Comparison of the Prediction of Effective Moment of Inertia of FRP Rebar-Reinforced Concrete by an Optimization Algorithm
Abstract
1. Introduction
2. Effective Moment of Inertia and Predictive Proposal Model
2.1. Effectivemonet Moment of Inertia
2.2. Proposal of Effective Moment of Inertia
3. Experimental Program
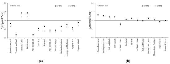
4. Comparison of Test Results
5. Conclusions
- The proposed model considering the ratio of the reinforcement ratio and the balanced reinforcement ratio, the ratio of the moment of inertia of the transformed cracked section and the gross moment of inertia, and the ratio of cracking moment and the maximum service load moment were confirmed to have a higher accuracy than previous models.
- The proposed model using the harmony search algorithm showed a low error in the deflection of FRP-reinforced concrete slabs. The accuracy of the proposed model was verified by experimental results and showed good agreement.
- It is necessary to verify the suitability of the proposed model for calculating the effective moment of inertia of FRP-reinforced concrete members, such as in the presence of various surface geometries, mechanical properties, and types of FRP rebar.
Author Contributions
Funding
Institutional Review Board Statement
Informed Consent Statement
Data Availability Statement
Conflicts of Interest
Appendix A
| No | Reference | Specimen | |||||||||
|---|---|---|---|---|---|---|---|---|---|---|---|
| 1 | [21] | C212D1a | 140.0 | 163.4 | 190.0 | 59.8 | 1353 | 63,232 | 226.5 | 1800 | 600 |
| 2 | C212D1b | 140.0 | 163.4 | 190.0 | 59.8 | 1353 | 63,232 | 226.5 | 1800 | 600 | |
| 3 | C216D1a | 140.0 | 161.5 | 190.0 | 56.3 | 995 | 64,152 | 402.5 | 1800 | 600 | |
| 4 | C216D1b | 140.0 | 161.5 | 190.0 | 56.3 | 995 | 64,152 | 402.5 | 1800 | 600 | |
| 5 | C316D1a | 140.0 | 161.5 | 190.0 | 55.2 | 995 | 64,152 | 603.7 | 1800 | 600 | |
| 6 | C316D1b | 140.0 | 161.5 | 190.0 | 55.2 | 995 | 64,152 | 603.7 | 1800 | 600 | |
| 7 | C212D2a | 140.0 | 142.5 | 190.0 | 39.6 | 1353 | 63,252 | 197.5 | 1800 | 600 | |
| 8 | C212D2b | 140.0 | 142.5 | 190.0 | 39.6 | 1353 | 63,252 | 197.5 | 1800 | 600 | |
| 9 | C216D2a | 140.0 | 140.6 | 190.0 | 61.7 | 995 | 64,152 | 350.4 | 1800 | 600 | |
| 10 | C216D2b | 140.0 | 140.6 | 190.0 | 61.7 | 995 | 64,152 | 350.4 | 1800 | 600 | |
| 11 | C316D2a | 140.0 | 140.6 | 190.0 | 60.1 | 995 | 64,152 | 525.6 | 1800 | 600 | |
| 12 | C316D2b | 140.0 | 140.6 | 190.0 | 60.1 | 995 | 64,152 | 525.6 | 1800 | 600 | |
| 13 | [40] | A1 | 150 | 165 | 200 | 46.2 | 1506 | 50,080 | 176.71 | 2610 | 870 |
| 14 | B1 | 150 | 165.2 | 200 | 46.2 | 1506 | 50,080 | 265.07 | 2610 | 870 | |
| 15 | C1 | 150 | 153.5 | 200 | 46.2 | 1506 | 50,080 | 353.43 | 2610 | 870 | |
