Improved Leakage Behavior at High Temperature via Engineering of Ferroelectric Sandwich Structures
Abstract
1. Introduction
2. Materials and methods
2.1. Materials and Fabrication
2.2. Material Characterization
2.3. Main Conduction Mechanisms
3. Results and Discussion
3.1. Leakage Current Density
3.2. Leakage Mechanism under 200 °C
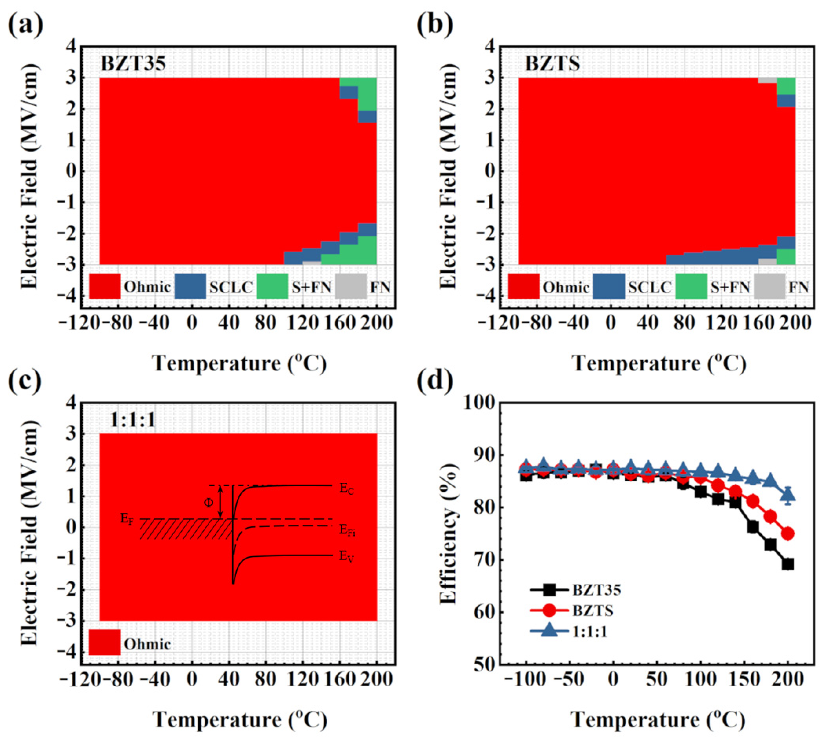
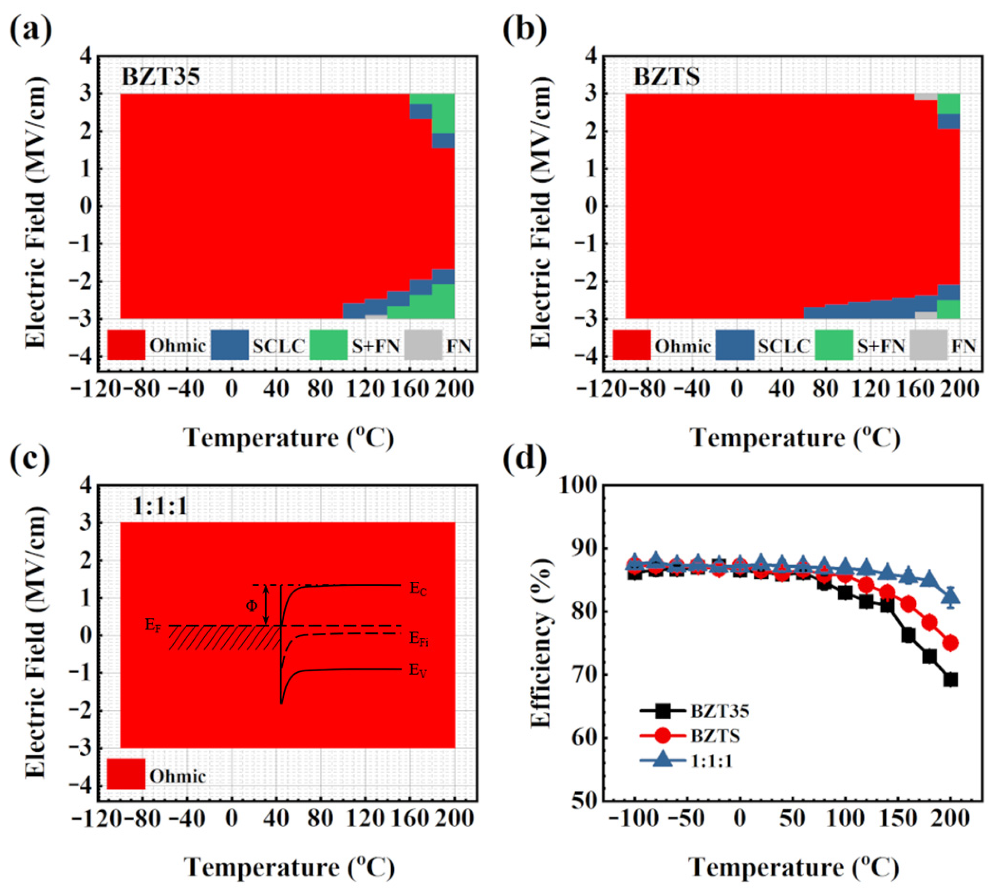
3.3. Leakage Mechanism under All Temperature
4. Conclusions
Author Contributions
Funding
Institutional Review Board Statement
Informed Consent Statement
Data Availability Statement
Conflicts of Interest
References
- Fan, Q.L.; Ma, C.S.; Ma, C.R.; Lu, R.; Cheng, S.; Liu, M. Manipulating leakage behavior via thickness in epitaxial BaZr0.35Ti0.65O3 thin film capacitors. Appl. Phys. Lett. 2020, 116, 192902. [Google Scholar] [CrossRef]
- Liang, Z.S.; Liu, M.; Ma, C.R.; Shen, L.K.; Lu, L.; Jia, C.L. High-performance BaZr0.35Ti0.65O3 thin film capacitors with ultrahigh energy storage density and excellent thermal stability. J. Mater. Chem. A 2018, 6, 12291–12297. [Google Scholar] [CrossRef]
- Nguyen, M.D. Ultrahigh energy-storage performance in lead-free BZT thin-films by tuning relaxor behavior. Mater. Res. Bull. 2021, 133, 111072. [Google Scholar] [CrossRef]
- Sun, Z.X.; Ma, C.R.; Wang, X.; Liu, M.; Lu, L.; Wu, M.; Lou, X.J.; Wang, H.; Jia, C.L. Large Energy Density, Excellent Thermal Stability, and High Cycling Endurance of Lead-Free BaZr0.2Ti0.8O3 Film Capacitors. Acs Appl. Mater. Inter. 2017, 9, 17097–17102. [Google Scholar] [CrossRef]
- Binhayeeniyi, N.; Sukwisute, P.; Nawae, S.; Muensit, N. Energy Conversion Capacity of Barium Zirconate Titanate. Materials 2020, 13, 315. [Google Scholar] [CrossRef] [PubMed]
- Li, Q.; Yao, F.Z.; Liu, Y.; Zhang, G.Z.; Wang, H.; Wang, Q. High-Temperature Dielectric Materials for Electrical Energy Storage. Annu. Rev. Mater. Res. 2018, 48, 219–243. [Google Scholar] [CrossRef]
- Hu, G.L.; Ma, C.R.; Wei, W.; Sun, Z.X.; Lu, L.; Mi, S.B.; Liu, M.; Ma, B.H.; Wu, J.; Jia, C.L. Enhanced energy density with a wide thermal stability in epitaxial Pb0.92La0.08Zr0.52Ti0.48O3 thin films. Appl. Phys. Lett. 2016, 109, 193904. [Google Scholar] [CrossRef]
