2D Hierarchical NiMoO4 Nanosheets/Activated Carbon Nanocomposites for High Performance Supercapacitors: The Effect of Nickel to Molybdenum Ratios
Abstract
:1. Introduction
2. Experimental Section
2.1. Preparation of Activated Carbon (AC)
2.2. Preparation of NiMoO4/AC
2.3. Characterization of Materials
2.4. Electrochemical Measurement
3. Results and Discussion
3.1. Structural and Morphological Analysis
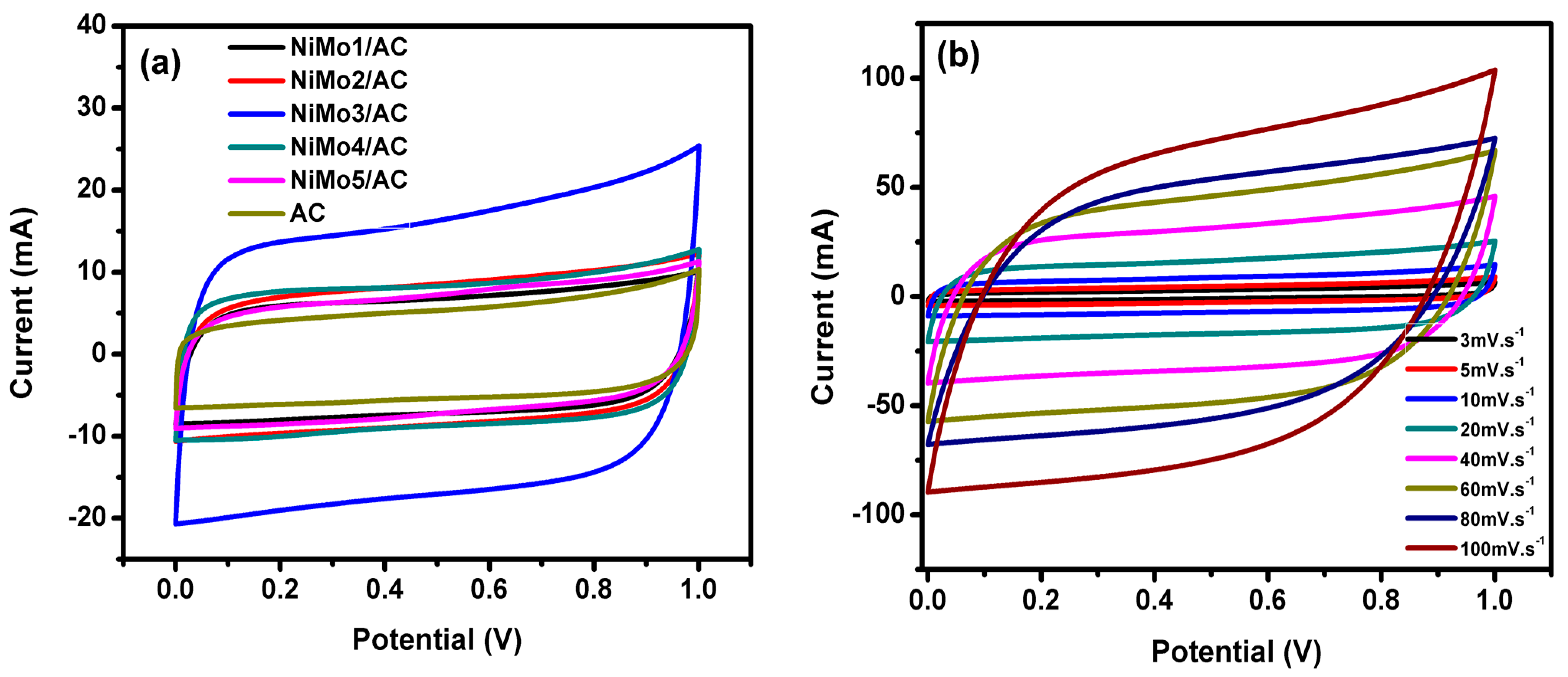
3.2. Electrochemical Study
4. Conclusions
Author Contributions
Funding
Data Availability Statement
Acknowledgments
Conflicts of Interest
References
- Siwatch, P.; Sharma, K.; Tripathi, S.K. Facile synthesis of NiCo2O4 quantum dots for asymmetric supercapacitor. Electrochim. Acta 2020, 329, 135084. [Google Scholar] [CrossRef]
- Audichon, T.; Napporn, T.W.; Canaff, C.; Morais, C.; Comminges, C.; Kokoh, K.B. IrO2 Coated on RuO2 as Efficient and Stable Electroactive Nanocatalysts for Electrochemical Water Splitting. J. Phys. Chem. C 2016, 120, 2562–2573. [Google Scholar] [CrossRef]
- Guo, X.; Chen, C.; Zhang, Y.; Xu, Y.; Pang, H. The application of transition metal cobaltites in electrochemistry. Energy Storage Mater. 2019, 23, 439–465. [Google Scholar] [CrossRef]
- Nishino, A.; Yoshida, A.; Tanahashi, I. Electric Double Layer Capacitor. U.S. Patent 4562511-A, 31 December 1985. [Google Scholar]
- Conway, B.E. Electrochemical Supercapacitors Scientific Fundamentals and Technological Applications; Kluwer Academic/Plenum Publishers: New York, NY, USA, 1999; p. 366. [Google Scholar]
- Li, Y.; Gong, J.; Xing, X.; Du, J.; Xu, P.; Cheng, K.; Ye, K.; Zhu, K.; Yan, J.; Cao, D.; et al. High-performance all-solid-state supercapacitor with binder-free binary transition metal sulfide array as cathode. Int. J. Energy Res. 2021, 45, 5517–5526. [Google Scholar] [CrossRef]
- Yuan, J.; Yao, D.; Jiang, L.; Tao, Y.; Che, J.; He, G.; Chen, H. Mn-Doped NiMoO4 Mesoporous Nanorods/Reduced Graphene Oxide Composite for High-Performance All-Solid-State Supercapacitor. ACS Appl. Energy Mater. 2020, 3, 1794–1803. [Google Scholar] [CrossRef]
- Asen, P.; Shahrokhian, S.; Zad, A.I. Transition metal ions-doped polyaniline/graphene oxide nanostructure as high performance electrode for supercapacitor applications. J. Solid State Electrochem. 2018, 22, 983–996. [Google Scholar] [CrossRef]
