The Effect of Heat Treatment after Hydrothermal Reaction on the Lithium Storage Performance of a MoS2/Carbon Cloth Composite
Abstract
:1. Introduction
2. Experimental Procedure
2.1. Material Synthesis
2.2. Material Characterizations
2.3. Electrochemical Measurements
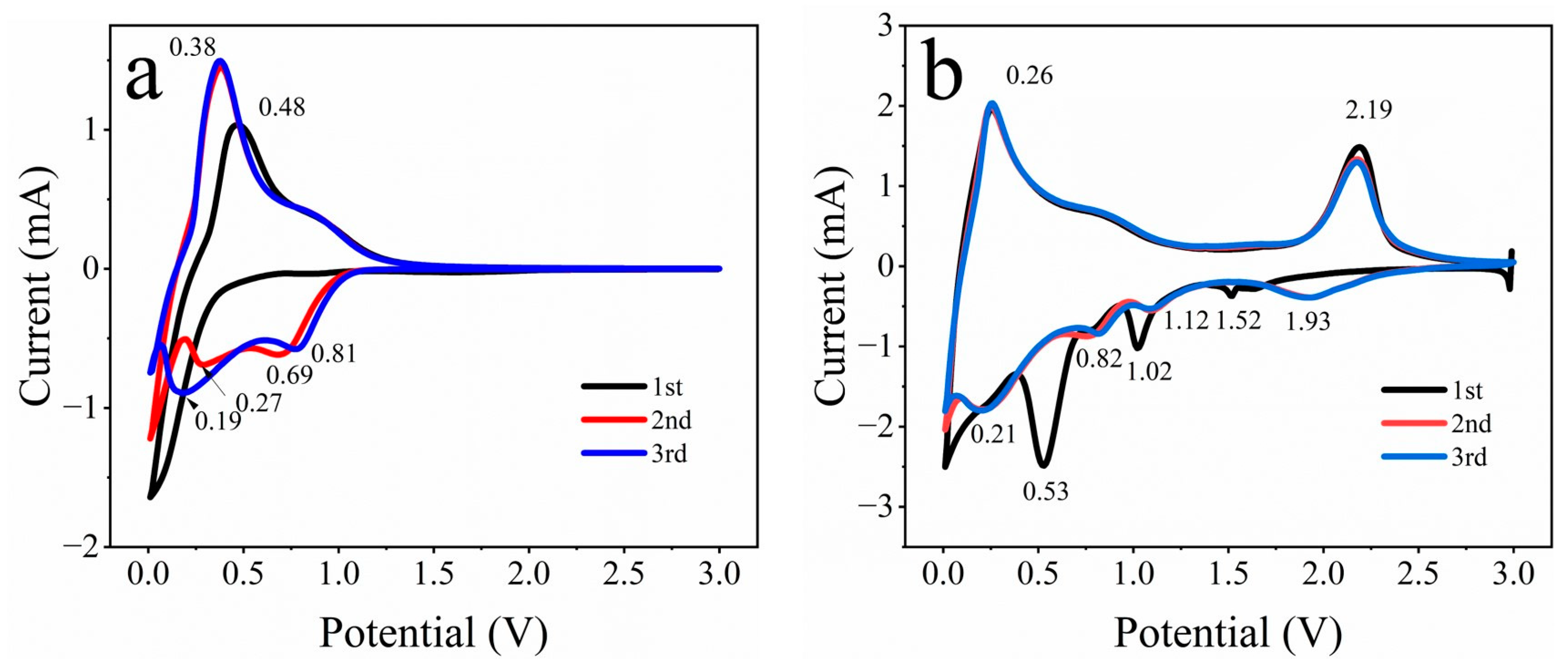
3. Results and Discussion
4. Conclusions
Supplementary Materials
Author Contributions
Funding
Data Availability Statement
Conflicts of Interest
References
- Zubi, G.; Dufo-López, R.; Carvalho, M.; Pasaoglu, G. The lithium-ion battery: State of the art and future perspectives. Renew. Sustain. Energy Rev. 2018, 89, 292–308. [Google Scholar] [CrossRef]
- Tarascon, J.M.; Armand, M. Issues and challenges facing rechargeable lithium batteries. Nature 2001, 414, 359–367. [Google Scholar] [CrossRef] [PubMed]
- Vishnumurthy, K.A.; Girish, K.H. A comprehensive review of battery technology for E-mobility. J. Indian Chem. Soc. 2021, 98, 100173. [Google Scholar] [CrossRef]
- Camargos, P.H.; dos Santos, P.H.J.; dos Santos, I.R.; Ribeiro, G.S.; Caetano, R.E. Perspectives on Li-ion battery categories for electric vehicle applications: A review of state of the art. Int. J. Energy Res. 2022, 46, 19258–19268. [Google Scholar] [CrossRef]
- Kim, T.; Song, W.; Son, D.-Y.; Ono, L.K.; Qi, Y. Lithium-ion batteries: Outlook on present, future, and hybridized technologies. J. Mater. Chem. A 2019, 7, 2942–2964. [Google Scholar] [CrossRef]
- Asenbauer, J.; Eisenmann, T.; Kuenzel, M.; Kazzazi, A.; Chen, Z.; Bresser, D. The success story of graphite as a lithium-ion anode material—Fundamentals, remaining challenges, and recent developments including silicon (oxide) composites. Sustain. Energy Fuels 2020, 4, 5387–5416. [Google Scholar] [CrossRef]
- Ali, H.G.; Khan, K.; Hanif, M.B.; Khan, M.Z.; Hussain, I.; Javed, M.S.; AL-bonsrulah, H.A.Z.; Mosiałek, M.; Fichtner, M.; Motola, M. Advancements in two-dimensional materials as anodes for lithium-ion batteries: Exploring composition-structure-property relationships emerging trends, and future perspective. J. Energy Storage 2023, 73, 108980. [Google Scholar] [CrossRef]
- Shajaripour Jaberi, S.Y.; Ghaffarinejad, A.; Khajehsaeidi, Z.; Sadeghi, A. The synthesis, properties, and potential applications of CoS2 as a transition metal dichalcogenide (TMD). Int. J. Hydrogen Energy 2023, 48, 15831–15878. [Google Scholar] [CrossRef]
- Mensah-Darkwa, K.; Nframah Ampong, D.; Agyekum, E.; de Souza, F.M.; Gupta, R.K. Recent Advancements in Chalcogenides for Electrochemical Energy Storage Applications. Energies 2022, 15, 4052. [Google Scholar] [CrossRef]
- Theerthagiri, J.; Senthil, R.A.; Senthilkumar, B.; Polu, A.R.; Madhavan, J.; Ashokkumar, M. Recent advances in MoS2 nanostructured materials for energy and environmental applications—A review. J. Solid State Chem. 2017, 252, 43–71. [Google Scholar] [CrossRef]
