performance of steel-plate-concrete composite slab. Thin-Walled Struct. 2021, 160, 107339. [Google Scholar] [CrossRef]
- Zhu, L.; Wang, H.L.; Han, B.; Zhao, G.Y.; Ren, X.Z. Dynamic analysis of a coupled steel-concrete composite box girder bridge-train system considering slip and shear-lag. Thin-Walled Struct. 2020, 157, 157060. [Google Scholar] [CrossRef]
- Pardeshi, R.T.; Patil, Y.D. Performance evaluation of innovative coconut palm stem shaped stud shear connector for composite structures. Adv. Steel Constr. 2022, 18, 763–772. [Google Scholar] [CrossRef]
- Luo, Y.B.; Sun, S.K.; Yan, J.B.; Zhao, Y.C.; Lam, D. Shear behavior of novel demountable bolted shear connector for prefabricated composite beam. Adv. Steel Constr. 2022, 18, 745–752. [Google Scholar] [CrossRef]
- Lin, W.W.; Yoda, T.; Taniguchi, N. Fatigue tests on straight steel–concrete composite beams subjected to hogging moment. J. Constr. Steel Res. 2013, 80, 42–56. [Google Scholar] [CrossRef]
- Li, X.Z.; Tan, Q.Q.; Xiao, L. Experimental study of fatigue behavior of steel and concrete composite beams. Bridge Constr. 2017, 47, 12–17. [Google Scholar]
- Zhou, Y.; Pu, Q.H.; Shi, Z.; Gou, H.Y.; Yang, S.L. Experimental study on fatigue performance of steel-concrete joint section of hybrid girder cable-stayed bridge. Adv. Steel Constr. 2022, 18, 536–543. [Google Scholar] [CrossRef]
- Wang, Y.H.; Nie, J.G.; Li, G.G. Study on fatigue property of steel–concrete composite beams and studs. J. Constr. Steel Res. 2014, 94, 1–10. [Google Scholar] [CrossRef]
- Liang, X.Y.; Yi, X.Y.; Wang, B.; Liu, X.L. Slip behavior of stud connectors of steel-concrete composite beams in the whole process of fatigue loading. Structures 2022, 44, 1607–1616. [Google Scholar] [CrossRef]
- Wang, B.; Huang, Q.; Liu, X.L.; Ding, Y. Study on stiffness deterioration in steel-concrete composite beams under fatigue loading. Steel. Compos. Struct. 2020, 34, 499–509. [Google Scholar] [CrossRef]
- Hanswille, G.; Dipl, M.P.; Ustundag, C. Studies of the lifetime of cyclically loaded steel-concrete composite bridges. Steel Construct. 2010, 3, 140–147. [Google Scholar] [CrossRef]
- Ovuoba, B.; Prinz, G.S. Fatigue capacity of headed shear studs in composite bridge girders. J. Bridge Eng. 2016, 21, 04016094. [Google Scholar] [CrossRef]
- Tan, Y.L.; Zhu, B.; Yan, T.Y.; Huang, B.; Wang, X.W.; Yang, W.W.; Huang, B. Experimental study of the mechanical behavior of the steel-concrete joints in a composite truss bridge. Appl. Sci. 2019, 9, 854. [Google Scholar] [CrossRef]
- Sjaarda, M.; Porter, T.; West, J.S.; Walbridge, S. Fatigue behavior of welded shear studs in precast composite beams. J. Bridge Eng. 2017, 22, 04017089. [Google Scholar] [CrossRef]
- Wang, B.; Huang, Q.; Liu, X.L.; Li, W. Experimental investigation of steel-concrete composite beams with different degrees of shear connection under monotonic and fatigue loads. Adv. Steel Constr. 2018, 21, 227–240. [Google Scholar] [CrossRef]
- de Oliveira, V.M.; Rossi, A.; Vendramell Ferreira, F.P.; Martins, C.H. Stability behavior of steel-concrete composite beams subjected to hogging moment. Thin-Walled Struct. 2021, 167, 108193. [Google Scholar] [CrossRef]