- Rabbani, O.; Ghasemi, S.; Hosseini, S.R. Sonochemical assisted synthesis of manganese–nickel molybdate/reduced graphene oxide nanohybrid for energy storage. J. Alloys Compd. 2020, 840, 155665. [Google Scholar] [CrossRef]
- Yi, T.-F.; Qiu, L.-Y.; Mei, J.; Qi, S.-Y.; Cui, P.; Luo, S.; Zhu, Y.-R.; Xie, Y.; He, Y.-B. Porous spherical NiO@NiMoO4@PPy nanoarchitectures as advanced electrochemical pseudocapacitor materials. Sci. Bull. 2020, 65, 546–556. [Google Scholar] [CrossRef]
- Yesuraj, J.; Padmaraj, O.; Suthanthiraraj, S.A. Synthesis, Characterization, and Improvement of Supercapacitor Properties of NiMoO4 Nanocrystals with Polyaniline. J. Inorg. Organomet. Polym. Mater. 2020, 30, 310–321. [Google Scholar] [CrossRef]
- Yari, A.; Heidari Fathabad, S. A high-performance supercapacitor based on cerium molybdate nanoparticles anchored on N, P co-doped reduced graphene oxide nanocomposite as the electrode. J. Mater. Sci. Mater. Electron. 2020, 31, 13051–13062. [Google Scholar] [CrossRef]
- Liu, J.; Deng, X.; Zhu, S.; Zhao, N.; Sha, J.; Ma, L.; He, F. Porous oxygen-doped NiCoP nanoneedles for high performance hybrid supercapacitor. Electrochim. Acta 2021, 368, 137528. [Google Scholar] [CrossRef]
- Liu, C.-F.; Liu, Y.-C.; Yi, T.-Y.; Hu, C.-C. Carbon materials for high-voltage supercapacitors. Carbon 2019, 145, 529–548. [Google Scholar] [CrossRef]
- Sharma, G.P.; Pala, R.G.S.; Sivakumar, S. Ultrasmall NiMoO4 robust nanoclusters-active carbon composite for high performance extrinsic pseudocapacitor. Electrochim. Acta 2019, 318, 607–616. [Google Scholar] [CrossRef]
- Cai, D.; Liu, B.; Wang, D.; Liu, Y.; Wang, L.; Li, H.; Wang, Y.; Wang, C.; Li, Q.; Wang, T. Facile hydrothermal synthesis of hierarchical ultrathin mesoporous NiMoO4 nanosheets for high performance supercapacitors. Electrochim. Acta 2014, 115, 358–363. [Google Scholar] [CrossRef]
- Ajay, A.; Paravannoor, A.; Joseph, J.; Amruthalakshmi, V.; Anoop, S.S.; Nair, S.V.; Balakrishnan, A. 2D amorphous frameworks of NiMoO4 for supercapacitors: Defining the role of surface and bulk controlled diffusion processes. Appl. Surf. Sci. 2015, 326, 39–47. [Google Scholar] [CrossRef]
- Chen, X.; Wang, X.; Fang, D. A review on C1s XPS-spectra for some kinds of carbon materials. Fuller. Nanotub. Carbon Nanostruct. 2020, 28, 1048–1058. [Google Scholar] [CrossRef]