- Baheri, Y.T.; Hedayati, M.A.; Maleki, M.; Karimian, H. A vapor-liquid-solid mechanism for in-situ deposition of ultra-small hollow MoS2 nanoparticles in N-doped carbon foam as an anode of lithium-ion batteries. J. Energy Storage 2023, 68, 107682. [Google Scholar] [CrossRef]
- Barik, G.; Pal, S. 2D Square Octagonal Molybdenum Disulfide: An Effective Anode Material for LIB/SIB Applications. Adv. Theory Simul. 2020, 3, 2000157. [Google Scholar] [CrossRef]
- Yang, F.; Feng, X.; Glans, P.-A.; Guo, J. MoS2 for beyond lithium-ion batteries. APL Mater. 2021, 9, 050903. [Google Scholar] [CrossRef]
- Yun, Q.; Li, L.; Hu, Z.; Lu, Q.; Chen, B.; Zhang, H. Layered Transition Metal Dichalcogenide-Based Nanomaterials for Electrochemical Energy Storage. Adv. Mater. 2020, 32, 1903826. [Google Scholar] [CrossRef] [PubMed]
- Li, X.L.; Li, T.C.; Huang, S.; Zhang, J.; Pam, M.E.; Yang, H.Y. Controllable synthesis of 2D Molybdenum Disulfide (MoS2) for energy storage applications. ChemSusChem 2020, 13, 1379–1391. [Google Scholar] [CrossRef] [PubMed]
- Febrian, R.; Septiani, N.L.W.; Iqbal, M.; Yuliarto, B. Review—Recent Advances of Carbon-Based Nanocomposites as the Anode Materials for Lithium-Ion Batteries: Synthesis and Performance. J. Electrochem. Soc. 2021, 168, 110520. [Google Scholar] [CrossRef]
- Muchuweni, E.; Mombeshora, E.T.; Muiva, C.M.; Sathiaraj, T.S. Lithium-ion batteries: Recent progress in improving the cycling and rate performances of transition metal oxide anodes by incorporating graphene-based materials. J. Energy Storage 2023, 73, 109013. [Google Scholar] [CrossRef]
- León, M.I.; Castañeda, L.F.; Márquez, A.A.; Walsh, F.C.; Nava, J.L. Review—Carbon Cloth as a Versatile Electrode: Manufacture, Properties, Reaction Environment, and Applications. J. Electrochem. Soc. 2022, 169, 053503. [Google Scholar] [CrossRef]
- Wenelska, K.; Adam, V.; Thauer, E.; Singer, L.; Klingeler, R.; Chen, X.; Mijowska, E. Fabrication of 3D graphene/MoS2 spherical heterostructure as anode material in Li-ion battery. Front. Energy Res. 2022, 10, 960786. [Google Scholar] [CrossRef]
- Qin, S.; Lei, W.; Liu, D.; Chen, Y. Advanced N-doped Mesoporous Molybdenum Disulfide Nanosheets and the Enhanced Lithium-ion Storage Performance. J. Mater. Chem. A 2015, 4, 1440–1445. [Google Scholar] [CrossRef]
- Patil, S.B.; Kishore, B.; Vishwanatha, R.; Ebeling, G.; Nagaraju, G. CdS@MoS2 core–shell nanospheres: A new electrode for lithium ion batteries. J. Mater. Sci. Mater. Electron. 2019, 30, 14456–14463. [Google Scholar] [CrossRef]
- Francis, M.K.; Rajesh, K.; Bhargav, P.B.; Ahmed, N. Binder-free phosphorus-doped MoS2 flexible anode deposited on carbon cloth for high-capacity Li-ion battery applications. J. Mater. Sci. 2023, 58, 4054–4069. [Google Scholar] [CrossRef]
- Wu, M.; Zhan, J.; Wu, K.; Li, Z.; Wang, L.; Geng, B.; Wang, L.; Pan, D. Metallic 1T MoS2 nanosheet arrays vertically grown on activated carbon fiber cloth for enhanced Li-ion storage performance. J. Mater. Chem. A 2017, 5, 14061–14069. [Google Scholar] [CrossRef]
