A Review on Porosity Formation in Aluminum-Based Alloys
Abstract
1. Introduction
1.1. Solubility of Hydrogen in Aluminum
1.2. Effect of Temperature
1.3. Effect of Atmospheric Pressure
1.4. Effect of the Chemical Composition of the Alloy
1.5. Pore Nucleation
2. Elements Influencing Porosity Formation
2.1. Elements Producing Modification and Refining
2.2. Grain Refining (Ti-B)
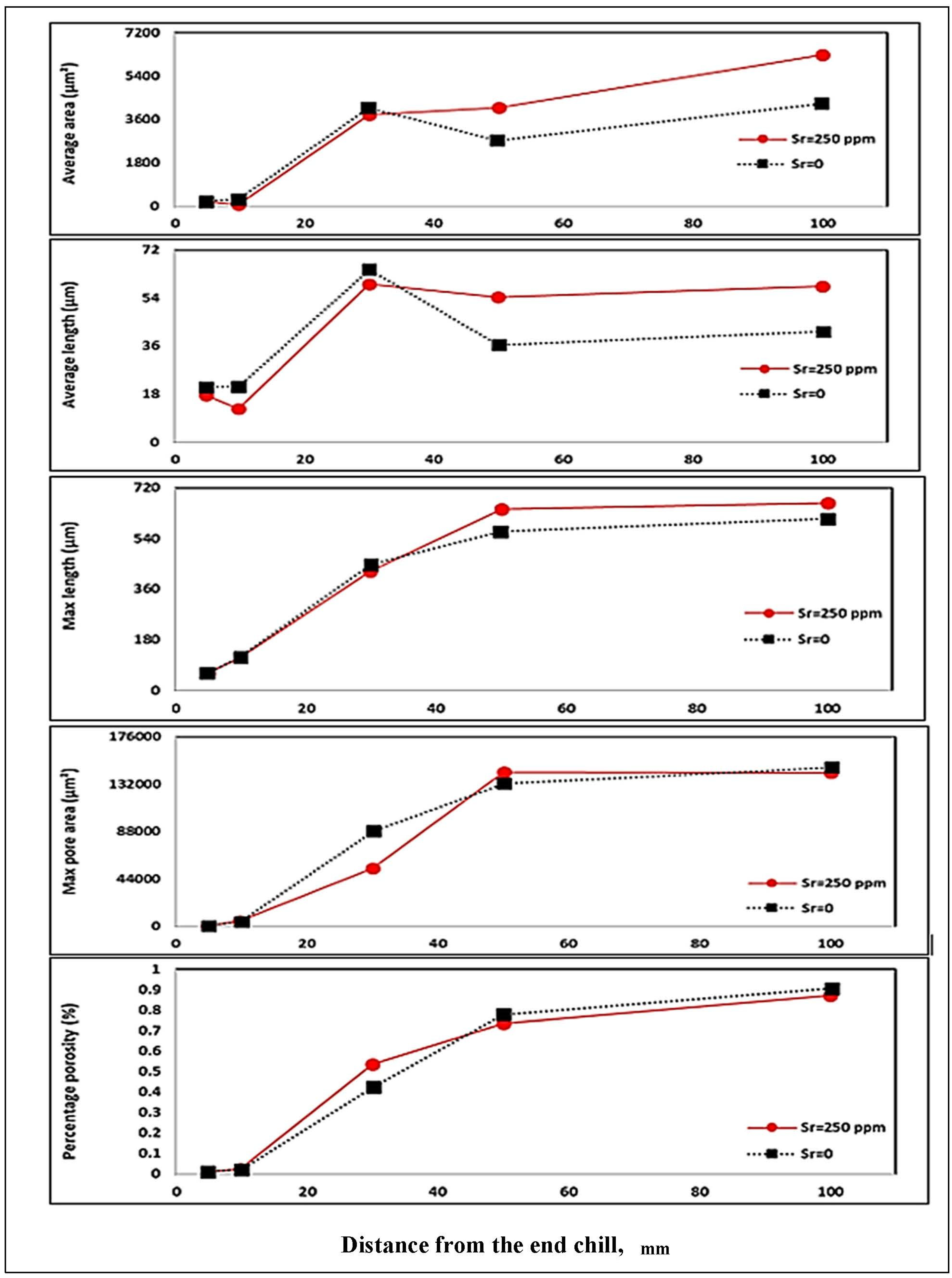
2.3. Modification with Strontium Addition
2.4. Thermal Parameters
2.4.1. Solidification Rate
2.4.2. Solidification Time
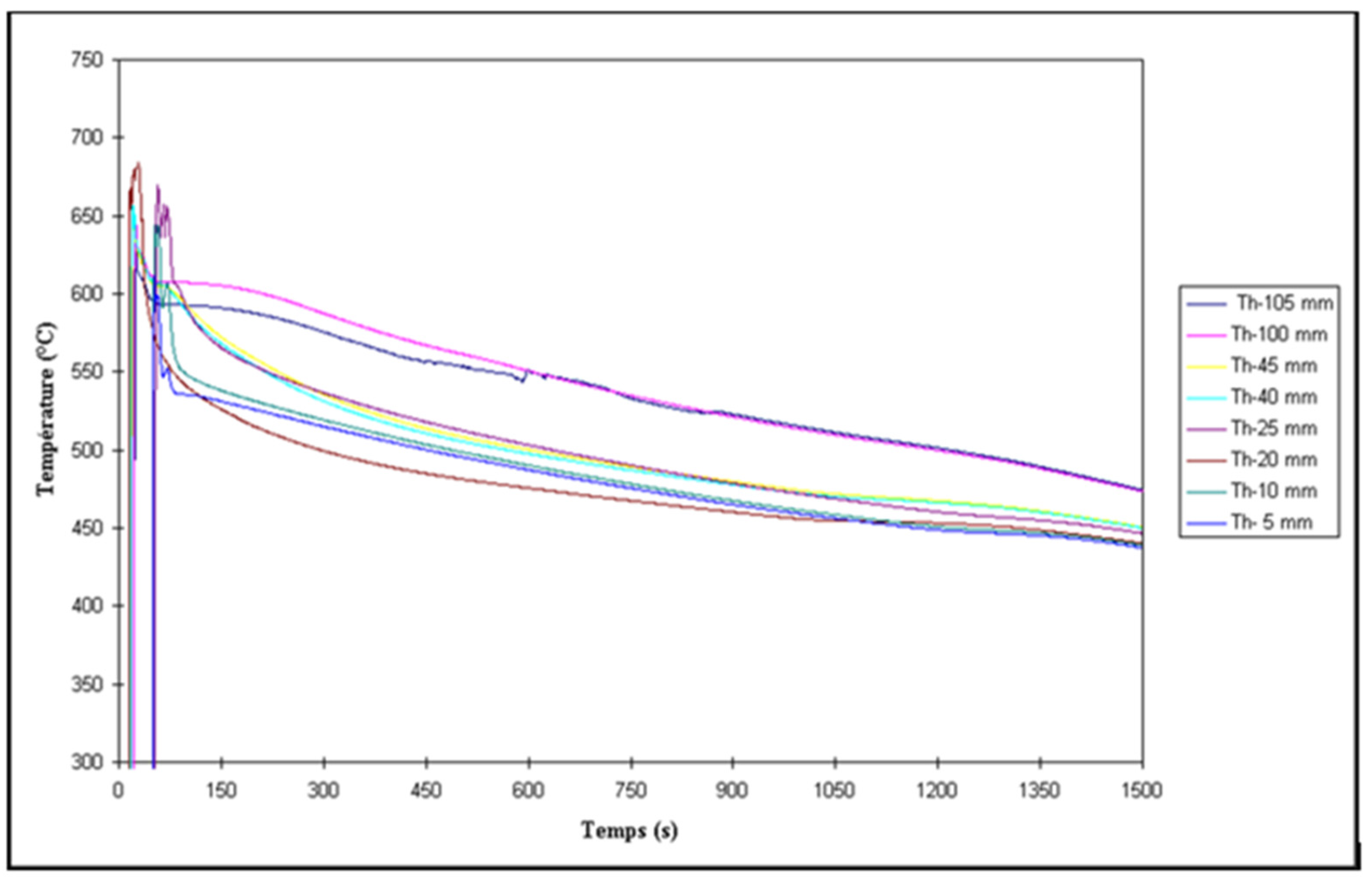
2.4.3. Thermal Gradient
3. Techniques Used for Porosity Characterization
3.1. Evaluation of Porosity Using Experimental Measurements
3.2. Evaluation of Porosity Using Mathematical Modeling
3.3. Evaluation of Porosity Using Statistical Reduction Techniques
4. Analysis of Statistical Data
5. Conclusions
6. Recommendation
Funding
Institutional Review Board Statement
Informed Consent Statement
Data Availability Statement
Conflicts of Interest
References
- Liu, L.; Samuel, A.M.; Samuel, F.H.; Doty, H.W.; Valtierra, S. Influence of oxides on porosity formation in Sr-treated Al-Si casting alloys. J. Mater. Sci. 2003, 38, 1255–1267. [Google Scholar] [CrossRef]
- Dinnis, C.M.; Dahle, A.K.; Taylor, J.A.; Otte, M.O. The influence of strontium on porosity formation in Al-Si alloys. Metall. Mater. Trans. A 2004, 35, 3531–3541. [Google Scholar] [CrossRef]
- Shafyei, A.; Anijdan, S.H.M.; Bahrami, A. Prediction of porosity percent in Al–Si casting alloys using ANN. Mater. Sci. Eng. A 2006, 431, 206–210. [Google Scholar] [CrossRef]
- Ye, H.I. An overview of the development of Al-Si-Alloy based material for engine applications. J. Mater. Eng. Perform. 2003, 12, 288–297. [Google Scholar] [CrossRef]
- Anyalebechi, P.N. Hydrogen-induced gas porosity formation in Al–4.5 wt% Cu–1.4 wt% Mg alloy. J. Mater. Sci. 2013, 48, 5342–5353. [Google Scholar] [CrossRef]
- Campbell, J.; Tiryakioğlu, M. Review of effect of P and Sr on modification and porosity development in Al–Si alloys. Mater. Sci. Technol. 2010, 26, 262–268. [Google Scholar] [CrossRef]
- Tiedje, N.S.; Taylor, J.A.; Easton, M.A. A new multi-zone model for porosity distribution in Al–Si alloy castings. Acta Mater. 2013, 61, 3037–3049. [Google Scholar] [CrossRef]
- Miresmaeili, S.M.; Shabestari, S.G.; Boutorabi, S.M.A. The Effect of Sr-Modification Treatment on Porosity Formation of Reduced Pressure 319 Al Alloy Castings. Can. Metall. Q. 2003, 42, 245–252. [Google Scholar] [CrossRef]
