Tailored Synthesis of Catalytically Active Cerium Oxide for N, N-Dimethylformamide Oxidation
Abstract
1. Introduction
2. Experimental
2.1. Catalyst Preparation
2.2. Catalyst Characterization
2.3. Catalytic Test
3. Characterization Results and Analysis
3.1. Catalyst Structure and Texture Analysis
3.2. Morphology
3.3. Elemental Composition and Ionic State
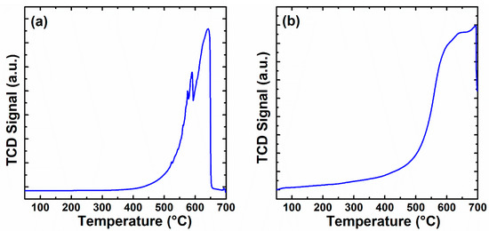
3.4. Redox Properties
3.5. Optical Properties
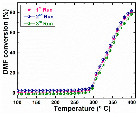
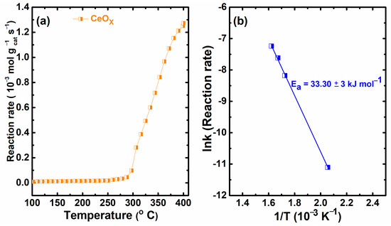
3.6. Catalytic Test
4. Conclusions
Supplementary Materials
Author Contributions
Funding
Institutional Review Board Statement
Informed Consent Statement
Conflicts of Interest
References
- Ali, S.; Xiong, W.; Liao, Z.; Aslam, M.J.; Zhou, C.; Seong, K.K.; Zhang, P.; Zhang, N.; Zheng, J.; Fu, J.; et al. Noble metal free catalyst with High activity and stability for catalytic wet air oxidation of N, N-dimethylformamide. Appl. Catal. A Gen. 2021, 620, 118172. [Google Scholar] [CrossRef]
- Kostopoulos, N.; Achaibou, C.; Noel, J.-M.; Kanoufi, F.; Robert, M.; Fave, C.; Anxolabehere-Mallart, E. Electrocatalytic O2 Activation by Fe Tetrakis (pentafluorophenyl) porphyrin in Acidic Organic Media. Evidence of High-Valent Fe Oxo Species. Inorg. Chem. 2020, 59, 11577–11583. [Google Scholar] [CrossRef]
- Xiong, H.; DeLuca, G.; Bach, U.; Jiang, L.; Zhang, Q.; Reichmanis, E.; Qiu, Y. Synergistic Effect of N,N-Dimethylformamide and Hydrochloric Acid on the Growth of MAPbI(3) Perovskite Films for Solar Cells. ACS Omega 2020, 5, 32295–32304. [Google Scholar]
- Ma, Y.; Zhang, Q.; Liu, L.; Li, Y.; Li, H.; Yan, Z.; Chen, J. N,N-dimethylformamide tailors solvent effect to boost Zn anode reversibility in aqueous electrolyte. Natl. Sci. Rev. 2022, 9, nwac051. [Google Scholar] [CrossRef] [PubMed]
- Angerer, J.; Göen, T.; Krämer, A.; Käfferlein, H.U. N-methylcarbamoyl adducts at the N-terminal valine of globin in workers exposed to N,N-dimethylformamide. Arch. Toxicol. 1998, 72, 309–313. [Google Scholar] [CrossRef] [PubMed]
- Antoniou, E.; Gelbke, H.; Ballach, J.; Zeegers, M. The influence of airborne N, N -dimethylformamide on liver toxicity measured in industry workers: A systematic review and meta-analysis. Toxicol. Res. Appl. 2020, 4, 239784731989908. [Google Scholar]
- Liu, Y.; Wen, C.; Zhang, Y.; Liu, Z.; He, Q.; Cui, M.; Peng, H.; Wang, Y.; Zhang, X.; Li, X. Aberrant expression of SNHG12 contributes to N, N-dimethylformamide-induced hepatic apoptosis both in short-term and long-term DMF exposure. Toxicol. Res. 2021, 10, 1022–1033. [Google Scholar] [CrossRef]
- Liu, Z.; He, Q.; Liu, Y.; Zhang, Y.; Cui, M.; Peng, H.; Wang, Y.; Chen, S.; Li, D.; Chen, L.; et al. Hsa_circ_0005915 promotes N,N-dimethylformamide-induced oxidative stress in HL-7702 cells through NRF2/ARE axis. Toxicol. 2021, 458, 152838. [Google Scholar] [CrossRef]
- Yang, Q.; Sheng, M.; Huang, Y. Potential Safety Hazards Associated with Using N,N-Dimethylformamide in Chemical Reactions. Org. Process Res. Dev. 2020, 24, 1586–1601. [Google Scholar] [CrossRef]
