Research on the Impact Mechanical Properties of Real-Time High-Temperature Granite and a Coupled Thermal–Mechanical Constitutive Model
Abstract
1. Introduction
2. Materials and Methods
2.1. Specimen Preparation
2.2. Test Equipment and Test Methods
2.3. Results
3. Constitutive Model
3.1. Thermal Damage Variable
3.2. Mechanical Damage Variable
3.3. Coupled T-M Damage Constitutive Model
3.4. Constitutive Model Parameters Determination
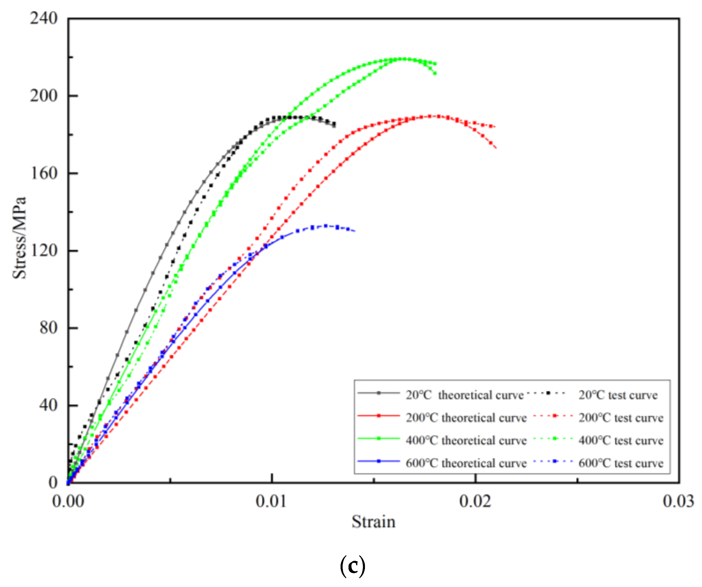
4. Model Validation
5. Discussion
6. Conclusions
Author Contributions
Funding
Institutional Review Board Statement
Informed Consent Statement
Data Availability Statement
Acknowledgments
Conflicts of Interest
References
- Kumari, W.G.P.; Ranjith, P.G.; Perera, M.S.A.; Li, X.; Li, L.H.; Chen, B.K.; Avanthi Isaka, B.L.; De Silva, V.R.S. Hydraulic fracturing under high temperature and pressure conditions with micro CT applications: Geothermal energy from hot dry rocks. Fuel 2018, 230, 138–154. [Google Scholar] [CrossRef]
- Haido, J.H.; Tayeh, B.A.; Majeed, S.S.; Karpuzcu, M. Effect of high temperature on the mechanical properties of basalt fibre self-compacting concrete as an overlay material. Constr. Build. Mater. 2020, 268, 121725. [Google Scholar] [CrossRef]
- Klewiah, I.; Berawala, D.S.; Walker, H.C.A.; Andersen, P.; Nadeau, P.H. Review of experimental sorption studies of CO2 and CH4 in shales. J. Nat. Gas Sci. Eng. 2019, 73, 103045. [Google Scholar] [CrossRef]
- Brantut, N.; Heap, M.; Meredith, P.; Baud, P. Time-dependent cracking and brittle creep in crustal rocks: A review. J. Struct. Geol. 2013, 52, 17–43. [Google Scholar] [CrossRef]
- Yavuz, H.; Tufekci, K.; Kayacan, R.; Cevizci, H. Predicting the Dynamic Compressive Strength of Carbonate Rocks from Quasi-Static Properties. Exp. Mech. 2013, 53, 367–376. [Google Scholar] [CrossRef]
- Wasantha, P.L.P.; Ranjith, P.G.; Zhao, J.; Shao, S.S.; Permata, G. Strain Rate Effect on the Mechanical Behaviour of Sandstones with Different Grain Sizes. Rock Mech. Rock Eng. 2015, 48, 1883–1895. [Google Scholar] [CrossRef]
- Mishra, S.; Meena, H.; Parashar, V.; Khetwal, A.; Chakraborty, T.; Matsagar, V.; Chandel, P.; Singh, M. High Strain Rate Response of Rocks Under Dynamic Loading Using Split Hopkinson Pressure Bar. Geotech. Geol. Eng. 2018, 36, 531–549. [Google Scholar] [CrossRef]
- Kumari, W.; Ranjith, P.; Perera, M.; Shao, S.; Chen, B.; Lashin, A.; Arifi, N.; Rathnaweera, T. Mechanical behaviour of Australian Strathbogie granite under in-situ stress and temperature conditions: An application to geothermal energy extraction. Geothermics 2017, 65, 44–59. [Google Scholar] [CrossRef]
- Yin, T.; Wang, C.; Wu, Y.; Wu, B. A waveform modification method for testing dynamic properties of rock under high temperature. J. Rock Mech. Geotech. Eng. 2021, 13, 833–844. [Google Scholar] [CrossRef]
- Gilat, A.; Wu, X. Elevated temperature testing with the torsional split hopkinson bar. Exp. Mech. 1994, 34, 166–170. [Google Scholar] [CrossRef]
