Acoustic Performance of Stress Gradient-Induced Deflection of Triangular Unimorphic/Bimorphic Cantilevers for MEMS Applications
Abstract
1. Introduction
2. Simulation Set-Up, Speaker Design and Geometry
2.1. Simulation Set-Up: Parameters
2.2. Speaker Geometry
2.3. Speaker Design
3. Results and Discussion
3.1. Film Thickness versus Deflection
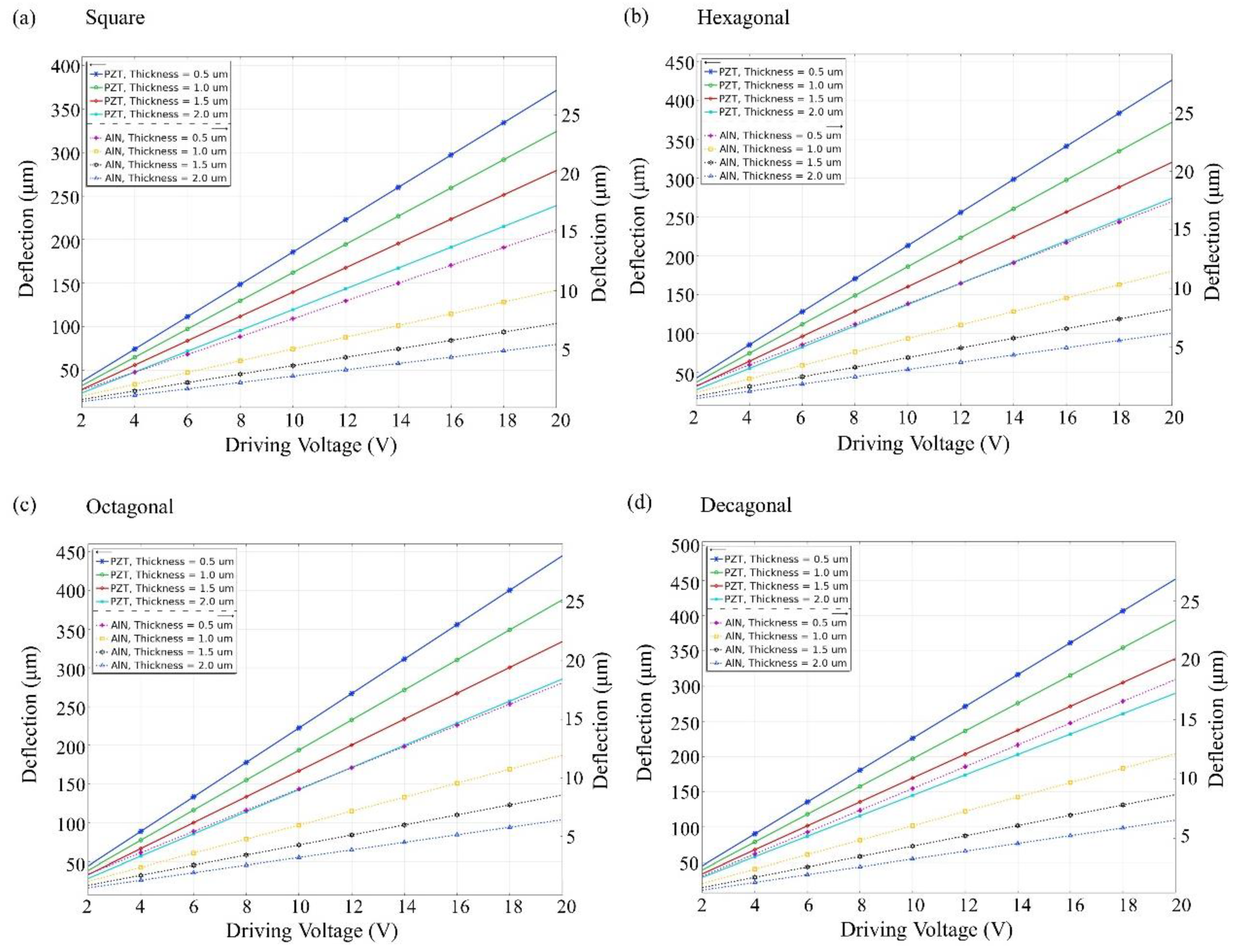
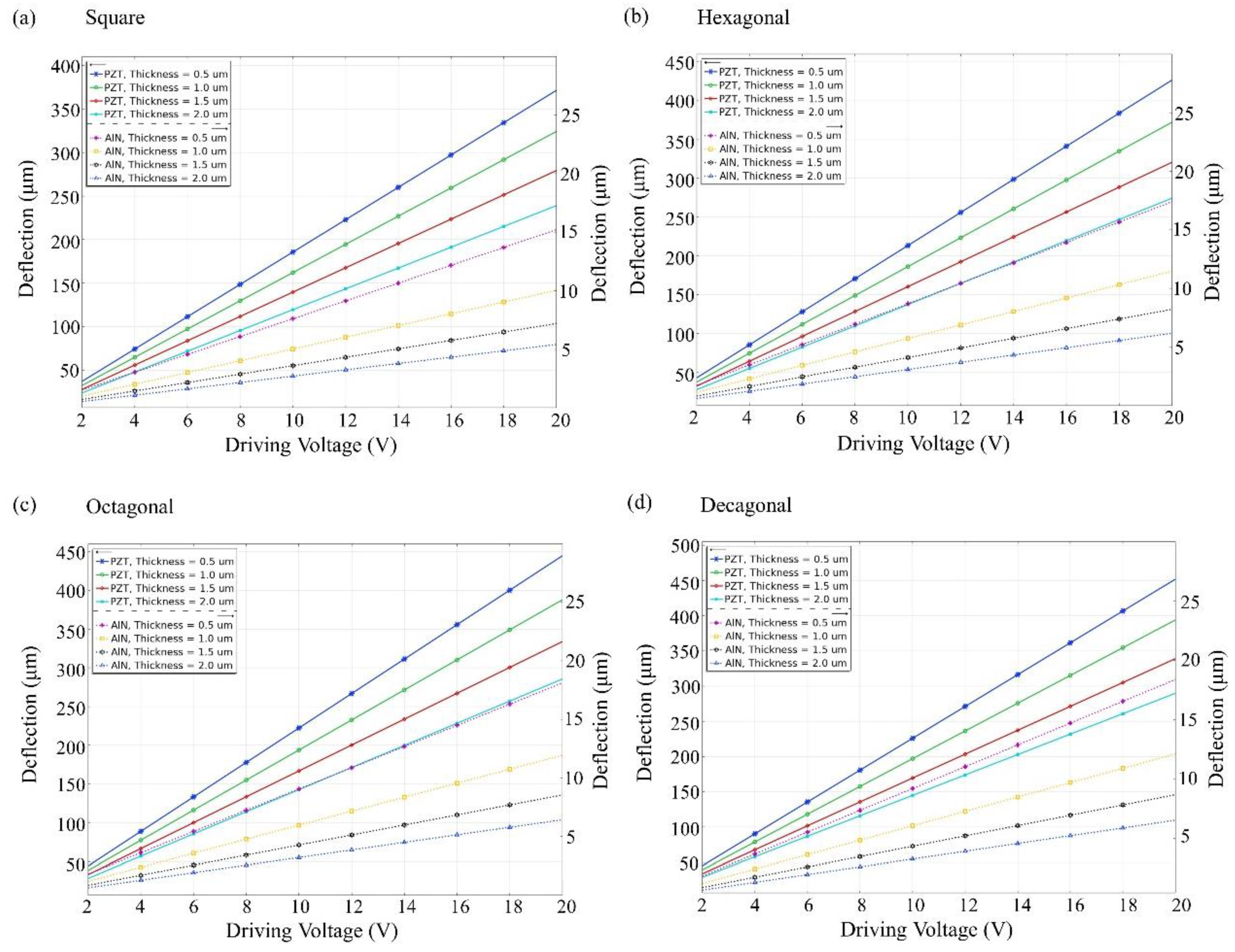
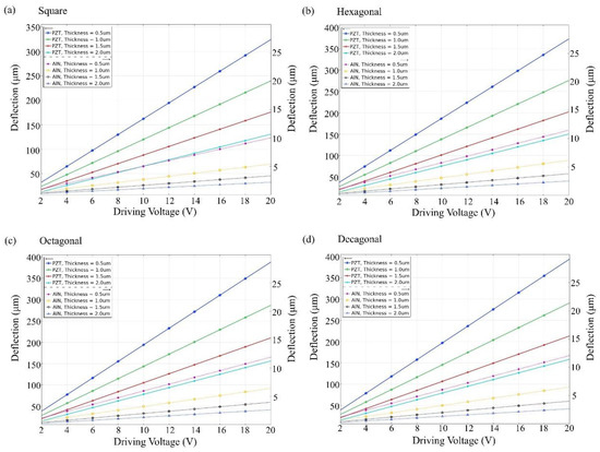
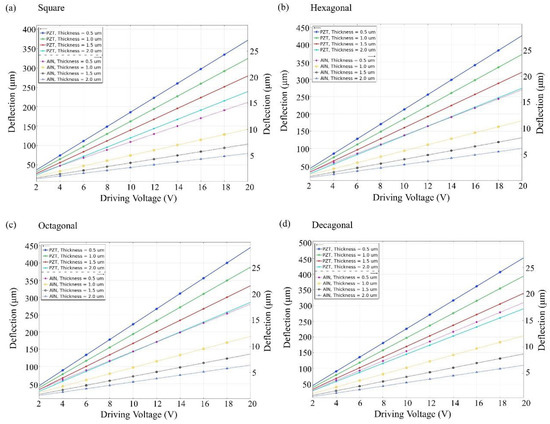
3.2. Driving Voltage versus Deflection
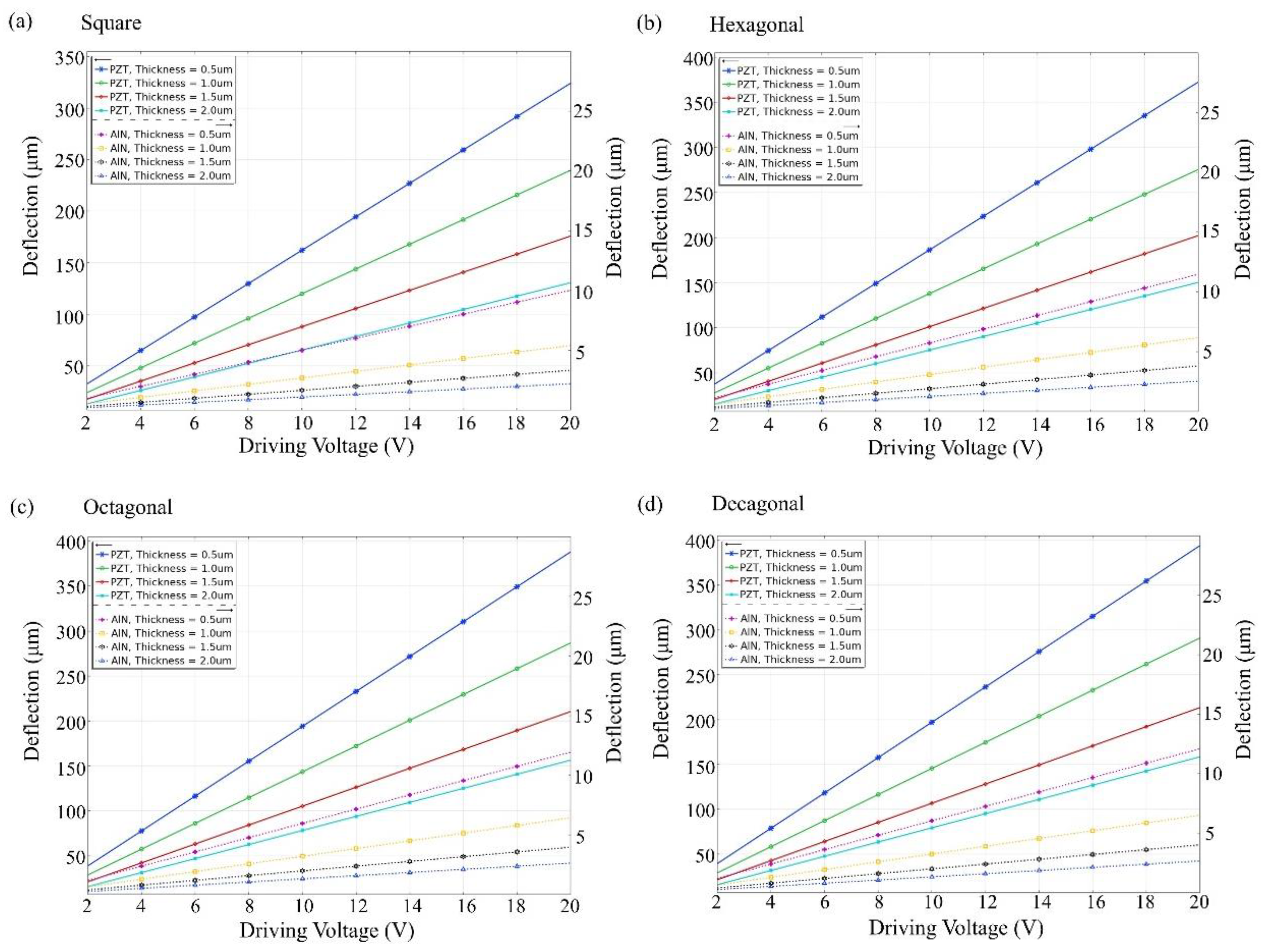
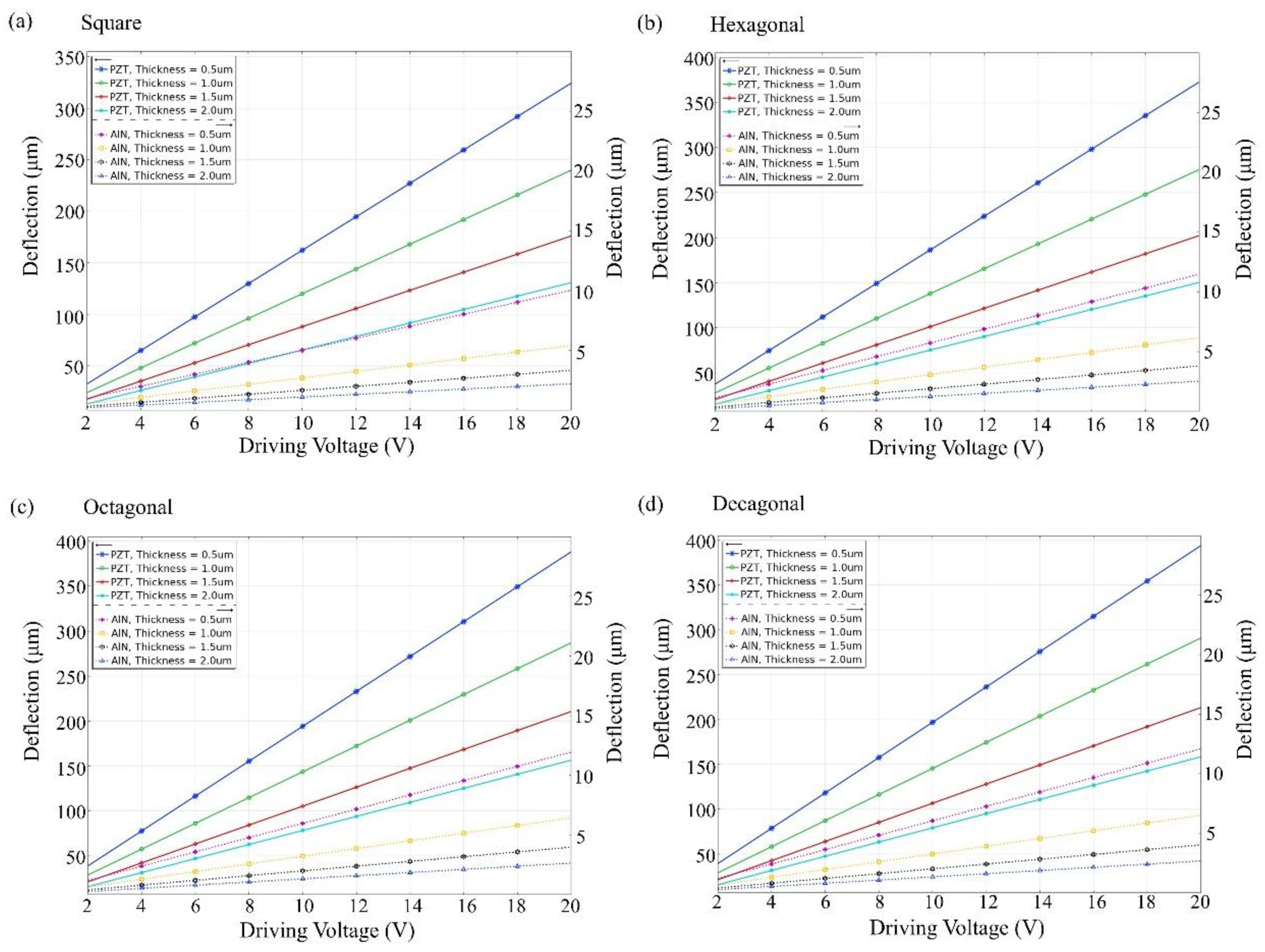
3.3. Film Stress Gradient Distribution versus Deflection
3.4. SPL versus Frequency in Different Cantilever Geometries
3.5. Literature Results for Comparison
4. Conclusions
Author Contributions
Funding
Institutional Review Board Statement
Informed Consent Statement
Data Availability Statement
Conflicts of Interest
References
- Stoppel, F.; Männchen, A.; Niekiel, F.; Beer, D.; Giese, T.; Wagner, B. New integrated full-range MEMS speaker for in-ear applications. In Proceedings of the 2018 IEEE Micro Electro Mechanical Systems (MEMS), Northern Ireland, 21–25 January 2018; IEEE: Piscataway, NJ, USA, 2018; pp. 1068–1071. [Google Scholar]