- Hegde, S.; Prabhu, K.N. Modification of eutectic silicon in Al–Si alloys. J. Mater. Sci. 2008, 43, 3009–3027. [Google Scholar] [CrossRef]
- Tylenius, K.E. A Parametric Study of the Evolution of Microporosity in Al-Si Foundry Alloys. Ph. D. Theisis, Drexel University, Philadelphia, PA, USA, 1992. [Google Scholar]
- Carlson, K.D.; Lin, Z.; Beckermann, C. Modeling the Effect of Finite-Rate Hydrogen Diffusion on Porosity Formation in Aluminum Alloys. Metall. Mater. Trans. B 2007, 38, 541–555. [Google Scholar] [CrossRef]
- Lee, D.; Hunt, J.D. Hydrogen porosity in directionally solidified aluminium–copper alloys: A mathematical model. Acta Mater. 2001, 49, 1383–1398. [Google Scholar] [CrossRef]
- Lee, P.D.; Chirazi, A.; See, A.C.D. Modeling microporosity in aluminum–silicon alloys: A review. J. Light Met. 2001, 1, 15–30. [Google Scholar] [CrossRef]
- Zou, R.P.; Feng, C.L.; Xu, J.Q.; Yu, A.B. Prediction of the Porosity of Multicomponent Mixtures of Wet Coarse Spheres. Ind. Eng. Chem. Res. 2005, 44, 8401–8408. [Google Scholar] [CrossRef]
- Anyalebechi, P.N. Analysis of the effects of alloying elements on hydrogen solubility in liquid aluminum alloys. Scr. Metall. Et Mater. 1995, 33, 1209–1216. [Google Scholar] [CrossRef]
- Ambat, R.; Dwarakadasa, E.S. Effect of hydrogen in aluminium and aluminium alloys: A review. Bull. Mater. Sci. 1996, 19, 103–114. [Google Scholar] [CrossRef]
- Gupta, C.K. Chemical Metallurgy: Principles and Practice; Wiley-VCH: Weinheim, Germany, 2003; p. 273. [Google Scholar]
- Safyari, M.; Moshtaghi, M.; Akiyama, T.H.E. Mechanisms of hydrogen embrittlement in high-strength aluminum alloys containing coherent or incoherent dispersoids. Corros. Sci. 2022, 194, 109895. [Google Scholar] [CrossRef]
- Gagnon, D.; Samuel, A.M.; Samuel, F.H.; Abdelaziz, M.H.; Doty, H.W. Melt Treatment-Porosity Formation Relationship in Al-Si Cast Alloys. In Casting Processes and Modelling of Metallic Materials; IntechOpen: London, UK, 2021. [Google Scholar]
- Abdelaziz, M.H.; Paradis, M.; Samuel, A.M.; Doty, H.W.; Samuel, F.H. Effect of Aluminum Addition on the Microstructure, Tensile Properties, and Fractography of Cast Mg-Based Alloys. Adv. Mater. Sci. Eng. 2017, 2017, 10. [Google Scholar] [CrossRef]
- Poirier, D.R.; Yeum, K.; Maples, A.L. A thermodynamic Prediction for microporosity Formation in Aluminum-Rich Al-Chu Alloys. Metall. Trans. A 1987, 18, 1979–1987. [Google Scholar] [CrossRef]