| 16 | [41] | B1-1 | 150 | 275 | 300 | 60 | 482.2 | 57,982 | 100.5 | 1600 | 300 |
| 17 | B1-2 | 150 | 275 | 300 | 60 | 636.3 | 43,939 | 157.1 | 1600 | 300 | |
| 18 | B1-3 | 150 | 275 | 300 | 60 | 745.6 | 37,500 | 226.2 | 1600 | 300 | |
| 19 | B2-1 | 150 | 275 | 300 | 50 | 482.2 | 57,982 | 100.5 | 1600 | 300 | |
| 20 | B2-2 | 150 | 275 | 300 | 50 | 636.4 | 43,939 | 157.1 | 1600 | 300 | |
| 21 | B2-3 | 150 | 275 | 300 | 50 | 745.6 | 37,500 | 226.2 | 1600 | 300 | |
| 22 | [42] | FB-1 | 180 | 186.0 | 230 | 27 | 841 | 42,100 | 144 | 1600 | 685 |
| 23 | FB-2 | 180 | 186.0 | 230 | 27 | 841 | 42,100 | 216 | 1600 | 685 | |
| 24 | FB-3 | 180 | 173.5 | 230 | 27 | 841 | 42,100 | 288 | 1600 | 685 | |
| 25 | [22] | B1 | 150 | 165 | 200 | 20 | 490 | 41,000 | 142 | 2000 | 650 |
| 26 | B2 | 150 | 165 | 200 | 20 | 490 | 41,000 | 471 | 2000 | 650 | |
| 27 | B3 | 150 | 165 | 200 | 20 | 490 | 41,000 | 671 | 2000 | 650 | |
| 28 | B4 | 150 | 165 | 200 | 38 | 490 | 41,000 | 142 | 2000 | 650 | |
| 29 | B5 | 150 | 165 | 200 | 38 | 490 | 41,000 | 471 | 2000 | 650 | |
| 30 | B6 | 150 | 165 | 200 | 38 | 490 | 41,000 | 671 | 2000 | 650 | |
| 31 | B7 | 150 | 165 | 200 | 64 | 490 | 41,000 | 142 | 2000 | 650 | |
| 32 | B8 | 150 | 165 | 200 | 64 | 490 | 41,000 | 471 | 2000 | 650 | |
| 33 | B9 | 150 | 165 | 200 | 64 | 490 | 41,000 | 671 | 2000 | 650 | |
| 34 | [43] | BRC1 | 120 | 175.3 | 200 | 42.6 | 1676 | 135,900 | 147.2 | 1750 | 675 |
| 35 | BRC2 | 120 | 175.3 | 200 | 41.7 | 1676 | 135,900 | 147.2 | 1750 | 675 | |
| 36 | [44] | GB1-1 | 180 | 268 | 300 | 35 | 695 | 40,000 | 250.8 | 2800 | 1200 |
| 37 | GB1-2 | 180 | 268 | 300 | 35 | 695 | 40,000 | 250.8 | 2800 | 1200 | |
| 38 | GB2-1 | 180 | 268 | 300 | 35 | 695 | 40,000 | 381.1 | 2800 | 1200 | |
| 39 | GB2-2 | 180 | 268 | 300 | 35 | 695 | 40,000 | 381.1 | 2800 | 1200 | |
| 40 | GB3-1 | 180 | 225 | 300 | 35 | 695 | 40,000 | 445.5 | 2800 | 1200 | |
| 41 | GB3-2 | 180 | 225 | 300 | 35 | 695 | 40,000 | 445.5 | 2800 | 1200 | |
| 42 | [45] | 2G12 | 230 | 254 | 300 | 40 | 1000 | 50,000 | 226.2 | 3700 | 1250 |
| 43 | 3G12 | 230 | 254 | 300 | 40 | 1000 | 50,000 | 339.3 | 3700 | 1250 | |
| 44 | 3G16 | 230 | 252 | 300 | 40 | 1000 | 50,000 | 603.2 | 3700 | 1250 | |
| 45 | [46] | 2 | 200 | 157.5 | 210 | 31.3 | 700 | 35,630 | 1134 | 2900 | 1250 |
| 46 | 3 | 200 | 210.7 | 260 | 31.3 | 886 | 43,370 | 507 | 2900 | 1250 | |
| 47 | 4 | 200 | 247.5 | 300 | 40.7 | 700 | 35,630 | 567 | 2900 | 1250 | |
| 48 | 5 | 200 | 197.5 | 250 | 40.7 | 700 | 35,630 | 1134 | 2900 | 1250 | |
| 49 | [47] | 2D16-8S70-N | 250 | 214 | 250 | 30 | 775 | 46,000 | 402 | 2000 | 800 |
| 50 | 2D16-10S110-N | 250 | 212 | 250 | 30 | 775 | 46,000 | 402 | 2000 | 800 | |
| 51 | 2D16-8S35-N | 250 | 214 | 250 | 30 | 775 | 46,000 | 402 | 2000 | 800 | |