- Liu, C.; Zhang, M.; Sun, M.; Xu, L.; Lang, Y.; Gong, S.; Pang, W. Ultrahigh-Sensitivity Piezoelectric AlN MEMS Speakers Enabled by Analytical Expressions. J. Microelectromechanical Syst. 2022, 31, 664–672. [Google Scholar] [CrossRef]
- Wang, H.; Ma, Y.; Zheng, Q.; Cao, K.; Lu, Y.; Xie, H. Review of recent development of MEMS speakers. Micromachines 2021, 12, 1257. [Google Scholar] [CrossRef] [PubMed]
- Fawzy, A.; Lang, Y.; Zhang, M. Design and analysis of piezoelectric MEMS micro-speaker based on scandium-doped AlN thin film. Micro Nano Lett. 2021, 16, 227–231. [Google Scholar] [CrossRef]
- Fawzy, A. Membraneless Piezoelectric MEMS speakers based on AlN Thin Film. JES. J. Eng. Sci. 2022, 50, 033001. [Google Scholar] [CrossRef]
- Stoppel, F.; Eisermann, C.; Gu-Stoppel, S.; Kaden, D.; Giese, T.; Wagner, B. Novel membrane-less two-way MEMS loudspeaker based on piezoelectric dual-concentric actuators. In Proceedings of the 19th International Conference on Solid-State Sensors, Actuators and Microsystems (TRANSDUCERS), Kaohsiung, Taiwan, 18–22 June 2017; IEEE: Piscataway, NJ, USA, 2017; pp. 2047–2050. [Google Scholar]