- Ma, M.; Huang, H.; Chen, C.; Zhu, Q.; Yue, L.; Albilali, R.; He, C. Highly active SBA-15-confined Pd catalyst with short rod-like micro-mesoporous hybrid nanostructure for n-butylamine low-temperature destruction. Mol. Catal. 2018, 455, 192–203. [Google Scholar] [CrossRef]
- Xing, X.; Li, N.; Liu, D.; Cheng, J.; Hao, Z. Effect of Cu-ZSM-5 catalysts with different CuO particle size on selective catalytic oxidation of N,N-Dimethylformamide. Front. Environ. Sci. Eng. 2022, 16, 125. [Google Scholar] [CrossRef]
- Solovyova, Y.; Yustratov, V.; Golubeva, N.; Vasiljeva, I.; Nazimova, E. Study of the Process of Wastewater Treatment with Activated Caron from Dimethylamine and Dimethylformamide in their Joint Presence. Ecol. Ind. Russ. 2021, 25, 18–22. [Google Scholar] [CrossRef]
- Zhang, Z.; Ruan, F.; Xu, S.; Wu, W.; Shi, S.; Xiao, G. Pervaporation separation of N, N-dimethylformamide/water using poly (vinyl alcohol) based mixed matrix membranes. Process. Saf. Environ. Prot. 2022, 159, 779–794. [Google Scholar] [CrossRef]
- Li, J.; Dijkstra, P.; Lu, Q.; Wang, S.; Chen, S.; Li, D.; Wang, Z.; Jia, Z.; Wang, L.; Shim, H. Genomics-informed insights into microbial degradation of N,N-dimethylformamide. Int. Biodeterior. Biodegradation 2021, 163, 105283. [Google Scholar] [CrossRef]
- Hu, X.; Dong, H.; Zhang, Y.; Fang, B.; Jiang, W. Mechanism of N,N-dimethylformamide electrochemical oxidation using a Ti/RuO2-IrO2 electrode. RSC Adv. 2021, 11, 7205–7213. [Google Scholar] [CrossRef] [PubMed]
- Fan, Z.-G.; Tian, Z.-Y.; Li, W.; Zheng, Z.-H.; Yang, J.-Z. Pyrolysis study of N, N-dimethylformamide at low pressure. J. Anal. Appl. Pyrolysis 2022, 162, 105426. [Google Scholar] [CrossRef]
- Ghosh, P.; Samanta, S.; Ghosh, S.; Jana, S.; Hajra, A. Aminomethylation of imidazopyridines using N,N-dimethylformamide as an aminomethylating reagent under Cu(II)-catalysis. Tetrahedron Lett. 2020, 61, 152581. [Google Scholar] [CrossRef]
- Huang, F.; Ye, D.; Guo, X.; Zhan, W.; Guo, Y. Technology, Effect of ceria morphology on the performance of catalytic combustion of N, N-dimethylformamide over MnOx/CeO2 catalysts. Catal. Sci. Technol. 2020, 10, 6873–6878. [Google Scholar] [CrossRef]
- Nanba, T.; Masukawa, S.; Uchisawa, J.; Obuchi, A. Mechanism of acrylonitrile decomposition over Cu-ZSM-5. J. Mol. Catal. A Chem. 2007, 276, 130–136. [Google Scholar] [CrossRef]
- Gong, J.; Li, D.; Wang, L.; Zhan, W.; Guo, Y.; Wang, Y.; Guo, Y. Catalytic wet oxidation of N,N-dimethyl formamide over ruthenium supported on CeO2 and Ce0.7Zr0.3O2 catalysts. J. Rare Earths 2018, 37, 265–272. [Google Scholar] [CrossRef]
- Dobrynkin, N.M.; Batygina, M.V.; Noskov, A.S. Solid catalysts for wet oxidation of nitrogen-containing organic compounds. Catal. Today 1998, 45, 257–260. [Google Scholar] [CrossRef]
- Grosjean, N.; Descorme, C.; Besson, M. Catalytic wet air oxidation of N,N-dimethylformamide aqueous solutions: Deactivation of TiO2 and ZrO2-supported noble metal catalysts. Appl. Catal. B Environ. 2010, 97, 276–283. [Google Scholar] [CrossRef]
