A New Approach for the Synthesis of 2,3,4а,6,7,8а,9,10-Octaaza-4,8-dioxo-3,4,4a,7,8,8а,9,9a,10,10а-decahydroanthracene and High-Energy Performance Characterization of Its Dinitramide Salt
Abstract
:1. Introduction
2. Materials and Methods
2.1. General Information
2.2. Commercial Products Used
- -
- urea;
- -
- a 40% aqueous solution of glyoxal;
- -
- hydrazine hydrate;
- -
- potassium perchlorate (ACS grade, technical specifications No. 6-09-3801-76, with a particle size ranging from 63 to 160 µm);
- -
- aluminum (ASD-4 brand, technical specifications No. 48-5-226-87, with a particle size from 4 to 10 µm);
- -
- potassium nitrate (ACS grade, compliant with GOST R 4217-77, with a particle size ranging from 63 to 160 µm); and
- -
- zirconium (PCZr-1 brand, a powdered calciothermic Zr, technical specifications No. 48-4-234-84, with a particle size from 1 to 15 µm).
2.3. Synthetic Methods
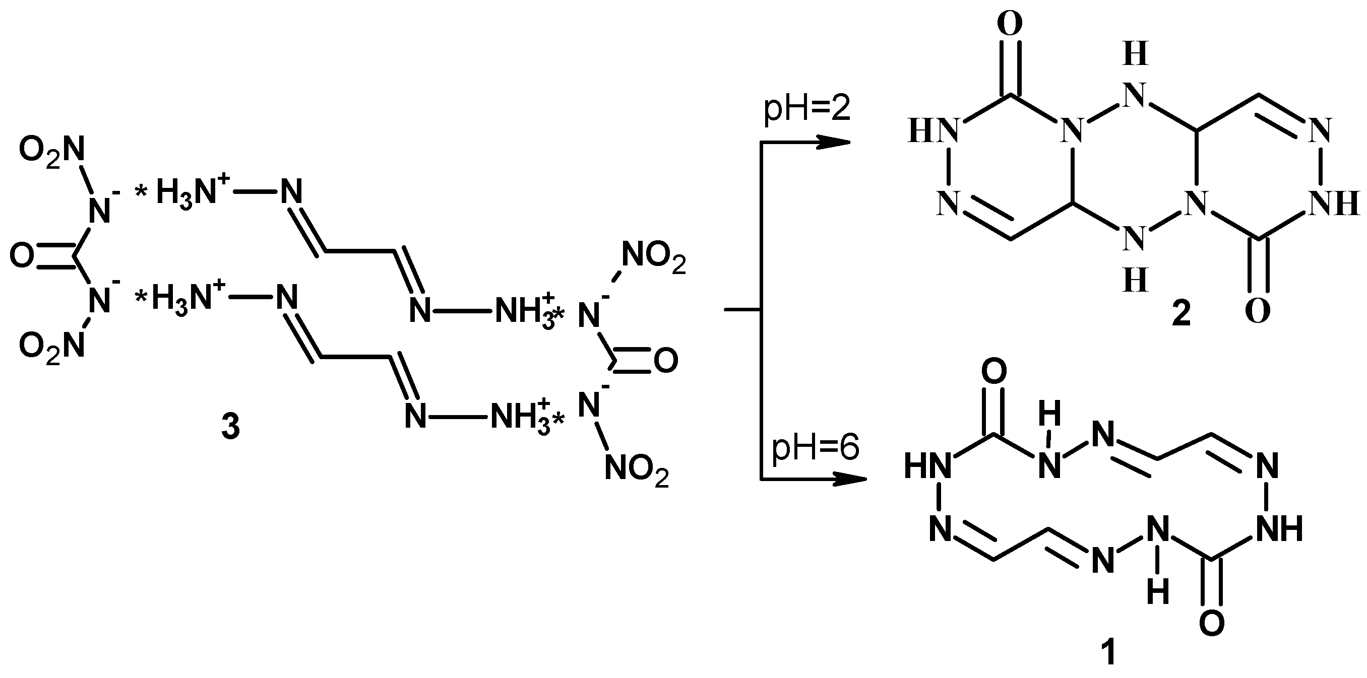
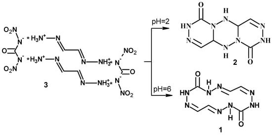
- 1,2,4,5,8,9,11,12-Octaazacyclotetradeca-5,7,12,14-tetraene-3,10-dione (1)
- (a)
- We added N,N′-dinitrourea (6.0 g, 0.04 mol) to water (100 mL) at 0–5 °C, and aqueous bis(hydrazone)glyoxal (3.44 g, 0.04 mol) was slowly poured into water (100 mL) with constant stirring. The whole was held for 0.5 h, and then heated to 60 °C. This temperature was held for 4 h. The precipitate was collected via filtration. Yield: 2.48 g (55.4%).