- Baša, N.; Kopitović Vuković, N.; Ulićević, M.; Muhadinović, M. Effects of Internal Force Redistribution on the Limit States of Continuous Beams with GFRP Reinforcement. Appl. Sci. 2020, 10, 3973. [Google Scholar] [CrossRef]
- Kara, I.F.; Ashour, A.F. Moment redistribution in continuous FRP reinforced concrete beams. Constr. Build Mater. 2013, 49, 939–948. [Google Scholar] [CrossRef]
- Gao, P.; Li, K.; Zheng, Y.X. Experimental study on fatigue performance of negative bending moment of steel-concrete continuous composite box girder. Adv. Civ. Eng. 2020, 2020, 8879746. [Google Scholar] [CrossRef]
- Wu, W.Q.; Dai, J.X.; Chen, L.; Liu, D.; Zhou, X.Y. Experiment analysis on crack resistance in negative moment zone of steel-concrete composite continuous girder improved by interfacial slip. Materials 2022, 15, 8319. [Google Scholar] [CrossRef] [PubMed]
- Zhang, X.B.; Zhang, Z.W.; Cao, G.H.; Mo, D.S. An experimental study on the flexural behavior of local prestressed steel-concrete composite continuous box beams. Adv. Struct. Eng. 2021, 24, 307–319. [Google Scholar] [CrossRef]
- Su, X.L.; Zhou, M.; Lu, Y.Y. Study on the shear behavior of prismatic and tapered continuous beams with corrugated steel webs under external prestressing force. J. Bridge Eng. 2023, 28, 04022144. [Google Scholar] [CrossRef]
- Hu, S.W.; Ye, X.F. Research on internal force redistribution of prestressed continuous steel-concrete composite beam. J. Disaster Prev. Mitig. Eng. 2013, 33, 231–234. [Google Scholar] [CrossRef]
- Sun, Y. Research on the Internal Force Redistribution and Fatigue Life of Continuous Composite Box Girder under Fatigue Loads. Master’s Thesis, Central South University, Changsha, China, 2020. [Google Scholar]
- El-Zohairy, A.; Salim, H.; Saucier, A. Fatigue tests on steel-concrete composite beams subjected to sagging moments. J. Struct. Eng. 2019, 145, 0401902. [Google Scholar] [CrossRef]
- Liu, J.; Lyu, F.; Ding, F.X.; Liu, X.M. Energy dissipation of steel-concrete composite beams subjected to vertical cyclic loading. Adv. Steel Constr. 2022, 18, 658–669. [Google Scholar] [CrossRef]
- JTG 3362-2018; Specifications for Design of Highway Reinforced Concrete and Prestressed Concrete Bridges and Culverts. Ministry of Transport of the People’s Republic of China: Beijing, China, 2018.
- GB/T 50152-2012; Standard for Test Method of Concrete Structures. Ministry of Housing and Urban-Rural Development of the People’s Republic of China: Beijing, China, 2012.
- Huang, M.P.; Li, X.L.; Mei, K.H.; Zhao, Y. Fatigue tests of composite decks with MCL connectors. Adv. Steel Constr. 2022, 18, 793–803. [Google Scholar] [CrossRef]
- Ai, Y.; Zhu, S.P.; Liao, D.; Correia, J.A.F.O.; Souto, C.; De Jesus, A.M.P.; Keshtegar, B. Probabilistic modeling of fatigue life distribution and size effect of components with random defects. Int. J. Fatigue 2019, 126, 165–173. [Google Scholar] [CrossRef]
















| Specimen | Load Amplitude/kN | Shear Connection Degree | Layout of Stud/mm | Space of Stud/mm | Reinforcement Ratio | Stirrup Ratio |
|---|---|---|---|---|---|---|
| FSCB-0 | / | 1 | Φ13 × 116 | 100 | 3.38% | 0.54% |