- Feng, L.; Sun, Y.-M.; Zhao, X.-L.; Wang, R.-M.; Zhang, K.; Yang, J.-Y. Existing form and harmful effects of sodium in Al–4.5%Cu alloy. Trans. Nonferrous Met. Soc. China 2015, 25, 3553–3559. [Google Scholar] [CrossRef]
- Dong, X.; Ji, S. Si poisoning and promotion on the microstructure. J. Mater. Sci. 2018, 53, 7778–7792. [Google Scholar] [CrossRef]
- Bahmani, A.; Hatami, N.; Varahram, N.; Davami, P.; Shabani, M.O. A mathematical model for prediction of microporosity in aluminum alloy A356. Int. J. Adv. Manuf. Technol. 2013, 64, 1313–1321. [Google Scholar] [CrossRef]
- Mohamed, A.M.A.; Samuel, E.; Zedan, Y.; Samuel, A.M.; Doty, H.W.; Samuel, F.H. Intermetallics Formation during Solidification of Al-Si-Cu-Mg Cast Alloys. Materials 2022, 15, 1335. [Google Scholar] [CrossRef] [PubMed]
- Tynelius, K.; Major, J.F.; Apelian, D. A Parametric Study of Microporosity in the A356 Casting Alloy System. AFS Trans. 1993, 166, 401–413. [Google Scholar]
- Mitrasinovic, A.; Hernández, F.C.R.; Djurdjevic, M.; Sokolowski, J.H. On-line prediction of the melt hydrogen and casting porosity level in 319 aluminum alloy using thermal analysis. Mater. Sci. Eng. A 2006, 428, 41–46. [Google Scholar] [CrossRef]
- Samuel, F.H.; Samuel, A.M.; HW Doty, H.W.; Valtierra, S. On Porosity Formation in Al–Si–Cu Cast Alloys. In Light Metals; Arne, P.R., Ed.; Springer: New York, NY, USA, 2017; pp. 243–255. [Google Scholar] [CrossRef]
- Timpel, M.; Wanderka, N.; Schlesiger, R.; Yamamoto, T.; Lazarev, N.; Isheim, D.; Schmitz, G.; Matsumura, S.; Banhart, J. The role of strontium in modifying aluminium–silicon alloys. Acta Mater. 2012, 60, 3920–3928. [Google Scholar] [CrossRef]
- Miresmaeili, S.M.; Shabestari, S.G.; Boutorabi, S.M.A. Effect of melt filtration on porosity formation in Sr-modified A356 aluminium alloy. Int. J. Cast Met. Res. 2003, 16, 541–548. [Google Scholar] [CrossRef]
- Liao, H.C.; Song, W.; Wang, Q.G.; Zhao, L.; Fan, R.; Jia, F. Effect of Sr addition on porosity formation in directionally solidified A356 alloy. Int. J. Cast Met. Res. 2013, 26, 201–208. [Google Scholar] [CrossRef]
- Khalifa, W.; Samuel, A.M.; Samuel, F.H.; Doty, H.W.; Valtierra, S. Metallographic observations of β-AlFeSi phase and its role in porosity formation in Al–7%Si alloys. Int. J. Cast Met. Res. 2006, 19, 156–166. [Google Scholar] [CrossRef]
- Tiryakioğlu, M. The Effect of Hydrogen on Pore Formation in Aluminum Alloy Castings: Myth Versus Reality. Metals 2020, 10, 368. [Google Scholar] [CrossRef]