- (b)
- A suspension of compound 3 (4.72 g, 0.02 mol) in water (100 mL) was heated to 70 °C and held at this temperature for 7 h, pH = 6. The whole was cooled, and the precipitate was collected via filtration and washed with water. Yield: 4.31 g (96.2%).
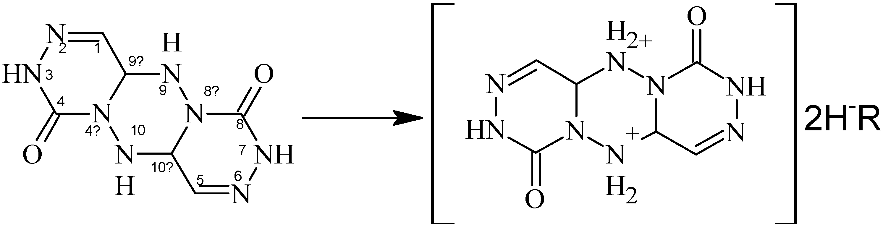
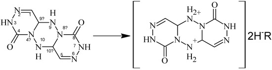
- 2,3,4а,6,7,8а,9,10-Octaaza-4,8-dioxo-3,4,4a,7,8,8а,9,9a,10,10а-decahydro-anthracene (2)
- (a)
- We added N,N′-dinitrourea (12.0 g, 0.08 mol) to water (100 mL) at 0–5 °C, and aqueous bis(hydrazone)glyoxal (3.44 g, 0.04 mol) was slowly poured into water (100 mL) with constant stirring. The reaction mixture was held for 1 h, then heated to 70 °C and kept for 7 h at this temperature. The whole was cooled, and the precipitate was collected via filtration and washed with water. Yield: 2.39 g (53.3%).
- (b)
- A suspension of compound 3 (4.72 g, 0.02 mol) in water (100 mL) was acidified with several drops of an acid (acetic or hydrochloric acid) to рН = 2, heated to 70 °C. and held at this temperature for 7 h. The whole was cooled, and the precipitate was collected via filtration and washed with water. Yield: 2.53 g (56.4%).
- Onium salt of [N,N′-bis(hydrazone)glyoxal]N,N′-dinitrourea (3)
- 2,3,4а,6,7,8а,9,10-Octaaza-4,8-dioxo-3,4,4a,7,8,8а,9a,10а-octohydroanthracene-9,10-ion-bis(dinitramide) (4)
2.4. Pyrotechnics
2.4.1. Pyrotechnic Formulations
- Potassium perchlorate (70%; <63 µm) and aluminum (30%; 4–10 µm);
- Potassium nitrate (48%; 63–160 µm) and zirconium (52%; 1–15 µm).
2.4.2. Preparation of Ingredients and Fabrication of Pyrotechnic Compositions
2.4.3. Measurements of Pyrotechnic Composition Burning Rate
3. Results and Discussion
3.1. Synthetic Approaches
3.2. Physical and High-Energy Properties
4. Conclusions
- In the current study, a novel regioselective approach for synthesizing 2,3,4a,6,7,8a,9,10-octaaza-4,8-dioxo-3,4,4a,7,8,8a,9,9a,10,10a-decahydroanthracene, which is a promising high-nitrogen tricycle with a high nitrogen content, was discovered.
- A never-before-seen structure of the corresponding bis-dinitramide salt was synthesized by reacting dinitramic acid with the tricycle followed by protonation of the H-N protons of the central ring.
- The tricycle-based dinitramide salt is appealing as a safe high-energy material that has a low sensitivity to mechanical stimuli, enhanced thermal stability, and acts as a burning rate inhibitor of pyrotechnic compositions.