| FSCB-1 | 160–340 | 1 | Φ13 × 116 | 100 | 3.38% | 0.54% |
| FSCB-2 | 200–380 | 1 | Φ13 × 116 | 100 | 3.38% | 0.54% |
| FSCB-3 | 160–380 | 1 | Φ13 × 116 | 100 | 3.38% | 0.54% |
| FSCB-4 | 160–340 | 1 | Φ13 × 116 | 100 | 4.40% | 0.54% |
| FSCB-5 | 160–340 | 1 | Φ13 × 116 | 100 | 2.37% | 0.54% |
| FSCB-6 | 160–340 | 1 | Φ13 × 116 | 100 | 3.38% | 0.27% |
| FSCB-7 | 160–340 | 1 | Φ13 × 116 | 100 | 3.38% | 0.81% |
| FSCB-8 | 160–340 | 0.76 | Φ13 × 88 | 130 | 3.38% | 0.54% |
| Cube Compressive Strength/MPa | Axial Compressive Strength/MPa | Curing Days/d | Elastic Modulus/MPa |
|---|---|---|---|
| 35.5 | 23.4 | 28 | 3.12 × 104 |
| Type of Material | Thickness or Diameter/mm | Yield Strength/MPa | Ultimate Strength/MPa | Elastic Modulus/MPa |
|---|---|---|---|---|
| Flange, web | 8 | 324 | 499 | 2.02 × 105 |
| Stiffening rib | 6 | 321 | 480 | 2.01 × 105 |
| Stirrup | 6 | 320 | 485 | 1.95 × 105 |
| Reinforcement steel | 14 | 453 | 605 | 2.02 × 105 |
| Studs | 13 | 330 | 440 | 2.02 × 105 |
| Specimen | Width of Concrete Cracks | Average Spacing | Length of Negative Moment Zone | ||||
|---|---|---|---|---|---|---|---|
| Nc = 0 | Nc = 5 × 105 | Nc = 1 × 106 | Nc = 2 × 106 | Final Static Test | |||
| FSCB-1 | 0.06 | 0.10 | 0.15 | 0.35 | 0.75 | 100 | 1150 |
| FSCB-2 | 0.08 | 0.20 | - | - | 0.90 | 80 | 1320 |
| FSCB-3 | 0.08 | 0.10 | 0.14 | 0.30 | 0.87 | 95 | 1050 |
| FSCB-4 | 0.04 | 0.05 | 0.08 | 0.15 | 0.30 | 90 | 600 |
| FSCB-5 | 0.08 | 0.12 | 0.28 | - | 1.07 | 70 | 1450 |
| FSCB-6 | 0.07 | 0.15 | 0.20 | - | 0.85 | 65 | 1500 |
| FSCB-7 | 0.06 | 0.08 | 0.13 | 0.18 | 0.60 | 75 | 830 |
| FSCB-8 | 0.06 | 0.11 | 0.16 | - | 0.80 | 95 | 1200 |
| Specimen | Fatigue Life | Residual Load Capacity/kN | Damage Characteristic | Fatigue Cycles |
|---|---|---|---|---|
| FSCB-1 | 1.92 × 106 | 440 | Crack of concrete slab | 1.00 × 106 |
| Slip of steel–concrete interface | 1.30 × 106 | |||
| Fracture of steel box | 1.92 × 106 | |||
| FSCB-2 | 8.50 × 105 | 400 | Crack of concrete slab | 5.00 × 104 |
| Slip of steel–concrete interface | 5.00 × 105 | |||
| Fracture of steel box | 8.50 × 105 | |||
| FSCB-3 | 2.04 × 106 | 410 | Crack of concrete slab | 1.00 × 106 |
| Slip of steel–concrete interface | 1.50 × 106 | |||
| Fracture of steel box | 2.04 × 106 | |||
| FSCB-4 | 2.83 × 106 | 480 | Crack of concrete slab | 2.00 × 106 |
| Slip of steel–concrete interface | 2.50 × 106 | |||
| Fracture of steel box | 2.83 × 106 | |||
| FSCB-5 | 1.75 × 106 | 400 | Crack of concrete slab | 1.00 × 105 |
| Slip of steel–concrete interface | 1.50 × 106 | |||
| Fracture of steel box | 1.75 × 106 | |||
| FSCB-6 | 1.68 × 106 | 340 | Crack of concrete slab | 1.00 × 106 |
| Slip of steel–concrete interface | 1.50 × 106 | |||
| Fracture of steel box | 1.68 × 106 | |||
| FSCB-7 | 2.65 × 106 | 460 | Crack of concrete slab | 2.00 × 106 |
| Slip of steel–concrete interface | 2.50 × 106 | |||
| Fracture of steel box | 2.65 × 106 | |||
| FSCB-8 | 1.55 × 106 | 400 | Crack of concrete slab | 1.00 × 105 |
| Slip of steel–concrete interface | 5.00 × 105 | |||
| Fracture of steel box | 1.55 × 106 |
| Specimen | Fatigue Load Cycles | ||||||