- Shamsul, Z.; Morshuis, P.H.F.; Yahia, B.M.; Gernaey, K.V.; Skov, A.L. The Electrical Breakdown of Thin Dielectric Elastomers: Thermal Effects. Proc. Spie. 2014, 9056, 711–721. [Google Scholar]
- Xiao, M.; Zhang, M.D.; Liu, H.L.; Du, B.X.; Qin, Y.W. Dielectric Property and Breakdown Strength Performance of Long-Chain Branched Polypropylene for Metallized Film Capacitors. Materials 2022, 15, 3071. [Google Scholar] [CrossRef]
- Lv, P.P.; Yang, C.H.; Qian, J.; Wu, H.T.; Huang, S.F.; Cheng, X.; Cheng, Z.X. Flexible Lead-Free Perovskite Oxide Multilayer Film Capacitor Based on (Na0.8K0.2)0.5Bi0.5TiO3/Ba0.5Sr0.5(Ti0.97Mn0.03)O3 for High-Performance Dielectric Energy Storage. Adv. Energy. Mater. 2020, 10, 1904229. [Google Scholar] [CrossRef]
- Sun, Z.X.; Ma, C.R.; Liu, M.; Cui, J.; Lu, L.; Lu, J.B.; Lou, X.J.; Jin, L.; Wang, H.; Jia, C.L. Ultrahigh Energy Storage Performance of Lead-Free Oxide Multilayer Film Capacitors via Interface Engineering. Adv. Mater. 2017, 29, 1604427. [Google Scholar] [CrossRef] [PubMed]
- Hu, T.Y.; Ma, C.R.; Dai, Y.Z.; Fan, Q.L.; Liu, M.; Jia, C.L. Enhanced Energy Storage Performance of Lead-Free Capacitors in an Ultrawide Temperature Range via Engineering Paraferroelectric and Relaxor Ferroelectric Multilayer Films. Acs Appl. Mater. Inter. 2020, 12, 25930–25937. [Google Scholar] [CrossRef]
- Feng, M.J.; Feng, Y.; Zhang, T.D.; Li, J.L.; Chen, Q.G.; Chi, Q.G.; Lei, Q.Q. Recent Advances in Multilayer-Structure Dielectrics for Energy Storage Application. Adv. Sci. 2021, 8, 2102221. [Google Scholar] [CrossRef]
- Zhang, J.; Zhang, Y.Y.; Chen, Q.Q.; Chen, X.F.; Wang, G.S.; Dong, X.L.; Yang, J.; Bai, W.; Tang, X.D. Enhancement of Energy-Storage Density in PZT/PZO-Based Multilayer Ferroelectric Thin Films. Nanomaterials 2021, 11, 2141. [Google Scholar] [CrossRef]
- Sui, H.T.; Sun, H.J.; Yan, C.; Xiao, S.B.; Wang, Y.; Liu, X.F.; Huang, D.P. The construction of relaxor perovskite Na0.5Bi0.5(Fe0.03Ti0.97)O3/Ba(Ti1-xSrx)O3 multilayer thin film and explorations on origin of the enhanced energy storage performance. Appl. Surf. Sci. 2021, 543, 148755. [Google Scholar] [CrossRef]