- Wasfey, M.A.; Abdelwahab, A.; Carrasco-Marín, F.; Pérez-Cadenas, A.F.; H Abdullah, H.; Yahia, I.S.; Farghali, A.A. Nickel Cobaltite Functionalized Silver Doped Carbon Xerogels as Efficient Electrode Materials for High Performance Symmetric Supercapacitor. Materials 2020, 13, 4906. [Google Scholar] [CrossRef] [PubMed]
- Patil, R.A.; Chang, C.-P.; Devan, R.S.; Liou, Y.; Ma, Y.-R. Impact of Nanosize on Supercapacitance: Study of 1D Nanorods and 2D Thin-Films of Nickel Oxide. ACS Appl. Mater. Interfaces 2016, 8, 9872–9880. [Google Scholar] [CrossRef]
- Zhao, Y.; Zhang, W.-B.; Zhao, Z.-Y.; Li, K.; Wang, Y.-K.; Li, Y.; Kong, L.-B. Synthesis and evaluation of three-dimensional nickel molybdate nano-sheets on nickel foam as self-supported electrodes for sodium-ion hybrid capacitors. Mater. Res. Express 2018, 5, 065525. [Google Scholar] [CrossRef]
- Abdelwahab, A.; Castelo-Quibén, J.; Pérez-Cadenas, M.; Maldonado-Hódar, F.J.; Carrasco-Marín, F.; Pérez-Cadenas, A.F. Insight of the effect of graphitic cluster in the performance of carbon aerogels doped with nickel as electrodes for supercapacitors. Carbon 2018, 139, 888–895. [Google Scholar] [CrossRef]
- El-Deeb, M.M.; El Rouby, W.M.A.; Abdelwahab, A.; Farghali, A.A. Effect of pore geometry on the electrocatalytic performance of nickel cobaltite/carbon xerogel nanocomposite for methanol oxidation. Electrochim. Acta 2018, 259, 77–85. [Google Scholar] [CrossRef]
- Xu, J.; Mao, M.; Yu, H. Functionalization of sheet structure Co–Mo–S with Ni(OH)2 for efficient photocatalytic hydrogen evolution. Res. Chem. Intermed. 2020, 46, 1823–1840. [Google Scholar] [CrossRef]
- Wang, Y.; Sun, J.; Qian, X.; Zhang, Y.; Yu, L.; Niu, R.; Zhao, H.; Zhu, J. 2D/2D heterostructures of nickel molybdate and MXene with strong coupled synergistic effect towards enhanced supercapacitor performance. J. Power Sources 2019, 414, 540–546. [Google Scholar] [CrossRef]
- Xu, Y.; Xuan, H.; Gao, J.; Liang, T.; Han, X.; Yang, J.; Zhang, Y.; Li, H.; Han, P.; Du, Y. Hierarchical three-dimensional NiMoO4-anchored rGO/Ni foam as advanced electrode material with improved supercapacitor performance. J. Mater. Sci. 2018, 53, 8483–8498. [Google Scholar] [CrossRef]
- Abdelrazek, G.M.; El-Deeb, M.M.; Farghali, A.A.; Pérez-Cadenas, A.F.; Abdelwahab, A. Design of Self-Supported Flexible Nanostars MFe-LDH@ Carbon Xerogel-Modified Electrode for Methanol Oxidation. Materials 2021, 14, 5271. [Google Scholar] [CrossRef] [PubMed]