- Wang, Q.; Hao, Q.; Yu, W. Effect of strontium modification on porosity formation in A356 alloy. Int. J. Met. 2019, 13, 944–952. [Google Scholar] [CrossRef]
- Giovanni, M.; Warnett, J.M.; Williams, M.A.; Srirangam, P. 3D imaging and quantification of porosity and intermetallic particles in strontium modified Al-Si alloys. J. Alloys Compd. 2017, 727, 353–361. [Google Scholar] [CrossRef]
- Ohnaka, I.; Zhu, J.-D.; Sako, N.; Sugiyama, A.; Ye, C.-K. Challenging issues in computer simulation of casting. Int. J. Cast Met. Res. 2011, 24, 133–138. [Google Scholar] [CrossRef]
- Sabau, A.S.; Porter, W.D.; Roy, S.; Shyam, A. Process Simulation Role in the Development of New Alloys Based on an Integrated Computational Materials Engineering Approach. In Proceedings of the ASME 2014International Mechanical Engineering Congress and Exposition IMECE2014, Montreal, QC, Canada, 14–20 November 2014. [Google Scholar]
- Khalajzadeh, V.; Beckermann, C. Simulation of Shrinkage Porosity Formation During Alloy Solidification. Metall. Mater. Trans. A 2020, 51, 2239–2254. [Google Scholar] [CrossRef]
- Pan, E.N.; Lin, C.S.; Loper, C.R., Jr. Effects of Solidification Parameters on the Feeding Efficiency of A356 Alluminium Alloy. AFS Trans. 1990, 98, 735–746. [Google Scholar]
- Ding, R.; Maijer, D.M.; Cockcroft, S.; Howard, J. Modeling of Microporosity Formation During Solidification of A356 Aluminum Casting. Metall. Mater. Trans. A 2006, 37, 1075–1085. [Google Scholar]
- Sabau, A.S. Modeling of interdendritic porosity defects in an integrated computational materials engineering approach for metal casting. Int. J. Cast Met. Res. 2016, 29, 331–337. [Google Scholar] [CrossRef]
- Gopinath, V.; Balanarasimman, N. Effect of Solidification Parameters on the Feeding Efficiency of Lm6 Aluminium Alloy Casting. IOSR J. Mech. Civ. Eng. 2012, 4, 32–38. [Google Scholar] [CrossRef]
- Lee, Y.W.; Chang, E.; Chieu, C.F. The role of solidus velocity in the feeding behavior of Al-7Si-0.3Mg alloy plate castings. Mater. Sci. Eng. A 1990, 124, 233–240. [Google Scholar] [CrossRef]
- Li, K.D.; Chang, E. Mechanism of nucleation and growth of hydrogen porosity in solidifying A356 aluminum alloy: An analytical solution. Acta Mater. 2004, 52, 219–231. [Google Scholar] [CrossRef]
- Gu, C.; Ridgeway, C.D.; Cinkilic, E.; Lu, Y.; Luo, A.A. Predicting gas and shrinkage porosity in solidification microstructure: A coupled three-dimensional cellular automaton model. J. Mater. Sci. Technol. 2020, 49, 91–105. [Google Scholar] [CrossRef]