- Wu, M.; Xiao, Y.A.; Yan, Y.; Liu, Y.B.; Li, H.Q.; Gao, J.H.; Zhong, L.S.; Lou, X.J. Achieving Good Temperature Stability of Dielectric Constant by Constructing Composition Gradient in (Pb1-x,Lax)(Zr0.65,Ti0.35)O3 Multilayer Thin Films. Materials 2022, 15, 4123. [Google Scholar] [CrossRef]
- Fan, Q.L.; Ma, C.R.; Li, Y.; Liang, Z.S.; Cheng, S.; Guo, M.Y.; Dai, Y.Z.; Ma, C.S.; Lu, L.; Wang, W.; et al. Realization of high energy density in an ultra-wide temperature range through engineering of ferroelectric sandwich structures. Nano Energy 2019, 62, 725–733. [Google Scholar] [CrossRef]
- Pan, H.; Zhang, Q.H.; Wang, M.; Lan, S.; Meng, F.Q.; Ma, J.; Gu, L.; Shen, Y.; Yu, P.; Lin, Y.H.; et al. Enhancements of dielectric and energy storage performances in lead-free films with sandwich architecture. J. Am. Ceram. Soc. 2019, 102, 936–943. [Google Scholar] [CrossRef]
- Song, D.P.; Yang, J.; Yang, B.B.; Chen, L.Y.; Wang, F.; Zhu, X.B. Evolution of structure and ferroelectricity in Aurivillius Bi4Bin-3Fen-3Ti3O3n+3 thin films. J. Mater. Chem. C 2018, 6, 8618–8627. [Google Scholar] [CrossRef]
- Yang, H.; Jain, M.; Suvorova, N.A.; Zhou, H.; Luo, H.M.; Feldmann, D.M.; Dowden, P.C.; DePaula, R.F.; Foltyn, S.R.; Jia, Q.X. Temperature-dependent leakage mechanisms of Pt/BiFeO3/SrRuO3 thin film capacitors. Appl. Phys. Lett. 2007, 91, 072911. [Google Scholar] [CrossRef]
- Zhao, R.; Li, W.W.; Chen, L.; Meng, Q.Q.; Yang, J.; Wang, H.; Wang, Y.Q.; Tang, R.J.; Yang, H. Conduction mechanisms of epitaxial EuTiO3 thin films. Appl. Phys. Lett. 2012, 101, 102901. [Google Scholar] [CrossRef]
- Vasilescu, C.A.; Crisan, M.; Ianculescu, A.C.; Raileanu, M.; Gartner, M.; Anastasescu, M.; Dragan, N.; Crisan, D.; Gavrila, R.; Trusca, R. Structure, morphology and optical properties of multilayered sol-gel BaTi0.85Zr0.15O3 thin films. Appl. Surf. Sci. 2013, 265, 510–518. [Google Scholar] [CrossRef]
- Xin, J.Z.; Leung, C.W.; Chan, H.L.W. Composition dependence of structural and optical properties of Ba(ZrxTi1-x)O3 thin films grown on MgO substrates by pulsed Laser deposition. Thin Solid Films 2011, 519, 6313–6318. [Google Scholar] [CrossRef]