- Wei, C.; Huang, Y.; Yan, J.; Chen, X.; Zhang, X. Synthesis of hierarchical carbon sphere@NiMoO4 composite materials for supercapacitor electrodes. Ceram. Int. 2016, 42, 15694–15700. [Google Scholar] [CrossRef]
- Thiagarajan, K.; Bavani, T.; Arunachalam, P.; Lee, S.J.; Theerthagiri, J.; Madhavan, J.; Pollet, B.G.; Choi, M.Y. Nanofiber NiMoO4/g-C3N4 Composite Electrode Materials for Redox Supercapacitor Applications. Nanomaterials 2020, 10, 392. [Google Scholar] [CrossRef]
- Arshadi Rastabi, S.; Sarraf-Mamoory, R.; Razaz, G.; Blomquist, N.; Hummelgård, M.; Olin, H. Treatment of NiMoO4/nanographite nanocomposite electrodes using flexible graphite substrate for aqueous hybrid supercapacitors. PLoS ONE 2021, 16, e0254023. [Google Scholar] [CrossRef]
- Ray, S.K.; Pant, B.; Park, M.; Hur, J.; Lee, S.W. Cavity-like hierarchical architecture of WS2/α-NiMoO4 electrodes for supercapacitor application. Ceram. Int. 2020, 46, 19022–19027. [Google Scholar] [CrossRef]











| Sample | Ration between | Abbreviation | |
|---|---|---|---|
| Ni | Mo | ||
| Activated carbon | 0 | 0 | AC |
| NiMoO4/activated carbon | 1 | 1 | NiMo1/AC |
| 1 | 2 | NiMo1/AC | |
| 1 | 3 | NiMo1/AC | |
| 1 | 4 | NiMo1/AC | |
| 1 | 5 | NiMo1/AC | |
| Sample | SBET | Pore Volume | Pore Diameter | Pore Volume (NLDFT) |
|---|---|---|---|---|
| m2·g−1 | cm3·g−1 | nm | cm3·g−1 | |
| AC | 1630 | 0.572 | 1.07 | 0.873 |
| NiMo1/AC | 1634 | 0.654 | 1.60 | 0.829 |
| NiMo2/AC | 1043 | 0.471 | 1.24 | 0.627 |
| NiMo3/AC | 1703 | 0.735 | 1.73 | 0.925 |
| NiMo4/AC | 1454 | 0.642 | 1.76 | 0.742 |
| NiMo5/AC | 1345 | 0.555 | 1.65 | 0.694 |
| Sample | Ni | Mo | CV | GCD | ESR | Rs | RCs | ||||
|---|---|---|---|---|---|---|---|---|---|---|---|
| C5mV/s | C10mV/s | C20mV/s | C0.5A/g | C0.75A/g | C1A/g | ||||||
| F·g−1 | F·g−1 | F·g−1 | F·g−1 | F·g−1 | F·g−1 | Ω | Ω | % | |||
| AC | 0 | 0 | 172 | 169 | 162 | 240 | 228 | 210 | 3.58 | 0.32 | - |
| NiMo1/AC | 1 | 1 | 197 | 196 | 189 | 248 | 246 | 241 | 2.91 | 0.30 | 96.75 |
| NiMo2/AC | 1 | 2 | 236 | 232 | 229 | 288 | 284 | 278 | 1.88 | 0.33 | 98.8 |
| NiMo3/AC | 1 | 3 | 454 | 438 | 418 | 576 | 557 | 541 | 1.60 | 0.41 | 97.7 |
| NiMo4/AC | 1 | 4 | 236 | 234 | 218 | 316 | 312 | 305 | 2.75 | 0.44 | 91.79 |
| NiMo5/AC | 1 | 5 | 203 | 196 | 189 | 281 | 273 | 260 | 2.81 | 0.50 | 94.91 |
| Sample | Electrolyte | Substrate | Specific Capacitance F·g−1 | RCs % | Reference |
|---|---|---|---|---|---|