- Jang, H.S.; Kang, H.J.; Lee, G.H.; Yoon, P.H.; Park, J.Y.; Choi, Y.S.; Shin, S. Effect of Gas Bubbling Filtration Treatment Conditions on Melt Quality of AlSiMgCu Alloy. Metals 2021, 11, 841. [Google Scholar] [CrossRef]
- Argo, D.; Gruzleski, J.E. Porosity in Modified Aluminium Alloy Castings. AFS Trans. 1988, 96, 65–74. [Google Scholar]
- Brůna, M.; Sládek, A. Hydrogen analysis and effect of filtration on final quality of castings from aluminum alloy AlSi7Mg0.3. Arch. Foundry Eng. 2011, 11, 5–10. [Google Scholar]
- Kubo, K.; Pehlke, R.D. Mathematical modeling of porosity formation in solidification. Met. Mater. Trans. B 1985, 16, 359–366. [Google Scholar] [CrossRef]
- Carlson, K.D.; Lin, Z.; Beckermann, C. Modeling of Porosity Formation in Aluminum Alloys, Modeling of Casting, Welding and Advanced Solidification Processes XI; Gandin, V.A., Bellet, M., Eds.; TMS (The Minerals, Metals & Materials Society): Pittsburgh, PA, USA, 2006. [Google Scholar]
- Kuznetsov, A.V.; Vafai, K. Analytical comparison and criteria for heat and mass transfer models in metal hydride packed beds. Int. J. Heat Mass Transf. 1995, 38, 2873–2884. [Google Scholar] [CrossRef]
- Anyalebechi, P.N. Effects of Alloying Elements and Solidification Conditions on Secondary Dendrite Arm Spacing in Aluminum Alloys; EPD, Congress; Schlesinger, M.E., Ed.; TMS (The Minerals, Metals, and Materials Society): Pittsburgh, PA, USA, 2004; pp. 217–233. [Google Scholar]
- Uludağ, M.; Çetin, R.; Dispinar, D.; Tiryakioğlu, M. Characterization of the Effect of Melt Treatments on Melt Quality in Al-7wt %Si-Mg Alloys. Metals 2017, 7, 157. [Google Scholar] [CrossRef]
- Uludağ, U. Influence of Al-B grain refiner on porosity formation of directionally solidified Al-Si alloys, China Foundry. Res. Dev. 2022, 17, 372–377. [Google Scholar] [CrossRef]
- Kao, S.T.; Chang, E.; Horng, S.C. An experimental study of porosity formation in long-freezing-range A206 alloy plate and taper castings. Cast Metals 1995, 8, 21–26. [Google Scholar] [CrossRef]
- Zhu, J.D.; Ohnaki, I. Computer Simulation of Interdendritic Porosity in Aluminium Alloy Ingots and Casting. Model. Cast. Weld. Adv. Solidif. Process. 1990, 5, 435–442. [Google Scholar]
- Jolly, M.; Katgerman, L. Modelling of defects in aluminium cast products. Prog. Mater. Sci. 2022, 123, 100824. [Google Scholar] [CrossRef]