- Liu, A.Y.; Xue, J.Q.; Meng, X.J.; Sun, J.L.; Huang, Z.M.; Chu, J.H. Infrared optical properties of Ba(Zr0.20Ti0.80)O3 and Ba(Zr0.30Ti0.70)O3 thin films prepared by sol-gel method. Appl. Surf. Sci. 2008, 254, 5660–5663. [Google Scholar] [CrossRef]
- Xu, J.B.; Gao, C.; Zhai, J.W.; Yao, X.; Xue, J.Q.; Huang, Z.M. Structure-related infrared optical properties of Ba(ZrxTi1-x)O3 thin films grown on Pt/Ti/SiO2/Si substrates by low-temperature processing. J. Cryst. Growth 2006, 291, 130–134. [Google Scholar] [CrossRef]
- Chiu, F.C. A Review on Conduction Mechanisms in Dielectric Films. Adv. Mater. Sci. Eng. 2014, 2014, 578168. [Google Scholar] [CrossRef]




| Disclaimer/Publisher’s Note: The statements, opinions and data contained in all publications are solely those of the individual author(s) and contributor(s) and not of MDPI and/or the editor(s). MDPI and/or the editor(s) disclaim responsibility for any injury to people or property resulting from any ideas, methods, instructions or products referred to in the content. | 
© 2023 by the authors. Licensee MDPI, Basel, Switzerland. This article is an open access article distributed under the terms and conditions of the Creative Commons Attribution (CC BY) license (https://creativecommons.org/licenses/by/4.0/).
Share and Cite
Hu, G.; Shen, Y.; Fan, Q.; Zhao, W.; Liu, T.; Ma, C.; Jia, C.-L.; Liu, M. Improved Leakage Behavior at High Temperature via Engineering of Ferroelectric Sandwich Structures. Materials 2023, 16, 712. https://doi.org/10.3390/ma16020712
Hu G, Shen Y, Fan Q, Zhao W, Liu T, Ma C, Jia C-L, Liu M. Improved Leakage Behavior at High Temperature via Engineering of Ferroelectric Sandwich Structures. Materials. 2023; 16(2):712. https://doi.org/10.3390/ma16020712
Chicago/Turabian StyleHu, Guangliang, Yinchang Shen, Qiaolan Fan, Wanli Zhao, Tongyu Liu, Chunrui Ma, Chun-Lin Jia, and Ming Liu. 2023. "Improved Leakage Behavior at High Temperature via Engineering of Ferroelectric Sandwich Structures" Materials 16, no. 2: 712. https://doi.org/10.3390/ma16020712
APA StyleHu, G., Shen, Y., Fan, Q., Zhao, W., Liu, T., Ma, C., Jia, C.-L., & Liu, M. (2023). Improved Leakage Behavior at High Temperature via Engineering of Ferroelectric Sandwich Structures. Materials, 16(2), 712. https://doi.org/10.3390/ma16020712
 
        