- Ali, S.; Jiang, Y.; Lai, Z.; Zhang, P.; Ye, S.; Wang, J.; Fu, J.; Zhang, N.; Zheng, J.; Chen, B. 3D ball type self-assemble CeO2 nanostructure produced by facile hydrothermal strategy for catalytic wet air oxidation of N,N-dimethylformamide. J. Rare Earths 2022. [Google Scholar] [CrossRef]
- Kaissouni, F.; Brahmi, R.; Zbair, M.; Lafaye, G.; El Assal, Z.; Pirault-Roy, L.; Junior, J.B.; Elaissi, A.; Bensitel, M.; Baalala, M. Catalytic wet air oxidation of high BPA concentration over iron-based catalyst supported on orthophosphate. Environ. Sci. Pollut. Res. 2020, 27, 32533–32543. [Google Scholar] [CrossRef] [PubMed]
- Zheng, X.; Zhang, X.; Wang, X.; Wang, S.; Wu, S. Preparation and characterization of CuO/CeO2 catalysts and their applications in low-temperature CO oxidation. Appl. Catal. A Gen. 2005, 295, 142–149. [Google Scholar] [CrossRef]
- Fonzeu Monguen, C.K.; El Kasmi, A.; Arshad, M.F.; Kouotou, P.M.; Daniel, S.; Tian, Z.Y. Oxidative Dehydrogenation of Propane into Propene over Chromium Oxides. Ind. Eng. Chem. Res. 2022, 61, 4546–4560. [Google Scholar] [CrossRef]
- Liu, J.; Li, Y.; Zhang, J.; He, D. Glycerol carbonylation with CO2 to glycerol carbonate over CeO2 catalyst and the influence of CeO2 preparation methods and reaction parameters. Appl. Catal. A Gen. 2016, 513, 9–18. [Google Scholar] [CrossRef]
- Zhang, Y.; Lu, J.; Zhang, L.; Fu, T.; Zhang, J.; Zhu, X.; Gao, X.; He, D.; Luo, Y.; Dionysiou, D.D.; et al. Investigation into the catalytic roles of oxygen vacancies during gaseous styrene degradation process via CeO2 catalysts with four different morphologies. Appl. Catal. B Environ. 2022, 309, 121249. [Google Scholar] [CrossRef]
- Chen, J.; Shen, S.; Wu, P.; Guo, L. Nitrogen-Doped CeOx Nanoparticles Modified Graphitic Carbon Nitride for Enhanced Photocatalytic Hydrogen Production. Green Chem. 2015, 17, 509–517. [Google Scholar] [CrossRef]
- Matolín, V.; Matolínová, I.; Dvořák, F.; Johánek, V.; Mysliveček, J.; Prince, K.; Skála, T.; Stetsovych, O.; Tsud, N.; Václavů, M.; et al. Water interaction with CeO2(111)/Cu(111) model catalyst surface. Catal. Today 2012, 181, 124–132. [Google Scholar] [CrossRef]
- Fu, Q.; Weber, A.; Flytzani-Stephanopoulos, M. Nanostructured Au–CeO2 Catalysts for Low-Temperature Water–Gas Shift. Catal. Lett. 2001, 77, 87–95. [Google Scholar] [CrossRef]
- Yan, Y.; Xu, L.; Wang, L.; Fu, K.; Tang, M.; Fan, M.; Ma, X. Syngas Production from Chemical-Looping Reforming of Methane Using Iron-Doped Cerium Oxides. Energy Technol. 2018, 6, 1610–1617. [Google Scholar] [CrossRef]
- Marcos, F.C.F.; Lucrédio, A.F.; Assaf, E.M. Effects of adding basic oxides of La and/or Ce to SiO2-supported Co catalysts for ethanol steam reforming. RSC Adv. 2014, 4, 43839–43849. [Google Scholar] [CrossRef]
- Foroutan, Z.; Afshari, A.R.; Sabouri, Z.; Mostafapour, A.; Far, B.F.; Jalili-Nik, M.; Darroudi, M. Plant-based synthesis of cerium oxide nanoparticles as a drug delivery system in improving the anticancer effects of free temozolomide in glioblastoma (U87) cells. Ceram. Int. 2022, 48, 30441–30450. [Google Scholar] [CrossRef]