| 52 | 2D16-10S55-N | 250 | 212 | 250 | 30 | 775 | 46,000 | 402 | 2000 | 800 | |
| 53 | 5D10-8S70-N | 250 | 217 | 250 | 30 | 789 | 44,000 | 393 | 2000 | 800 | |
| 54 | 5D10-10S110-N | 250 | 215 | 250 | 30 | 789 | 44,000 | 393 | 2000 | 800 | |
| 55 | 5D10-8S35-N | 250 | 217 | 250 | 30 | 789 | 44,000 | 393 | 2000 | 800 | |
| 56 | 5D10-10S55-N | 250 | 215 | 250 | 30 | 789 | 44,000 | 393 | 2000 | 800 | |
| 57 | 3D18-8S70-N | 250 | 213 | 250 | 30 | 800 | 42,000 | 763 | 2000 | 800 | |
| 58 | 3D18-10S110-N | 250 | 211 | 250 | 30 | 800 | 42,000 | 763 | 2000 | 800 | |
| 59 | 3D18-10S55-N | 250 | 213 | 250 | 30 | 800 | 42,000 | 763 | 2000 | 800 | |
| 60 | 3D18-10S55-N | 250 | 211 | 250 | 30 | 800 | 42,000 | 763 | 2000 | 800 | |
| 61 | 5D14-8S70-N | 250 | 214 | 250 | 30 | 825 | 45,000 | 770 | 2000 | 800 | |
| 62 | 5D14-10S110-N | 250 | 212 | 250 | 30 | 825 | 45,000 | 770 | 2000 | 800 | |
| 63 | 5D14-8S35-N | 250 | 214 | 250 | 30 | 825 | 45,000 | 770 | 2000 | 800 | |
| 64 | 5D14-10S55-N | 250 | 212 | 250 | 30 | 825 | 45,000 | 770 | 2000 | 800 | |
| 65 | [48] | CC | 230 | 184 | 250 | 75.9 | 2130 | 146,200 | 256 | 1900 | 800 |
| 66 | GG | 230 | 184 | 250 | 75.9 | 941 | 48,100 | 762 | 1900 | 800 | |
| 67 | [23] | BF1 | 127 | 286 | 305 | 38.6 | 724 | 26,200 | 253 | 3050 | 990 |
| 68 | BF2 | 127 | 286 | 305 | 40.7 | 724 | 26,200 | 253 | 3050 | 990 | |
| 69 | BF3 | 127 | 286 | 305 | 40.0 | 724 | 26,200 | 379 | 3050 | 990 | |
| 70 | BF4 | 127 | 286 | 305 | 38.6 | 724 | 26,200 | 379 | 3050 | 990 | |
| 71 | BF5 | 127 | 286 | 305 | 37.2 | 724 | 26,200 | 506 | 3050 | 990 | |
| 72 | BF6 | 127 | 286 | 305 | 35.2 | 724 | 26,200 | 506 | 3050 | 990 | |
| 73 | BF7 | 127 | 273 | 305 | 32.4 | 724 | 26,200 | 632 | 3050 | 990 | |
| 74 | BF8 | 127 | 273 | 305 | 29.7 | 724 | 26,200 | 632 | 3050 | 990 | |
| 75 | BF9 | 127 | 273 | 305 | 29.7 | 724 | 26,200 | 758 | 3050 | 990 | |
| 76 | BF10 | 127 | 273 | 305 | 35.2 | 724 | 26,200 | 758 | 3050 | 990 | |
| 77 | BF11 | 127 | 273 | 305 | 39.3 | 724 | 26,200 | 885 | 3050 | 990 | |
| 78 | BF12 | 127 | 273 | 305 | 30.4 | 724 | 26,200 | 885 | 3050 | 990 | |
| 79 | [49] | A1 | 100 | 125 | 150 | 55.4 | 732 | 37,500 | 63.3 | 2400 | 900 |
| 80 | A2 | 100 | 125 | 150 | 55.4 | 732 | 37,500 | 95.0 | 2400 | 900 | |
| 81 | A3 | 100 | 125 | 150 | 55.4 | 732 | 37,500 | 126.7 | 2400 | 900 | |
| 82 | B1 | 100 | 125 | 150 | 70.8 | 1764 | 55,600 | 142.7 | 2400 | 900 | |
| 83 | B2 | 100 | 125 | 150 | 70.8 | 1764 | 55,600 | 214.0 | 2400 | 900 | |
| 84 | B3 | 100 | 125 | 150 | 70.8 | 1764 | 55,600 | 285.3 | 2400 | 900 | |
| 85 | C1 | 100 | 125 | 150 | 90.1 | 1605 | 48,600 | 253.4 | 2400 | 900 | |
| 86 | C2 | 100 | 125 | 150 | 90.1 | 1605 | 48,600 | 380.0 | 2400 | 900 | |