- Jackson, N.; Keeney, L.; Mathewson, A. Flexible-CMOS and biocompatible piezoelectric AlN material for MEMS applications. Smart Mater. Struct. 2013, 22, 115033. [Google Scholar] [CrossRef]
- Andrei, A.; Krupa, K.; Jozwik, M.; Delobelle, P.; Hirsinger, L.; Gorecki, C.; Nieradko, L.; Meunier, C. AlN as an actuation material for MEMS applications: The case of AlN driven multilayered cantilevers. Sens. Actuators A Phys. 2008, 141, 565–576. [Google Scholar] [CrossRef]
- Lang, Y.; Liu, C.; Fawzy, A.; Sun, C.; Gong, S.; Zhang, M. Piezoelectric bimorph MEMS speakers. Nanotechnol. Precis. Eng. 2022, 5, 033001. [Google Scholar] [CrossRef]
- Kaiser, B.; Langa, S.; Ehrig, L.; Stolz, M.; Schenk, H.; Conrad, H.; Schenk, H.; Schimmanz, K.; Schuffenhauer, D. Concept and proof for an all-silicon MEMS micro speaker utilizing air chambers. Microsyst. Nanoeng. 2019, 5, 43. [Google Scholar] [CrossRef] [PubMed]
- Chen, K.-S.; Ou, K.-S. MEMS residual stress characterization: Methodology and perspective. In Handbook of Silicon Based MEMS Materials and Technologies; Elsevier: Amsterdam, The Netherlands, 2020; pp. 787–801. [Google Scholar]
- Kilinc, Y.; Unal, U.; Alaca, B.E. Residual stress gradients in electroplated nickel thin films. Microelectron. Eng. 2015, 134, 60–67. [Google Scholar] [CrossRef]