- Liu, S.; Xu, J.; Wang, H. Numerical Simulation Analysis of Real-Time High-Temperature Impact Test Technique of Rock Materials. Geotech. Test. J. 2022, 45, 212–224. [Google Scholar] [CrossRef]
- Liu, S.; Xu, J. Analysis on damage mechanical characteristics of marble exposed to high temperature. Int. J. Damage Mech. 2015, 24, 1180–1193. [Google Scholar] [CrossRef]
- Xu, X.L.; Gao, F.; Zhang, Z.Z.; Lin, C. Experimental study of the effect of loading rates on mechanical properties of granite at real-time high temperature. Rock Soil Mech. 2015, 36, 2184–2192. [Google Scholar]
- Meng, L.; Li, T.; Liao, A.; Zeng, P. Anisotropic Mechanical Properties of Sandstone Under Unloading Confining Pressure at High Temperatures. Arab. J. Sci. Eng. 2018, 43, 5283–5294. [Google Scholar] [CrossRef]
- Finnie, I.; Cooper, G.A.; Berlie, J. Fracture propagation in rock by transient cooling. Int. J. Rock Mech. Min. Sci. Geomech. Abstr. 1979, 16, 11–21. [Google Scholar] [CrossRef]
- Dougill, J.W. On stable progressively fracturing solids. Z. Angew. Math. Phys. (ZAMP) 1976, 27, 423–437. [Google Scholar] [CrossRef]
- Cao, W.; Tan, X.; Zhang, C.; He, M. Constitutive model to simulate full deformation and failure process for rocks considering initial compression and residual strength behaviors. Can. Geotech. J. 2019, 56, 649–661. [Google Scholar] [CrossRef]
- Mubarak, H.; Saji, R.P.; Sousa, R.; Sassi, M.; Abu Al-Rub, R.K. Quantification of Plasticity and Damage in Berea Sandstone through Monotonic and Cyclic Triaxial Loading under High-Confinement Pressures. J. Mater. Civ. Eng. 2022, 34, 04022116. [Google Scholar] [CrossRef]
- Deng, J.A.; Cu, D.S. On a statistical damage constitutive model for rock materials. Comput. Geosci. 2011, 37, 122–128. [Google Scholar] [CrossRef]
- Liu, Q.; Xu, X. Damage analysis of brittle rock at high temperature. Chin. J. Rock Mech. Eng. 2000, 19, 408–411. [Google Scholar]
- Rong, G.; Yao, M.; Peng, J.; Sha, S.; Tan, J. Influence of initial thermal cracking on physical and mechanical behaviour of a coarse marble: Insights from uniaxial compression tests with acoustic emission monitoring. Geophys. J. Int. 2018, 214, 1886–1900. [Google Scholar]
- Zhang, Z.Z.; Gao, F.; Xu, X.L. Experimental study of temperature effect of mechanical properties of granite. Rock Soil Mech. 2011, 32, 2346–2352. [Google Scholar]
- Dittmann, M.; Aldakheel, F.; Schulte, J.; Schmidt, F.; Krüger, M.; Wriggers, P.; Hesch, C. Phase-field modeling of porous-ductile fracture in non-linear thermo-elasto-plastic solids. Comput. Methods Appl. Mech. Eng. 2020, 361, 112730. [Google Scholar] [CrossRef]
- Ganczarski, A.; Skrzypek, J. A Study on Coupled Thermo-Elasto-Plastic-Damage Dissipative Phenomena: Models and Application to Some Innovative Materials. J. Therm. Stress. 2009, 32, 698–751. [Google Scholar] [CrossRef]
- Lukic, D.C.; Zlatanovic, E.M.; Jokanovic, I.M. Tunnel lining load with consideration of the rheological properties of rock mass and concrete. Geomech. Eng. 2020, 21, 53–62. [Google Scholar]