| 87 | C3 | 100 | 125 | 150 | 90.1 | 1605 | 48,600 | 506.7 | 2400 | 900 | |
| 88 | [50] | BC2HA | 130 | 160 | 180 | 57.2 | 773 | 38,000 | 241.28 | 1500 | 500 |
| 89 | BC2VA | 130 | 160 | 180 | 97.4 | 773 | 38,000 | 241.28 | 1500 | 500 | |
| 90 | BC4NB | 130 | 140 | 180 | 46.2 | 773 | 38,000 | 504.14 | 1500 | 500 | |
| 91 | BC4HA | 130 | 140 | 180 | 53.9 | 773 | 38,000 | 504.14 | 1500 | 500 | |
| 92 | BC4VA | 130 | 140 | 180 | 93.5 | 773 | 38,000 | 504.14 | 1500 | 500 | |
| 93 | [51] | G-1 | 130 | 210 | 230 | 41.6 | 778 | 54,000 | 175 | 1900 | 1500 |
| 94 | C-0-1 | 130 | 210 | 230 | 41.6 | 1875 | 178,000 | 175 | 1900 | 1500 | |
| 95 | [52] | 40#2-0.5 | 100 | 127.8 | 150 | 40 | 732 | 37,500 | 63.4 | 2000 | 667 |
| 96 | 40#3-1.0 | 100 | 126.2 | 150 | 40 | 1764 | 55,600 | 142.6 | 2000 | 667 | |
| 97 | 40#4-2.0 | 100 | 124.7 | 150 | 40 | 1605 | 48,600 | 253.4 | 2000 | 667 | |
| 98 | 80#2-0.5 | 100 | 127.8 | 150 | 80 | 732 | 37,500 | 63.4 | 2000 | 667 | |
| 99 | 80#3-1.0 | 100 | 126.2 | 150 | 80 | 1764 | 55,600 | 142.6 | 2000 | 667 | |
| 100 | 80#4-2.0 | 100 | 124.7 | 150 | 80 | 1605 | 48,600 | 253.4 | 2000 | 667 | |
| 101 | [53] | B1-35-12 | 200 | 262 | 300 | 35 | 1166 | 65,000 | 226 | 2700 | 500 |
| 102 | B2-35-16 | 200 | 262 | 300 | 35 | 1122 | 63,000 | 402 | 2700 | 500 | |
| 103 | B3-35-20 | 200 | 262 | 300 | 35 | 1117 | 69,000 | 628 | 2700 | 500 | |
| 104 | B4-35-25 | 200 | 262 | 300 | 35 | 1340 | 65,000 | 980 | 2700 | 500 | |
| 105 | B5-65-12 | 200 | 250 | 300 | 65 | 1166 | 65,000 | 226 | 2700 | 500 | |
| 106 | B6-65-16 | 200 | 250 | 300 | 65 | 1122 | 63,000 | 402 | 2700 | 500 | |
| 107 | B7-65-20 | 200 | 250 | 300 | 65 | 1117 | 69,000 | 628 | 2700 | 500 | |
| 108 | B8-65-25 | 200 | 250 | 300 | 65 | 1340 | 65,000 | 980 | 2700 | 500 | |
| 109 | Current study | GFRP-1 | 650 | 133.5 | 180 | 45.4 | 649.5 | 49,000 | 488 | 1800 | 600 |
| 110 | GFRP-2 | 650 | 133.5 | 180 | 45.4 | 649.5 | 49,000 | 488 | 1800 | 600 | |
| 111 | BFRP-1 | 650 | 133.5 | 180 | 45.4 | 747.0 | 50,500 | 488 | 1800 | 600 | |
| 112 | BFRP-2 | 650 | 133.5 | 180 | 45.4 | 747.0 | 50,500 | 488 | 1800 | 600 |
References
- Angst, U.; Hooton, R.; Marchand, J.; Page, C.; Flatt, R.J.; Elsener, B.; Gehlen, C.; Gulikers, J. Present and future durability challenges for reinforced concrete structures. Mater. Corros. 2012, 63, 1047–1051. [Google Scholar] [CrossRef]
- Masoud, S.; Soudki, K. Evaluation of corrosion activity in FRP repaired RC beams. Cem. Concr. Compos. 2006, 28, 969–977. [Google Scholar] [CrossRef]
- Goyal, A.; Pouya, H.S.; Ganjian, E.; Claisse, P. A review of corrosion and protection of steel in concrete. Arab. J. Sci. Eng. 2018, 43, 5035–5055. [Google Scholar] [CrossRef]