- Jung, J.; Bastien, J.-C.; Lefevre, A.; Benedetto, K.; Dejaeger, R.; Blard, F.; Fain, B. Wafer-level experimental study of residual stress in AlN-based bimorph piezoelectric micromachined ultrasonic transducer. Eng. Res. Express 2020, 2, 045013. [Google Scholar] [CrossRef]
- Schürz, H. Acoustic Modelling of MEMS Loudspeakers via FEM Including Viscous Effects. Doctoral Dissertation, Technische Universität Wien, Vienna, Austria, 2022. [Google Scholar]
- Wang, Q.; Yi, Z.; Ruan, T.; Xu, Q.; Yang, B.; Liu, J. Obtaining high SPL piezoelectric MEMS speaker via a rigid-flexible vibration coupling mechanism. J. Microelectromechanical Syst. 2021, 30, 725–732. [Google Scholar] [CrossRef]
- Casset, F.; Dejaeger, R.; Laroche, B.; Desloges, B.; Leclere, Q.; Morisson, R.; Bohard, Y.; Goglio, J.; Escato, J.; Fanget, S. A 256 MEMS membrane digital loudspeaker array based on PZT actuators. Procedia Eng. 2015, 120, 49–52. [Google Scholar] [CrossRef]
- Cheng, H.-H.; Huang, Z.-R.; Wu, M.; Fang, W. Low Frequency Sound Pressure Level Improvement of Piezoelectric MEMS Microspeaker Using Novel Spiral Spring with Dual Electrode. In Proceedings of the 20th International Conference on Solid-State Sensors, Actuators and Microsystems & Eurosensors XXXIII (TRANSDUCERS & EUROSENSORS XXXIII), Berlin, Germany, 23–27 June 2019; IEEE: Piscataway, NJ, USA, 2019; pp. 2013–2016. [Google Scholar]