- Singh, A.; Kumar, C.; Kannan, L.G.; Rao, K.S.; Ayothiraman, R. Rheological Behaviour of Rock Salt Under Uniaxial Compression. Procedia Eng. 2017, 173, 639–646. [Google Scholar] [CrossRef]
- Molladavoodi, H.; RahimiRezaei, Y. Heterogeneous Rock Simulation Using DIP-Micromechanics-Statistical Methods. Adv. Civ. Eng. 2018, 2018, 7010817. [Google Scholar] [CrossRef]
- Dubé, M.; Doquet, V.; Constantinescu, A.; George, D.; Rémond, Y.; Ahzi, S. Modeling of thermal shock-induced damage in a borosilicate glass. Mech. Mater. 2010, 42, 863–872. [Google Scholar] [CrossRef]
- Kolo, I.; Abu Al-Rub, R.K.; Sousa, R.L. Computational Modelling of Fracture Propagation in Rocks Using a Coupled Elastic-Plasticity-Damage Model. Math. Probl. Eng. 2016, 2016, 3231092. [Google Scholar] [CrossRef]
- Girard, L.; Weiss, J.; Amitrano, D. Damage-Cluster Distributions and Size Effect on Strength in Compressive Failure. Phys. Rev. Lett. 2012, 108, 225502. [Google Scholar] [CrossRef]
- Saurav, R.; Kumar, S.N. Strength behaviour of sandstone subjected to polyaxial state of stress. Int. J. Min. Sci. Technol. 2017, 27, 889–897. [Google Scholar]
- Lelovic, S.; Vasovic, D. Determination of Mohr-Coulomb parameters for modelling of concrete. Crystals 2020, 10, 808. [Google Scholar] [CrossRef]
- Grange, S.; Mencacci, S.; Hild, F. Modelling dynamic fragmentation of rocks. J. Phys. IV Fr. 2006, 134, 125–131. [Google Scholar] [CrossRef]
- Rahimi, R.; Nygaard, R. Effect of rock strength variation on the estimated borehole breakout using shear failure criteria. Géoméch. Geophys. Geo-Energy Geo-Resour. 2018, 4, 369–382. [Google Scholar] [CrossRef]
- Melkoumian, N.; Priest, S.D.; Hunt, S.P. Further Development of the Three-Dimensional Hoek–Brown Yield Criterion. Rock Mech. Rock Eng. 2009, 42, 835–847. [Google Scholar] [CrossRef]
- Xie, W.H.; Shun, C.L.I.; Gao, F. Energy fracture criterion of thermal damage-mechanical coupling. J. Xi’an Univ. Sci. Technol. 2007, 27, 341–346. [Google Scholar]
- Yu, M.H.; He, L.N. A new model and theory on yield and failure of materials under the complex stress state. Mech. Behav. Mater. VI 1992, 841–846. [Google Scholar] [CrossRef]
- Guo, Z.Y.; Wang, H.N.; Jiang, M.J. Elastoplastic analytical investigation of wellbore stability for drilling in methane hydrate-bearing sediments. J. Nat. Gas Sci. Eng. 2020, 79, 103344. [Google Scholar] [CrossRef]
- Li, Y.; Liu, Q.L.; Cai, Q.C. Unification of Hoek-Brown Criterion on the Basis of United Strength Theory. Appl. Mech. Mater. 2014, 501–504, 415–418. [Google Scholar] [CrossRef]
- Yang, Q.; Zan, Y.; Xie, L.G. Comparative analysis of the nonlinear unified strength criterion for rocks and other three-dimensional Hoek–Brown strength criteria. Géoméch. Geophys. Geo-Energy Geo-Resour. 2018, 4, 29–37. [Google Scholar] [CrossRef]
- Del Greco, O.; Ferrero, A.M.; Oggeri, C. Experimental and analytical interpretation of the behaviour of laboratory tests on composite specimens. Int. J. Rock Mech. Min. Sci. Géoméch. Abstr. 1993, 30, 1539–1543. [Google Scholar] [CrossRef]