- Zhu, H.; Li, Z.; Wen, C.; Cheng, S.; Wei, Y. Prediction model for the flexural strength of steel fiber reinforced concrete beams with fiber-reinforced polymer bars under repeated loading. Compos. Struct. 2020, 250, 112609. [Google Scholar] [CrossRef]
- ACI Committee 440. Guide for the Design and Construction of Structural Concrete Reinforced with FRP Bars: ACI 440.1 R-15; American Concrete Institute: Farmington Hills, MI, USA, 2015. [Google Scholar]
- Li, J.; Xie, J.; Liu, F.; Lu, Z. A critical review and assessment for FRP-concrete bond systems with epoxy resin exposed to chloride environments. Compos. Struct. 2019, 229, 111372. [Google Scholar] [CrossRef]
- Uomoto, T.; Mutsuyoshi, H.; Katsuki, F.; Misra, S. Use of fiber reinforced polymer composites as reinforcing material for concrete. J. Mater. Civ. Eng. 2002, 14, 191–209. [Google Scholar] [CrossRef]
- Benmokrane, B.; Chaallal, O.; Masmoudi, R. Glass fibre reinforced plastic (GFRP) rebars for concrete structures. Constr. Build. Mater. 1995, 9, 353–364. [Google Scholar] [CrossRef]
- Ceroni, F.; Cosenza, E.; Gaetano, M.; Pecce, M. Durability issues of FRP rebars in reinforced concrete members. Cem. Concr. Compos. 2006, 28, 857–868. [Google Scholar] [CrossRef]
- Aydin, F. Experimental investigation of thermal expansion and concrete strength effects on FRP bars behavior embedded in concrete. Constr. Build. Mater. 2018, 163, 1–8. [Google Scholar] [CrossRef]
- Abdalla, H. Evaluation of deflection in concrete members reinforced with fibre reinforced polymer (FRP) bars. Compos. Struct. 2002, 56, 63–71. [Google Scholar] [CrossRef]
- Al-Sunna, R.; Pilakoutas, K.; Hajirasouliha, I.; Guadagnini, M. Deflection behaviour of FRP reinforced concrete beams and slabs: An experimental investigation. Compos. Part B Eng. 2012, 43, 2125–2134. [Google Scholar] [CrossRef]
- Kim, D.-J.; Lee, J.; Lee, Y.H. Effectiveness factor of strut-and-tie model for concrete deep beams reinforced with FRP rebars. Compos. Part B Eng. 2014, 56, 117–125. [Google Scholar] [CrossRef]
- Escórcio, P.; França, P.M. Experimental study of a rehabilitation solution that uses GFRP bars to replace the steel bars of reinforced concrete beams. Eng. Struct. 2016, 128, 166–183. [Google Scholar] [CrossRef]
- El-Nemr, A.; Ahmed, E.A.; El-Safty, A.; Benmokrane, B. Evaluation of the flexural strength and serviceability of concrete beams reinforced with different types of GFRP bars. Eng. Struct. 2018, 173, 606–619. [Google Scholar] [CrossRef]
- Wang, H.; Belarbi, A. Ductility characteristics of fiber-reinforced-concrete beams reinforced with FRP rebars. Constr. Build. Mater. 2011, 25, 2391–2401. [Google Scholar] [CrossRef]