- Goharshadi, E.K.; Samiee, S.; Nancarrow, P. Fabrication of cerium oxide nanoparticles: Characterization and optical properties. J. Colloid Interface Sci. 2011, 356, 473–480. [Google Scholar] [CrossRef]
- Pujar, M.S.; Hunagund, S.M.; Desai, V.R.; Patil, S.; Sidarai, A.H. One-step synthesis and characterizations of cerium oxide nanoparticles in an ambient temperature via Co-precipitation method. In AIP Conference Proceedings; AIP Publishing: Melville, NY, USA, 2018; p. 050026. [Google Scholar]
- Deus, R.; Cortés, J.; Ramirez, M.; Ponce, M.; Andres, J.; Rocha, L.; Longo, E.; Simões, A. Photoluminescence properties of cerium oxide nanoparticles as a function of lanthanum content. Mater. Res. Bull. 2015, 70, 416–423. [Google Scholar] [CrossRef]
- Román-Leshkov, Y.; Barrett, C.J.; Liu, Z.Y.; Dumesic, J.A. Production of dimethylfuran for liquid fuels from biomass-derived carbohydrates. Nature 2007, 447, 982–985. [Google Scholar] [CrossRef]
- Thananatthanachon, T.; Rauchfuss, T.B. Efficient Production of the Liquid Fuel 2,5-Dimethylfuran from Fructose Using Formic Acid as a Reagent. Angew. Chem. Int. Ed. 2010, 49, 6616–6618. [Google Scholar] [CrossRef]
- Li, C.; Cai, H.; Zhang, B.; Li, W.; Pei, G.; Dai, T.; Wang, A.; Zhang, T. Tailored one-pot production of furan-based fuels from fructose in an ionic liquid biphasic solvent system. Chin. J. Catal. 2015, 36, 1638–1646. [Google Scholar] [CrossRef]
- Kong, X.; Zhu, Y.; Zheng, H.; Zhu, Y.; Fang, Z. Inclusion of Zn into Metallic Ni Enables Selective and Effective Synthesis of 2,5-Dimethylfuran from Bioderived 5-Hydroxymethylfurfural. ACS Sustain. Chem. Eng. 2017, 5, 11280–11289. [Google Scholar] [CrossRef]
- Liao, W.; Zhao, P.; Cen, B.; Jia, A.; Lu, J.; Luo, M. Co-Cr-O mixed oxides for low-temperature total oxidation of propane: Structural effects, kinetics, and spectroscopic investigation. Chin. J. Catal. 2020, 41, 442–453. [Google Scholar] [CrossRef]
- Kim, S.; Shim, W. Complete oxidation of volatile organic compounds over Ce/Cu/gamma-Al2O3 catalyst. Environ. Technol. 2008, 29, 535–542. [Google Scholar] [CrossRef] [PubMed]
- Tian, Z.; Bahlawane, N.; Qi, F.; Kohse-Höinghaus, K. Catalytic oxidation of hydrocarbons over Co3O4 catalyst prepared by CVD. Catal. Commun. 2009, 11, 118–122. [Google Scholar] [CrossRef]
- Tian, Z.-Y.; Ngamou, P.; Vannier, V.; Kohse-Höinghaus, K.; Bahlawane, N. Catalytic oxidation of VOCs over mixed Co–Mn oxides. Appl. Catal. B: Environ. 2012, 117, 125–134. [Google Scholar] [CrossRef]
- Monguen, C.K.F.; El Kasmi, A.; Daniel, S.; Arshad, M.F.; Tian, Z.-Y. Structure sensitivity of propane partial oxidation over chromium-manganese binary oxides. Proc. Combust. Inst. 2022; in press. [Google Scholar] [CrossRef]
- Sun, G.; Xu, A.; He, Y.; Yang, M.; Du, H.; Sun, C. Ruthenium catalysts supported on high-surface-area zirconia for the catalytic wet oxidation of N,N-dimethyl formamide. J. Hazard. Mater. 2008, 156, 335–341. [Google Scholar] [CrossRef]