- Kully, R.M. Development of new method for direct measurement of high strain rate testing parameters. Exp. Appl. Mech. 2016, 4, 139–147. [Google Scholar]
- Othman, R.; Bissac, M.N.; Collet, P.; Gary, G. Testing with SHPB from quasi-static to dynamic strain rates. J. Phys. IV Fr. 2003, 110, 397–404. [Google Scholar] [CrossRef]
- Zuo, J.-P.; Wang, J.-T.; Sun, Y.-J.; Chen, Y.; Jiang, G.-H.; Li, Y.-H. Effects of thermal treatment on fracture characteristics of granite from Beishan, a possible high-level radioactive waste disposal site in China. Eng. Fract. Mech. 2017, 182, 425–437. [Google Scholar] [CrossRef]
- Chen, S.; Yang, C.; Wang, G. Evolution of thermal damage and permeability of Beishan granite. Appl. Therm. Eng. 2017, 110, 1533–1542. [Google Scholar] [CrossRef]
- Chen, Y.L.; Wang, S.R.; Ni, J.; Azzam, R.; Fernandez-Steeger, T.M. An experimental study of the mechanical properties of granite after high temperature exposure based on mineral characteristics. Eng. Geol. 2017, 220, 234–242. [Google Scholar] [CrossRef]
- Wingquist, C.F. Elastic Moduli of Rock at Elevated Temperatures; US Department of the Interior, Bureau of Mines: Washington, DC, USA, 1970.
- Kuforiji, H.I.; Olurin, O.T.; Akinyemi, O.D.; Idowu, O.A. Wave velocity variation with temperature: Influential properties of temperature coefficient (partial derivative V/partial derivative T) of selected rocks. Environ. Earth Sci. 2021, 80, 638. [Google Scholar] [CrossRef]
- Ahmed, H.M.; Hefni, M.A.; Ahmed, H.A.; Adewuyi, S.O.; Hassani, F.; Sasmito, A.P.; Saleem, H.A.; Moustafa, E.B.; Hassan, G.S.A. Effect of elevated temperature on rhyolitic rocks’ properties. Materials 2022, 15, 3204. [Google Scholar] [CrossRef]
- Grange, S.; Forquin, P.; Mencacci, S.; Hild, F. On the dynamic fragmentation of two limestones using edge-on impact tests. Int. J. Impact Eng. 2008, 35, 977–991. [Google Scholar] [CrossRef]
- Choi, Y.; Chung, W.K.; Ha, J.; Shin, S.R. Formation estimation of shaly sandstone reservoir using joint inversion from well logging data. Geophys. Geophys. Explor. 2019, 22, 1–11. [Google Scholar] [CrossRef]
- Liu, Y.-S.; Qiu, Z.-Z.; Zhan, X.-C.; Liu, H.-N.; Gong, H.-N. Study of statistical damage constitutive model of layered composite rock under triaxial compression. Appl. Math. Nonlinear Sci. 2021, 6, 299–308. [Google Scholar] [CrossRef]
- Zhu, Z.; Tian, H.; Wang, R.; Jiang, G.; Dou, B.; Mei, G. Statistical thermal damage constitutive model of rocks based on Weibull distribution. Arab. J. Geosci. 2021, 14, 495. [Google Scholar] [CrossRef]
- Yang, L.; Li, Z.-D. Nonlinear Variation Parameters Creep Model of Rock and Parametric Inversion. Geotech. Geol. Eng. 2018, 36, 2985–2993. [Google Scholar] [CrossRef]
- Yin, T.B.; Wang, P.; Li, X.B.; Shu, R.H.; Ye, Z.Y. Effects of thermal treatment on physical mechanical characteristics of coal rock. J. Cent. South Univ. 2016, 23, 2336–2345. [Google Scholar] [CrossRef]