- Tseng, S.-H.; Lo, S.-C.; Wang, Y.-J.; Lin, S.-W.; Wu, M.; Fang, W. Sound Pressure and Low Frequency Enhancement Using Novel PZT MEMS Microspeaker Design. In Proceedings of the 2020 IEEE 33rd International Conference on Micro Electro Mechanical Systems (MEMS), Vancouver, BC, Canada, 18–22 January 2020; IEEE: Piscataway, NJ, USA, 2020; pp. 546–549. [Google Scholar]
- Wang, H.; Chen, Z.; Xie, H. A high-SPL piezoelectric MEMS loud speaker based on thin ceramic PZT. Sens. Actuators A: Phys. 2020, 309, 112018. [Google Scholar] [CrossRef]
- Hopwood, J.A. Plasma physics. In Thin Films; Elsevier: Amsterdam, The Netherlands, 2000; Volume 27, pp. 181–207. [Google Scholar]
- Lanz, R.; Senn, L.; Gabathuler, L.; Huiskamp, W.; Strijbos, R.; Vanhelmont, F. P1H-5 Uniformity Optimization of the Electromechanical Coupling Coefficient in AlN Based Bulk Acoustic Wave Resonators. In Proceedings of the 2007 IEEE Ultrasonics Symposium Proceedings, New York, NY, USA, 28–31 October 2007; IEEE: Piscataway, NJ, USA, 2007; pp. 1429–1432. [Google Scholar]