- Samuel, A.M.; Zedan, Y.; Doty, H.; Songmene, V.; Samuel, F. A Review Study on the Main Sources of Porosity in Al-Si Cast Alloys. Adv. Mater. Sci. Eng. 2021, 2021, 1921603. [Google Scholar] [CrossRef]
- Roy, N. Étude Paramétrique de l’Evolution de la Porosité dans le Système Al-9%Si3%Cu, Mémoire; Université du Québec à Chicoutimi: Chicoutimi, QC, Canada, 1994; 184p. [Google Scholar]
- Samuel, A.M.; et al. Work in progress.


















| Response—Maximum Pore Size—Mold r2 = 0.64 | ||
| Variable of Prediction | T Value | Significance |
| Interaction: Hydrogen & Solidification time Interaction: Interaction: Hydrogen & Strontium Concentration Interaction: Hydrogen & Grain Refiner Type of mold | 16.37 5.04 3.04 N/A | 0.0001 0.0001 0.0027 0.0162 |
| Response—Maximum Pore Size—Mold and Thermal r2 = 0.67 | ||
| Variable of Prediction | T Value | Significance |
| Interaction: Hydrogen & Time of solidification | 16.27 | 0.0001 |
| Interaction: Hydrogen & Concentration of strontium | 4.74 | 0.0001 |
| Interaction: Hydrogen & Rate of solidification | 3.5 | 0.0006 |
| Interaction: Hydrogen & Grain refining | 3.05 | 0.0027 |
| Type of mold | N/A | 0.3997 |
| Response—Maximum Pore Size—Thermal r2 = 0.73 | ||
| Variable of Prediction | T Value | Significance |
| Interaction: Hydrogen & Time of solidification | 19.68 | 0.0001 |
| Interaction: Hydrogen & Concentration of strontium | 5.83 | 0.0001 |
| Interaction: Hydrogen & rate of solidification | 4.47 | 0.0001 |
| Interaction: Hydrogen & grain refining | 3.23 | 0.0015 |
| Origin of the Variation | Sum of Squares | Degree of Liberty | Average Square |
|---|---|---|---|
| Regression | SR | p | SR/p |
| Residual | n-p-1 | ||
| Total | n-1 |
| Model | Independent Variables of the Model | R2 | |||||||
|---|---|---|---|---|---|---|---|---|---|
| Directional Solidification Mold | |||||||||
| Dependent Variables | V | H | DAS | Sr | Ti | Mg | Cu | Ts | |
| Percentage of surface porosity | t | 9.33642 | 7.8825 | 6.4751 | −2.9226 | 3.6700 | 3.1143 | −2.0987 | |
| p | 0.000000 | 0.000000 | 0.000000 | 0.00411 | 0.000357 | 0.002283 | 0.037836 | 0.8383 | |
| cte | 3.0905 | 0.01043 | 0.00144 | −1.0823 | 6.8562 | 0.37737 | −0.0002 | ||
| Maximum area of pores (µm2) in the irregular part | V | H | DAS | Sr | Ti | Mg | |||
| t | 8.61231 | 22.0702 | 4.71412 | −3.6760 | 8.37343 | 0.8754 | |||
| p | 0.000000 | 0.00000 | 0.000006 | 0.000347 | 0.00000 | ||||
| cte | 5.94 | 0.0375 | 0.00245 | −3.13 | 31.314 | ||||
| Average area of pores (μm2) in the irregular part | V | H | DAS | Sr | Ti | Mg | Cu | Ts | |