Supplementary Materials
Author Contributions
Funding
Institutional Review Board Statement
Informed Consent Statement
Data Availability Statement
Acknowledgments
Conflicts of Interest
References
- Bottaro, C.; Schmitt, R.J.; Penwell, P.E.; Ross, D.S. Method of Forming Dinitramide Salts. U.S. Patent 5198204A, 30 March 1993. [Google Scholar]
- Drake, G.; Hawkins, T.; Brand, A.; Hall, L.; Mckay, M.; Vij, A.; Ismail, I. Energetic low-melting salts of simple heterocycles. Propellants Explos. Pyrotech. 2003, 28, 4174–4180. [Google Scholar] [CrossRef]
- Schaller, U.; Lang, J.; Gettwert, V.; Hurttlen, J.; Weiser, V.; Keicher, T. 4-Amino-1-Butyl-1,2,4-Triazolium Dinitramide—Synthesis, Characterization and Combustion of a Low-Temperature Dinitramide-Based Energetic Ionic Liquid (EIL). Propellants Explos. Pyrotech. 2022, 47, e202200054. [Google Scholar] [CrossRef]
- Kumar, P. An overview over dinitramide anion and compounds based on it. Indian Chem. Eng. 2020, 62, 232–242. [Google Scholar] [CrossRef]
- Klapoetke, T.M.; Martin, F.A.; Mayr, N.T.; Stierstorfer, J. Synthesis and characterization of 3,5-diamino-1,2,4-triazolium dinitramide. ZAAC 2010, 636, 2555–2564. [Google Scholar] [CrossRef]
- Klapoetke, T.M.; Stierstorfer, J. Azidoformamidinium and 5-aminotetrazolium dinitramide-two highly energetic isomers with a balanced oxygen content. Dalton Trans. 2009, 4, 643–653. [Google Scholar] [CrossRef]
- Luk’yanov, O.A.; Parakhin, V.V.; Shlykova, N.I.; Dmitrienko, A.O.; Melnikova, E.K.; Kon’Kova, T.S.; Monogarov, K.A.; Meerov, D.B. Energetic: N-azidomethyl derivatives of polynitro hexaazaisowurtzitanes series: CL-20 analogues having the highest enthalpy. New J. Chem. 2020, 44, 8357–8365. [Google Scholar] [CrossRef]
- Vinogradov, D.B.; Bulatov, P.V.; Petrov, E.Y.; Tartakovsky, V.A. Heterocyclization of amino alcohols into saturated cyclic quaternary ammonium salts. Mendeleev Commun. 2020, 30, 781–784. [Google Scholar] [CrossRef]
- Jianrong, R.; Dong, C.; Guijuan, F.; Ying, X.; Zhenqi, Z.; Yanwu, Y.; Hongzhen, L. Synthesis, characterization and properties of a novel energetic ionic salt: Dicarbohydrazide bis[3-(5-nitroimino-1,2,4-triazole)]. New J. Chem. 2019, 43, 6422–6428. [Google Scholar]
- Fischer, N.; Klapotke, T.M.; Stierstorfer, J. Explosives based on diaminourea. Propellants Explos. Pyrotech 2011, 36, 225–232. [Google Scholar] [CrossRef]
- Fischer, N.; Klapotke, T.M.; Reymann, M.; Stierstorfer, J. Nitrogen-rich salts of 1H,1′H-5,5′-bitetrazole-1,1′-diol: Energetic materials with high thermal stability. Eur. J. Inorg. Chem. 2013, 12, 2167–2180. [Google Scholar] [CrossRef]
- Oxley, J.C.; Smith, J.L.; Vadlamannati, S.; Brown, A.C.; Zhang, G.; Swanson, D.S.; Canino, J. Synthesis and characterization of urea nitrate and nitrourea. Propellants Explos. Pyrotech. 2013, 38, 335–344. [Google Scholar] [CrossRef]
- Venkatachalam, S.; Gopalakrishnan, S.; Kovoor, N.N. An Overview on the Synthetic Routes and Properties of Ammonium Dinitramide (ADN) and other Dinitramide Salts. Propellants Explos. Pyrotech. 2004, 29, 178–187. [Google Scholar] [CrossRef]
- Sims, S.; Fischer, S.; Tagliabue, C. ADN solid propellants with high burning rates as booster material for hypersonic applications. Propellants Explos. Pyrotech. 2022, 47, e202200028. [Google Scholar] [CrossRef]
- Larsson, A.; Wingborg, N. Chapter 7. Green Propellants Based on Ammonium Dinitramide (ADN). In Advances in Spacecraft Technologies; Hall, J., Ed.; IntechOpen: London, UK, 2011; p. 608. [Google Scholar]