- Solonenko, D.; Žukauskaitė, A.; Pilz, J.; Moridi, M.; Risquez, S. Raman Spectroscopy and Spectral Signatures of AlScN/Al2O3. Micromachines 2022, 13, 1961. [Google Scholar] [CrossRef] [PubMed]
- Ross, G.; Dong, H.; Karuthedath, C.B.; Sebastian, A.T.; Pensala, T.; Paulasto-Kröckel, M. The impact of residual stress on resonating piezoelectric devices. Mater. Des. 2020, 196, 109126. [Google Scholar] [CrossRef]
- Min, Y.-H.; Kim, Y.-K. In situ measurement of residual stress in micromachined thin films using a specimen with composite-layered cantilevers. J. Micromechanics Microengineering 2000, 10, 314. [Google Scholar] [CrossRef]
- Rebeiz, G.M. RF MEMS: Theory, Design, and Technology; John Wiley & Sons: Hoboken, NJ, USA, 2004. [Google Scholar]
- Ballestra, A.; Somà, A.; Pavanello, R. Experimental-numerical comparison of the cantilever MEMS frequency shift in presence of a residual stress gradient. Sensors 2008, 8, 767–783. [Google Scholar] [CrossRef] [PubMed]
- Lee, Y.-C.; Cheng, Y.-T.; Hsu, W. Stress gradient modification of the electroplated Ni-diamond nanocomposite for MEMS fabrication. J. Electrochem. Soc. 2012, 159, H460. [Google Scholar] [CrossRef]
- COMSOL. Available online: https://www.comsol.com/model/piezoelectric-mems-speaker-78021 (accessed on 3 November 2022).