- Daniel, S.; Monguen, C.K.F.; El Kasmi, A.; Arshad, M.F.; Tian, Z.Y. Oxidative Dehydrogenation of Propane to Olefins Promoted by Zr Modified ZSM-5. Catal. Lett. 2022, 1–15. [Google Scholar] [CrossRef]











| Catalyst | hkl | FWHM (β) | 2θ (º) | Crystallite Size D (nm) | D Average (nm) | Microstrain (%) | Average (%) |
|---|---|---|---|---|---|---|---|
| CeOx | 111 | 0.42 | 28.55 | 19.52 | 20.07 | 0.14 | 0.12 |
| 220 | 0.43 | 47.55 | 20.19 | 0.13 | |||
| 311 | 0.44 | 56.38 | 20.49 | 0.11 |
| Catalyst | Parameters | Ce 3d5/2 | Ce 3d3/2 | ||||||||
|---|---|---|---|---|---|---|---|---|---|---|---|
| CeOx | Species | Ce4+ | Ce3+ | Ce4+ | Ce3+/Ce4+ | Ce3+ | Ce4+ | Ce3+ | Ce4+ | Ce3+ | Ce4+ |
| BE (eV) | 882.2 | 883.9 | 888.6 | 0.42 | 896.4 | 898.1 | 900.6 | 900.8 | 904.0 | 907.2 | |
| RA (%) | 28.97 | 29.58 | 41.45 | 3.58 | 27.84 | 5.51 | 36.78 | 6.04 | 20.25 | ||
| Catalysts | Parameter | O 1s | |||
|---|---|---|---|---|---|
| CeOx | Species | O2− | OH− | H2O | OLat/OAds |
| BE (eV) | 529.1 | 532.5 | 534.7 | 0.21 | |
| RA (%) | 17.31 | 73.38 | 9.31 | ||
| Cat. | H2 Consumptions (mmol/g) | O2 Consumptions (mmol/g) | ||||
|---|---|---|---|---|---|---|
| Peak 1 | Peak 2 | Peak 3 | Total | Peak 1 | Total | |
| CeOx | 4.03 | 1.31 | 6.52 | 11.86 | 7.08 | 7.08 |
| 575.6 °C | 589.9 °C | 641.8 °C | 693.4 °C | |||
Disclaimer/Publisher’s Note: The statements, opinions and data contained in all publications are solely those of the individual author(s) and contributor(s) and not of MDPI and/or the editor(s). MDPI and/or the editor(s) disclaim responsibility for any injury to people or property resulting from any ideas, methods, instructions or products referred to in the content. |
© 2023 by the authors. Licensee MDPI, Basel, Switzerland. This article is an open access article distributed under the terms and conditions of the Creative Commons Attribution (CC BY) license (https://creativecommons.org/licenses/by/4.0/).
Share and Cite
Fonzeu Monguen, C.K.; Ding, E.-J.; Daniel, S.; Jia, J.-Y.; Gui, X.-H.; Tian, Z.-Y. Tailored Synthesis of Catalytically Active Cerium Oxide for N, N-Dimethylformamide Oxidation. Materials 2023, 16, 865. https://doi.org/10.3390/ma16020865
Fonzeu Monguen CK, Ding E-J, Daniel S, Jia J-Y, Gui X-H, Tian Z-Y. Tailored Synthesis of Catalytically Active Cerium Oxide for N, N-Dimethylformamide Oxidation. Materials. 2023; 16(2):865. https://doi.org/10.3390/ma16020865
Chicago/Turabian StyleFonzeu Monguen, Cedric Karel, En-Jie Ding, Samuel Daniel, Jing-Yang Jia, Xiao-Hong Gui, and Zhen-Yu Tian. 2023. "Tailored Synthesis of Catalytically Active Cerium Oxide for N, N-Dimethylformamide Oxidation" Materials 16, no. 2: 865. https://doi.org/10.3390/ma16020865
APA StyleFonzeu Monguen, C. K., Ding, E.-J., Daniel, S., Jia, J.-Y., Gui, X.-H., & Tian, Z.-Y. (2023). Tailored Synthesis of Catalytically Active Cerium Oxide for N, N-Dimethylformamide Oxidation. Materials, 16(2), 865. https://doi.org/10.3390/ma16020865