- Lukyanov, O.A.; Gorclik, V.P.; Tartakovsky, V.A. Dinitramide and its Salts 1. Russ. Chem. Bull. 1994, 43, 89–92. Available online: https://link.springer.com/article/10.1007/BF00699142 (accessed on 9 November 2023). [CrossRef]
- Lukyanov, O.A.; Anikin, O.V.; Gorclik, V.P.; Tartakovsky, V.A. Dinitramide and its salts 3. Russ. Chem. Bull. 1994, 43, 1457–1461. Available online: https://link.springer.com/article/10.1007/BF00697125 (accessed on 9 November 2023). [CrossRef]
- Alavia, S.; Thompson, D.L. Decomposition pathways of dinitramic acid and the dinitramide ion. J. Chem. Phys. 2003, 119, 232–240. [Google Scholar] [CrossRef]
- Ghee, A.H.; Santhosh, G. Advances in Energetic Dinitramides: An Emerging Class of Inorganic Oxidizes; World Scientific Publishing Company: Hackensack, NJ, USA, 2007; p. 180. [Google Scholar]
- Ermolin, N.E.; Fomin, V.M. On the mechanism of thermal decomposition of ammonium dinitramide (review). Combust. Explos. Shock Waves. 2016, 52, 566–586. [Google Scholar] [CrossRef]
- Il’yasov, S.G.; Glukhacheva, V.S.; Il’yasov, D.S.; Zhukov, E.E.; Eltsov, I.V.; Gatilov, Y.V. A novel energetic nickel coordination compound based on carbohydrazide and dinitramide. Mendeleev Commun. 2022, 32, 344–346. [Google Scholar] [CrossRef]
- Il’yasov, S.G.; Glukhacheva, V.S.; Il’yasov, D.S.; Zhukov, E.E. Macrocycle as a “Container” for Dinitramide Salts. Materials 2022, 15, 6958. [Google Scholar] [CrossRef]
- Il’yasov, S.G.; Glukhacheva, V.S.; Il’yasov, D.S.; Zhukov, E.E.; Eltsov, I.V.; Nefedov, A.A.; Gatilov, Y.V. Adducts of the zinc salt of dinitramic acid. Materials 2023, 16, 70. [Google Scholar] [CrossRef]
- Glukhacheva, V.S.; Il’yasov, S.G.; Obraztsov, A.A.; Gatilov, Y.V.; Eltsov, I.V. A New Synthetic Route to Heteroanthracenes. Eur. J. Org. Chem. 2018, 10, 1265–1273. [Google Scholar] [CrossRef]
- l’yasov, S.G.; Glukhacheva, V.S.; Yermoshina, V.A.; Eltsov, I.V. Synthesis of nitro-octaaza derivatives of reduced anthracene. ZAAC 2019, 645, 792–796. [Google Scholar]
- Il’yasov, S.G.; Lobanova, A.A.; Bagryanskaya, I.Y.; Rybalova, T.V.; Gatilov, Y.V. Physicochemical studies of the structure of n,n′-dinitrourea and its salts. J. Struct. Chem. 2009, 50, 1066–1070. [Google Scholar] [CrossRef]
- Ye, C.; Gao, H.; Twamley, B.; Shreeve, J.M. Dense energetic salts of N,N-dinitrourea (DNU). New J. Chem. 2008, 32, 317–322. [Google Scholar] [CrossRef]
- Guo, Y.; Tao, G.H.; Joo, Y.H.; Wang, R.; Twamley, B.; Parrish, D.A.; Shreeve, J.M. Impact insensitive dianionic dinitrourea salts: The CN4O52− anion paired with nitrogen-rich cations. Energy Fuels. 2009, 23, 4567–4574. [Google Scholar] [CrossRef]
- Lobanova, A.A.; Sataev, R.R.; Popov, N.I.; Ilyasov, S.G. Chemistry of urea nitro derivatives: I. synthesis of N,N-dinitrourea. Russ. J. Org. Chem. 2000, 36, 164–167. [Google Scholar]
- Zhang, Y.; Ma, B.; Jia, X.; Hou, C. Prediction of ethanol-mediated growth morphology of ammonium dinitramide/pyrazine-1,4-dioxide cocrystal at different temperatures. Molecules 2023, 28, 4534. [Google Scholar] [CrossRef]
- Chen, F.; Xuan, C.; Lu, Q.; Xiao, L.; Yang, J.; Hu, Y.; Zhang, G.; Wang, Y.; Zhao, F.; Hao, G.; et al. A review on the high energy oxidizer ammonium dinitramide: Its synthesis, thermal decomposition, hygroscopicity, and application in energetic materials. Def. Technol. 2023, 19, 163–195. [Google Scholar] [CrossRef]
- Nagamachi, M.Y.; Oliveira, J.I.S.; Kawamoto, A.M.; Dutra, R.D.C.L. ADN—The new oxidizer around the corner for an environmentally friendly smokeless propellant. J. Aerosp. Technol. Manag. 2009, 1, 153–160. [Google Scholar] [CrossRef]
- Bottaro, J.C. Recent advances in explosives and solid propellants. Chem. Ind. 1996, 7, 249–252. [Google Scholar]