| NiMo3/AC | 1 M H2SO4 | Graphite | 541@1 A·g−1 | 97.7@4000cycle | This work |
| C@NiMoO4 | 2 M NaOH | Nickel foam | 268.8@1 A·g−1 | 88.4@2000cycle | [28] |
| Mn0.1Ni0.9MoO4/rGO | KOH/PVA Gel Solid | Nickel foam | 109.3@1 A·g−1 | 96.1@200cycle | [7] |
| NiMoO4/g-C3N4 | 6 M KOH | Carbon paper | 510@1 A·g−1 | 91.8@2000cycle | [29] |
| NiMoO4/nanographite | 1 M KOH | Graphite foils | 454.5@0.5 A·g−1 | 72@1000cycle | [30] |
| NiMoO4/polyaniline | 1 M Na2SO4 | Nickel foil | 285@5 mV·s−1 | 92@500cycle | [11] |
| WS2/α-NiMoO4 | 2 M KOH | Nickel foam | 460@1 A·g−1 | 92@2000cycle | [31] |
Disclaimer/Publisher’s Note: The statements, opinions and data contained in all publications are solely those of the individual author(s) and contributor(s) and not of MDPI and/or the editor(s). MDPI and/or the editor(s) disclaim responsibility for any injury to people or property resulting from any ideas, methods, instructions or products referred to in the content. |
© 2023 by the authors. Licensee MDPI, Basel, Switzerland. This article is an open access article distributed under the terms and conditions of the Creative Commons Attribution (CC BY) license (https://creativecommons.org/licenses/by/4.0/).
Share and Cite
Hamdi, E.; Abdelwahab, A.; Farghali, A.A.; Rouby, W.M.A.E.; Carrasco-Marín, F. 2D Hierarchical NiMoO4 Nanosheets/Activated Carbon Nanocomposites for High Performance Supercapacitors: The Effect of Nickel to Molybdenum Ratios. Materials 2023, 16, 1264. https://doi.org/10.3390/ma16031264
Hamdi E, Abdelwahab A, Farghali AA, Rouby WMAE, Carrasco-Marín F. 2D Hierarchical NiMoO4 Nanosheets/Activated Carbon Nanocomposites for High Performance Supercapacitors: The Effect of Nickel to Molybdenum Ratios. Materials. 2023; 16(3):1264. https://doi.org/10.3390/ma16031264
Chicago/Turabian StyleHamdi, Esraa, Abdalla Abdelwahab, Ahmed A. Farghali, Waleed M. A. El Rouby, and Francisco Carrasco-Marín. 2023. "2D Hierarchical NiMoO4 Nanosheets/Activated Carbon Nanocomposites for High Performance Supercapacitors: The Effect of Nickel to Molybdenum Ratios" Materials 16, no. 3: 1264. https://doi.org/10.3390/ma16031264
APA StyleHamdi, E., Abdelwahab, A., Farghali, A. A., Rouby, W. M. A. E., & Carrasco-Marín, F. (2023). 2D Hierarchical NiMoO4 Nanosheets/Activated Carbon Nanocomposites for High Performance Supercapacitors: The Effect of Nickel to Molybdenum Ratios. Materials, 16(3), 1264. https://doi.org/10.3390/ma16031264