- Deng, Z.; Jiang, H.; Hu, Y.; Liu, Y.; Zhang, L.; Liu, H.; Li, C. 3D Ordered Macroporous MoS2@C Nanostructure for Flexible Li-Ion Batteries. Adv. Mater. 2017, 29, 1603020. [Google Scholar] [CrossRef] [PubMed]
- Wang, C.; Wang, X.; Lin, C.; Zhao, X.S. Spherical vanadium phosphate particles grown on carbon fiber cloth as flexible anode for high-rate Li-ion batteries. Chem. Eng. J. 2020, 386, 123981. [Google Scholar] [CrossRef]
- Yang, E.; Wei, N.; Li, M.; Xu, R.; Sui, Y.; Kong, M.; Ran, X.; Cui, H. Three-Dimensional Artificial Transpiration Structure Based on 1T/2H-MoS2/Activated Carbon Fiber Cloth for Solar Steam Generation. ACS Appl. Mater. Interfaces 2022, 14, 29788–29796. [Google Scholar] [CrossRef]
- Bai, J.; Zhao, B.; Zhou, J.; Si, J.; Fang, Z.; Li, K.; Ma, H.; Dai, J.; Zhu, X.; Sun, Y. Glucose-Induced Synthesis of 1T-MoS2/C Hybrid for High-Rate Lithium-Ion Batteries. Small 2019, 15, 1805420. [Google Scholar] [CrossRef]
- Lee, D.-Y.; Seo, S.D.; Song, H.J.; Kim, D.-W. Free-standing molybdenum disulfides on porous carbon cloth for lithium-ion battery anodes. Int. J. Energy Res. 2021, 45, 11329–11337. [Google Scholar] [CrossRef]
- Xiao, Z.; Chen, W.; Chen, Z.; Chen, C.; Cao, W.; Yu, F. Stable Sandwich-Like Biomass Carbon@MoS2 Composite Material with Enhanced Sodium Storage Performance. Energy Fuels 2022, 36, 3954–3963. [Google Scholar] [CrossRef]
- Teng, Y.; Zhao, H.; Zhang, Z.; Li, Z.; Xia, Q.; Zhang, Y.; Zhao, L.; Du, X.; Du, Z.; Lv, P.; et al. MoS2 Nanosheets Vertically Grown on Graphene Sheets for Lithium-Ion Battery Anodes. ACS Nano 2016, 10, 8526–8535. [Google Scholar] [CrossRef]
- Wang, H.W.; Skeldon, P.; Thompson, G.E. XPS studies of MoS2 formation from ammonium tetrathiomolybdate solutions. Surf. Coat. Technol. 1997, 91, 200–207. [Google Scholar] [CrossRef]
- Bai, J.; Zhao, B.; Wang, X.; Ma, H.; Li, K.; Fang, Z.; Li, H.; Dai, J.; Zhu, X.; Sun, Y. Yarn ball-like MoS2 nanospheres coated by nitrogen-doped carbon for enhanced lithium and sodium storage performance. J. Power Sources 2020, 465, 228282. [Google Scholar] [CrossRef]
- Bardestani, R.; Patience, G.S.; Kaliaguine, S. Experimental methods in chemical engineering: Specific surface area and pore size distribution measurements-BET, BJH, and DFT. Can. J. Chem. Eng. 2019, 97, 2781–2791. [Google Scholar] [CrossRef]
- Narsimulu, D.; Nagaraju, G.; Sekhar, S.C.; Ramulu, B.; Yu, J.S. Designed lamination of binder-free flexible iron oxide/carbon cloth as high capacity and stable anode material for lithium-ion batteries. Appl. Surf. Sci. 2019, 497, 143795. [Google Scholar] [CrossRef]
- Xiao, J.; Wang, X.; Yang, X.-Q.; Xun, S.; Liu, G.; Koech, P.K.; Liu, J.; Lemmon, J.P. Electrochemically Induced High Capacity Displacement Reaction of PEO/MoS2/Graphene Nanocomposites with Lithium. Adv. Funct. Mater. 2011, 21, 2840–2846. [Google Scholar] [CrossRef]