| t | 6.08216 | 11.03291 | 7.01649 | −3.7757 | 5.28969 | 2.47600 | −2.7715 | 0.8374 | |
| p | 0.000000 | 0.000000 | 0.000000 | 0.000245 | 0.00000 | 0.014613 | 0.006425 | ||
| cte | 4.973 | 0.0360 | 0.00384 | −3.454 | 24.410 | 0.7411 | −0.0008 | ||
| Max length of pores (μm) in the irregular part | V | H | DAS | Sr | Ti | Mg | Ts | ||
| t | 5.91321 | 7.14815 | 4.55116 | −5.5561 | 6.40432 | 3.22851 | 0.8169 | ||
| p | 0.000000 | 0.00000 | 0.00001 | 0.000000 | 0.00000 | 0.001584 | |||
| cte | 1007.2 | 5.49 | 0.59 | −1168. | 5914.4 | 0.23 | |||
| Average length. of pores (μm) in the irregular part (µm) | V | H | DAS | Sr | Ti | Mg | |||
| t | 5.32892 | 16.51022 | 3.49103 | −5.0497 | 5.11986 | 0.7745 | |||
| p | 0.000000 | 0.000000 | 0.00066 | 0.00000 | 0.00000 | ||||
| cte | 573.04 | 4.378 | 0.283 | −670.33 | 2984.83 | ||||
| Density of pore length (#/mm2) in the exponential part | V | Int_HTi | DAS | Sr | |||||
| t | 4.41018 | −2.9811 | −3.9054 | 0.2430 | |||||
| p | 0.00002 | 0.003429 | 0.00015 | ||||||
| cte | 4159.8 | −1.896 | −0.742 | ||||||
Disclaimer/Publisher’s Note: The statements, opinions and data contained in all publications are solely those of the individual author(s) and contributor(s) and not of MDPI and/or the editor(s). MDPI and/or the editor(s) disclaim responsibility for any injury to people or property resulting from any ideas, methods, instructions or products referred to in the content. |
© 2023 by the authors. Licensee MDPI, Basel, Switzerland. This article is an open access article distributed under the terms and conditions of the Creative Commons Attribution (CC BY) license (https://creativecommons.org/licenses/by/4.0/).
Share and Cite
Samuel, A.M.; Samuel, E.; Songmene, V.; Samuel, F.H. A Review on Porosity Formation in Aluminum-Based Alloys. Materials 2023, 16, 2047. https://doi.org/10.3390/ma16052047
Samuel AM, Samuel E, Songmene V, Samuel FH. A Review on Porosity Formation in Aluminum-Based Alloys. Materials. 2023; 16(5):2047. https://doi.org/10.3390/ma16052047
Chicago/Turabian StyleSamuel, Agnes M., Ehab Samuel, Victor Songmene, and Fawzy H. Samuel. 2023. "A Review on Porosity Formation in Aluminum-Based Alloys" Materials 16, no. 5: 2047. https://doi.org/10.3390/ma16052047
APA StyleSamuel, A. M., Samuel, E., Songmene, V., & Samuel, F. H. (2023). A Review on Porosity Formation in Aluminum-Based Alloys. Materials, 16(5), 2047. https://doi.org/10.3390/ma16052047