- Yang, R.; Fang, S.; Li, W.; Wei, G.; Li, Q.; Liang, S. Temperature effects on dynamic compressive behavior of siliceous sandstone. Arab. J. Geosci. 2020, 13, 382. [Google Scholar] [CrossRef]
- Wong, L.N.Y.; Li, Z.; Kang, H.M.; Teh, C.I. Dynamic Loading of Carrara Marble in a Heated State. Rock Mech. Rock Eng. 2017, 50, 1487–1505. [Google Scholar] [CrossRef]
- Liu, S.; Xu, J. Study on dynamic characteristics of marble under impact loading and high temperature. Int. J. Rock Mech. Min. Sci. 2013, 62, 51–58. [Google Scholar] [CrossRef]






| Temperature/°C | /MPa | |||||
|---|---|---|---|---|---|---|
| 5.4 m/s | 20 | 13,979.2 | 3.161 | 9.215 | 124.66 | 0.00994 | 
| 200 | 45,206.58 | 1.393 | 0.693 | 101.09 | 0.00947 | |
| 400 | 11,665.95 | 5.743 | 1.141 | 103.43 | 0.018 | |
| 600 | 13,504.7 | 4.651 | 1.036 | 92.52 | 0.01799 | |
| 8.8 m/s | 20 | 17,581.72 | 2.818 | 21.762 | 164.40 | 0.00979 | 
| 200 | 28,706.13 | 2.275 | 3.942 | 143.23 | 0.00643 | |
| 400 | 17,289.46 | 3.087 | 11.700 | 158.89 | 0.01001 | |
| 600 | 11,940.04 | 5.794 | 1.719 | 112.92 | 0.01692 | |
| 11.3 m/s | 20 | 28,106.52 | 3.952 | 1.948 | 188.91 | 0.01123 | 
| 200 | 12,836.02 | 6.139 | 5.196 | 189.44 | 0.01789 | |
| 400 | 21,098.09 | 5.850 | 2.198 | 218.99 | 0.01636 | |
| 600 | 14,346.63 | 4.542 | 3.210 | 132.80 | 0.01264 | 
| Disclaimer/Publisher’s Note: The statements, opinions and data contained in all publications are solely those of the individual author(s) and contributor(s) and not of MDPI and/or the editor(s). MDPI and/or the editor(s) disclaim responsibility for any injury to people or property resulting from any ideas, methods, instructions or products referred to in the content. | 
© 2023 by the authors. Licensee MDPI, Basel, Switzerland. This article is an open access article distributed under the terms and conditions of the Creative Commons Attribution (CC BY) license (https://creativecommons.org/licenses/by/4.0/).
Share and Cite
Li, Y.; Zhai, Y.; Xie, Y.; Meng, F. Research on the Impact Mechanical Properties of Real-Time High-Temperature Granite and a Coupled Thermal–Mechanical Constitutive Model. Materials 2023, 16, 2773. https://doi.org/10.3390/ma16072773
Li Y, Zhai Y, Xie Y, Meng F. Research on the Impact Mechanical Properties of Real-Time High-Temperature Granite and a Coupled Thermal–Mechanical Constitutive Model. Materials. 2023; 16(7):2773. https://doi.org/10.3390/ma16072773
Chicago/Turabian StyleLi, Yubai, Yue Zhai, Yifan Xie, and Fandong Meng. 2023. "Research on the Impact Mechanical Properties of Real-Time High-Temperature Granite and a Coupled Thermal–Mechanical Constitutive Model" Materials 16, no. 7: 2773. https://doi.org/10.3390/ma16072773
APA StyleLi, Y., Zhai, Y., Xie, Y., & Meng, F. (2023). Research on the Impact Mechanical Properties of Real-Time High-Temperature Granite and a Coupled Thermal–Mechanical Constitutive Model. Materials, 16(7), 2773. https://doi.org/10.3390/ma16072773
 
        



 
       
       