- Ou, K.-S.; Chen, K.-S.; Yang, T.-S.; Lee, S.-Y. A novel semianalytical approach for finding pull-in voltages of micro cantilever beams subjected to electrostatic loads and residual stress gradients. J. Microelectromechanical Syst. 2011, 20, 527–537. [Google Scholar] [CrossRef]
















| Material | Young’s Modulus E (GPa) | Poisson’s Ratio | Density ρ (kg/m3) | Piezoelectric Coefficient (d31) (pm/V) | Dielectric Constant (εr) |
|---|---|---|---|---|---|
| AlN | 345 | 0.24 | 3300 | −1.92 | 9 |
| Si | 170 | 0.28 | 2329 | - | - |
| Mo | 312 | 0.31 | 10,200 | - | - |
| SiO2 | 70 | 0.17 | 2200 | - | - |
| PZT | 63 | 0.31 | 7500 | −1.80 | 762.5 |
| Residual Stress (MPa) | |||||
|---|---|---|---|---|---|
| Location | Edge | ![]() | Center | ![]() | Edge |
| AlN film 2 | 800 | 600 | 800 | ||
| AlN film 1 | 600 | 500 | 600 | ||
| Geometry of Speakers | SPL (dB) without Stress Gradient | SPL (dB) with Stress Gradient |
|---|---|---|
| Square | 105 | 93 |
| Hexagonal | 97 | 89 |
| Octagonal | 92 | 86 |
| Decagonal | 89 | 85 |
Disclaimer/Publisher’s Note: The statements, opinions and data contained in all publications are solely those of the individual author(s) and contributor(s) and not of MDPI and/or the editor(s). MDPI and/or the editor(s) disclaim responsibility for any injury to people or property resulting from any ideas, methods, instructions or products referred to in the content. |
© 2023 by the authors. Licensee MDPI, Basel, Switzerland. This article is an open access article distributed under the terms and conditions of the Creative Commons Attribution (CC BY) license (https://creativecommons.org/licenses/by/4.0/).
Share and Cite
Yuan, N.-H.; Chen, C.-C.; Fuh, Y.-K.; Li, T.T. Acoustic Performance of Stress Gradient-Induced Deflection of Triangular Unimorphic/Bimorphic Cantilevers for MEMS Applications. Materials 2023, 16, 2129. https://doi.org/10.3390/ma16052129
Yuan N-H, Chen C-C, Fuh Y-K, Li TT. Acoustic Performance of Stress Gradient-Induced Deflection of Triangular Unimorphic/Bimorphic Cantilevers for MEMS Applications. Materials. 2023; 16(5):2129. https://doi.org/10.3390/ma16052129
Chicago/Turabian StyleYuan, Ning-Hsiu, Chih-Chia Chen, Yiin-Kuen Fuh, and Tomi T. Li. 2023. "Acoustic Performance of Stress Gradient-Induced Deflection of Triangular Unimorphic/Bimorphic Cantilevers for MEMS Applications" Materials 16, no. 5: 2129. https://doi.org/10.3390/ma16052129
APA StyleYuan, N.-H., Chen, C.-C., Fuh, Y.-K., & Li, T. T. (2023). Acoustic Performance of Stress Gradient-Induced Deflection of Triangular Unimorphic/Bimorphic Cantilevers for MEMS Applications. Materials, 16(5), 2129. https://doi.org/10.3390/ma16052129