|---|---|---|---|---|---|---|---|
| 0 | 5 × 105 | 1 × 106 | 1.5 × 106 | 2 × 106 | 2.5 × 106 | Fatigue Failure | |
| FSCB-1 | 234.33 | 230.69 | 226.67 | 218.40 | 208.94 | / | 234.33 |
| FSCB-2 | 234.06 | 224.08 | / | / | / | / | 202.66 |
| FSCB-3 | 235.95 | 229.36 | 224.08 | 214.85 | 205.81 | / | 204.95 |
| FSCB-4 | 236.76 | 234.21 | 230.85 | 228.72 | 225.86 | 220.95 | 218.47 |
| FSCB-5 | 232.39 | 228.62 | 224.48 | 214.57 | / | / | 202.92 |
| FSCB-6 | 238.62 | 225.68 | 210.79 | 205.55 | / | / | 200.34 |
| FSCB-7 | 235.63 | 233.60 | 231.77 | 229.18 | 224.02 | 218.94 | 217.28 |
| FSCB-8 | 234.90 | 225.07 | 215.97 | 206.93 | / | / | 205.81 |
| Specimen | R2 | Specimen | R2 |
|---|---|---|---|
| FSCB-1 | 0.96 | FSCB-5 | 0.86 |
| FSCB-2 | 0.87 | FSCB-6 | 0.92 |
| FSCB-3 | 0.99 | FSCB-7 | 0.97 |
| FSCB-4 | 0.99 | FSCB-8 | 0.98 |
| Specimen | lp/l | βu,cal | βu,exp | βu,cal/βu,exp | Load Type |
|---|---|---|---|---|---|
| FSCB-1 | 0.19 | 39% | 41% | 95% | Fatigue load |
| FSCB-2 | 0.22 | 41% | 50% | 82% | |
| FSCB-3 | 0.18 | 39% | 47% | 83% | |
| FSCB-4 | 0.10 | 25% | 27% | 93% | |
| FSCB-5 | 0.24 | 51% | 50% | 102% | |
| FSCB-6 | 0.25 | 44% | 54% | 81% | |
| FSCB-7 | 0.14 | 31% | 28% | 110% | |
| FSCB-8 | 0.21 | 43% | 46% | 93% | |
| FSCB-0 | 0.14 | 31% | 28% | 110% | Static load |
| PC1 [22] | 0.13 | 59% | 57% | 104% | |
| PC2 [22] | 0.10 | 49% | 45.9% | 107% | |
| PCCB-32 [24] | 0.15 | 62% | 58% | 107% | |
| PCCB-33 [24] | 0.15 | 62% | 59% | 105% | |
| CCB-34 [24] | 0.11 | 39% | 37% | 105% |
Disclaimer/Publisher’s Note: The statements, opinions and data contained in all publications are solely those of the individual author(s) and contributor(s) and not of MDPI and/or the editor(s). MDPI and/or the editor(s) disclaim responsibility for any injury to people or property resulting from any ideas, methods, instructions or products referred to in the content. |
© 2023 by the authors. Licensee MDPI, Basel, Switzerland. This article is an open access article distributed under the terms and conditions of the Creative Commons Attribution (CC BY) license (https://creativecommons.org/licenses/by/4.0/).
Share and Cite
Gong, Y.; Zhong, Q.; Shan, Y.; Sun, Y. Fatigue Experiment Study on Internal Force Redistribution in the Negative Moment Zone of Steel–Concrete Continuous Composite Box Beams. Materials 2023, 16, 2927. https://doi.org/10.3390/ma16072927
Gong Y, Zhong Q, Shan Y, Sun Y. Fatigue Experiment Study on Internal Force Redistribution in the Negative Moment Zone of Steel–Concrete Continuous Composite Box Beams. Materials. 2023; 16(7):2927. https://doi.org/10.3390/ma16072927
Chicago/Turabian StyleGong, Yongzhi, Qi Zhong, Yingjie Shan, and Yu Sun. 2023. "Fatigue Experiment Study on Internal Force Redistribution in the Negative Moment Zone of Steel–Concrete Continuous Composite Box Beams" Materials 16, no. 7: 2927. https://doi.org/10.3390/ma16072927
APA StyleGong, Y., Zhong, Q., Shan, Y., & Sun, Y. (2023). Fatigue Experiment Study on Internal Force Redistribution in the Negative Moment Zone of Steel–Concrete Continuous Composite Box Beams. Materials, 16(7), 2927. https://doi.org/10.3390/ma16072927