- Russian State Standard GOST R 4545-88; High Explosives. Test Methods for Impact Sensitivity. Federal Agency for Technical Regulation and Metrology: Moscow, Russia, 1988; 15p. Available online: https://protect.gost.ru/document.aspx?control=7&id=139959 (accessed on 12 October 2023). (In Russian)
- Russian State Standard GOST R 50835-95; High Explosives. Test Methods for Friction Sensitivity upon Shock Displacement. Federal Agency for Technical Regulation and Metrology: Moscow, Russia, 1997; 13p. Available online: https://protect.gost.ru/document.aspx?control=7&id=133997 (accessed on 12 October 2023). (In Russian)
- Belyaev, A.F.; Bobolev, V.K.; Korotkov, A.I.; Sulimov, A.A.; Chuiko, S.V. Transition of Combustion of Condensed Systems into Explosion; Nauka: Moscow, Russia, 1973; 292p, Available online: https://apps.dtic.mil/sti/pdfs/ADA006013.pdf (accessed on 23 September 2023). (In Russian)
















| Comp. | Oxygen Balance | Density, g/cm3 | Тdec., °C | Sensitivity, Lower Limit | |
|---|---|---|---|---|---|
| Impact (10 kg), mm a per GOST R 4545-88 in Tester No. 2 | Friction, kgf/cm2 as per GOST R 50835-95 | ||||
| 2 | –99.92 | 1.5321 | 252 [24] | - | - |
| 3 | –33.88 | 1.4692 | 235 | <50 | 2400 |
| 4 | –11.59 | 1.6506 | 265 | 70 | 3200 |
| ADN [30,31,32,33] | 25.80 | 1.8120 | 91–94 | 90 | 3000 |
| Additive | ∇u (KClO4/Al), % | ∇u (Zr/KNO3), % |
|---|---|---|
| 0.5% | −8.87 | −12.73 |
| 1.0% | −12.23 | −19.94 |
| 1.5% | −23.85 | −30.23 |
Disclaimer/Publisher’s Note: The statements, opinions and data contained in all publications are solely those of the individual author(s) and contributor(s) and not of MDPI and/or the editor(s). MDPI and/or the editor(s) disclaim responsibility for any injury to people or property resulting from any ideas, methods, instructions or products referred to in the content. |
© 2023 by the authors. Licensee MDPI, Basel, Switzerland. This article is an open access article distributed under the terms and conditions of the Creative Commons Attribution (CC BY) license (https://creativecommons.org/licenses/by/4.0/).
Share and Cite
Glukhacheva, V.S.; Il’yasov, S.G.; Il’yasov, D.S.; Zhukov, E.E.; Eltsov, I.V.; Nefedov, A.A. A New Approach for the Synthesis of 2,3,4а,6,7,8а,9,10-Octaaza-4,8-dioxo-3,4,4a,7,8,8а,9,9a,10,10а-decahydroanthracene and High-Energy Performance Characterization of Its Dinitramide Salt. Materials 2023, 16, 7437. https://doi.org/10.3390/ma16237437
Glukhacheva VS, Il’yasov SG, Il’yasov DS, Zhukov EE, Eltsov IV, Nefedov AA. A New Approach for the Synthesis of 2,3,4а,6,7,8а,9,10-Octaaza-4,8-dioxo-3,4,4a,7,8,8а,9,9a,10,10а-decahydroanthracene and High-Energy Performance Characterization of Its Dinitramide Salt. Materials. 2023; 16(23):7437. https://doi.org/10.3390/ma16237437
Chicago/Turabian StyleGlukhacheva, Vera S., Sergey G. Il’yasov, Dmitri S. Il’yasov, Egor E. Zhukov, Ilia V. Eltsov, and Andrey A. Nefedov. 2023. "A New Approach for the Synthesis of 2,3,4а,6,7,8а,9,10-Octaaza-4,8-dioxo-3,4,4a,7,8,8а,9,9a,10,10а-decahydroanthracene and High-Energy Performance Characterization of Its Dinitramide Salt" Materials 16, no. 23: 7437. https://doi.org/10.3390/ma16237437
APA StyleGlukhacheva, V. S., Il’yasov, S. G., Il’yasov, D. S., Zhukov, E. E., Eltsov, I. V., & Nefedov, A. A. (2023). A New Approach for the Synthesis of 2,3,4а,6,7,8а,9,10-Octaaza-4,8-dioxo-3,4,4a,7,8,8а,9,9a,10,10а-decahydroanthracene and High-Energy Performance Characterization of Its Dinitramide Salt. Materials, 16(23), 7437. https://doi.org/10.3390/ma16237437