- Jiang, J.; Zhang, Y.; An, Y.; Wu, L.; Zhu, Q.; Dou, H.; Zhang, X. Engineering Ultrathin MoS2 Nanosheets Anchored on N-Doped Carbon Microspheres with Pseudocapacitive Properties for High-Performance Lithium-Ion Capacitors. Small Methods 2019, 3, 1900081. [Google Scholar] [CrossRef]
- Han, Y.; Chatti, M.; Ge, Y.; Wang, C.; Chao, Y.; Simonov, A.N.; Wallace, G.G. Binder-Free electrodes derived from interlayer-expanded MoS2 nanosheets on carbon cloth with 3D porous structure for high lithium storage. ChemElectroChem 2019, 6, 2338–2343. [Google Scholar] [CrossRef]
- Xu, Y.; Yan, W.; Sun, X.; Tang, G.; Chen, Y.; Xu, J. Synthesis of 1D-MoS2/graphene nanotubes aided with sodium chloride for reversible lithium storage. Ceram. Int. 2022, 48, 7687–7694. [Google Scholar] [CrossRef]
- Zhai, N.S.; Li, M.W.; Wang, W.L.; Zhang, D.L.; Xu, D.G. The Application of the EIS in Li-ion Batteries Measurement. J. Phys. Conf. Ser. 2006, 48, 1157–1161. [Google Scholar] [CrossRef]
- Zhuang, Q.; Yang, Z.; Zhang, L.; Cui, Y. Research Progress on Diagnosis of Electrochemical Impedance Spectroscopy in Lithium Ion Batteries. Prog. Chem. 2020, 32, 761–791. [Google Scholar]
- Stolyarova, S.G.; Kotsun, A.A.; Shubin, Y.V.; Koroteev, V.O.; Plyusnin, P.E.; Mikhlin, Y.L.; Mel’gunov, M.S.; Okotrub, A.V.; Bulusheva, L.G. Synthesis of Porous Nanostructured MoS2 Materials in Thermal Shock Conditions and Their Performance in Lithium-Ion Batteries. ACS Appl. Energy Mater. 2020, 3, 10802–10813. [Google Scholar] [CrossRef]













Disclaimer/Publisher’s Note: The statements, opinions and data contained in all publications are solely those of the individual author(s) and contributor(s) and not of MDPI and/or the editor(s). MDPI and/or the editor(s) disclaim responsibility for any injury to people or property resulting from any ideas, methods, instructions or products referred to in the content. |
© 2023 by the authors. Licensee MDPI, Basel, Switzerland. This article is an open access article distributed under the terms and conditions of the Creative Commons Attribution (CC BY) license (https://creativecommons.org/licenses/by/4.0/).
Share and Cite
Li, X.; Li, C.; Yang, Q. The Effect of Heat Treatment after Hydrothermal Reaction on the Lithium Storage Performance of a MoS2/Carbon Cloth Composite. Materials 2023, 16, 7678. https://doi.org/10.3390/ma16247678
Li X, Li C, Yang Q. The Effect of Heat Treatment after Hydrothermal Reaction on the Lithium Storage Performance of a MoS2/Carbon Cloth Composite. Materials. 2023; 16(24):7678. https://doi.org/10.3390/ma16247678
Chicago/Turabian StyleLi, Xintong, Chonggui Li, and Qi Yang. 2023. "The Effect of Heat Treatment after Hydrothermal Reaction on the Lithium Storage Performance of a MoS2/Carbon Cloth Composite" Materials 16, no. 24: 7678. https://doi.org/10.3390/ma16247678
APA StyleLi, X., Li, C., & Yang, Q. (2023). The Effect of Heat Treatment after Hydrothermal Reaction on the Lithium Storage Performance of a MoS2/Carbon Cloth Composite. Materials, 16(24), 7678. https://doi.org/10.3390/ma16247678