- Maranan, G.; Manalo, A.; Benmokrane, B.; Karunasena, W.; Mendis, P. Evaluation of the flexural strength and serviceability of geopolymer concrete beams reinforced with glass-fibre-reinforced polymer (GFRP) bars. Eng. Struct. 2015, 101, 529–541. [Google Scholar] [CrossRef]
- Murthy, A.R.; Pukazhendhi, D.; Vishnuvardhan, S.; Saravanan, M.; Gandhi, P. Performance of concrete beams reinforced with GFRP bars under monotonic loading. In Structures; Elsevier: Amsterdam, The Netherlands, 2020; pp. 1274–1288. [Google Scholar] [CrossRef]
- Ashour, A. Flexural and shear capacities of concrete beams reinforced with GFRP bars. Constr. Build. Mater. 2006, 20, 1005–1015. [Google Scholar] [CrossRef]
- Bonacci, J.; Maalej, M. Behavioral trends of RC beams strengthened with externally bonded FRP. J. Compos. Constr. 2001, 5, 102–113. [Google Scholar] [CrossRef]
- Barris, C.; Torres, L.; Turon, A.; Baena, M.; Catalan, A. An experimental study of the flexural behaviour of GFRP RC beams and comparison with prediction models. Compos. Struct. 2009, 91, 286–295. [Google Scholar] [CrossRef]
- Mousavi, S.R.; Esfahani, M.R. Effective moment of inertia prediction of FRP-reinforced concrete beams based on experimental results. J. Compos. Constr. 2012, 16, 490–498. [Google Scholar] [CrossRef]
- Newhook, J.; Ghali, A.; Tadros, G. Concrete flexural members reinforced with fiber reinforced polymer: Design for cracking and deformability. Can. J. Civ. Eng. 2002, 29, 125–134. [Google Scholar] [CrossRef]
- Pirayeh Gar, S. Structural Performance of a Full-Depth Precast Bridge Deck System Prestressed and Reinforced with AFRP Bars. Ph.D. Thesis, Texas A&M University, College Station, TX, USA, 2012. [Google Scholar]
- ACI Committee 318. Building Code Requirements for Structural Concrete (ACI 318-08) and Commentary; American Concrete Institute: Farmington Hills, MI, USA, 2008. [Google Scholar]
- Branson, D.E. Instantaneous and Time-Dependent Deflections of Simple and Continuous Reinforced Concrete Beams; State Highway Department: Montgomery, AL, USA, 1963.
- Nawy, E.G.; Neuwerth, G.E. Fiberglass reinforced concrete slabs and beams. J. Struct. Div. 1977, 103, 421–440. [Google Scholar] [CrossRef]
- Benmokrane, B.; Masmoudi, R. Flexural response of concrete beams reinforced with FRP reinforcing bars. Struct. J. 1996, 93, 46–55. [Google Scholar] [CrossRef]
- Toutanji, H.A.; Saafi, M. Flexural behavior of concrete beams reinforced with glass fiber-reinforced polymer (GFRP) bars. Struct. J. 2000, 97, 712–719. [Google Scholar] [CrossRef]
- Hall, T.; Ghali, A. Long-term deflection prediction of concrete members reinforced with glass fibre reinforced polymer bars. Can. J. Civ. Eng. 2000, 27, 890–898. [Google Scholar] [CrossRef]
- ISIS Canada. Design Manual No. 4: Strengthening Reinforced Concrete Structures with Externally-Bonded Fiber Reinforced Polymers; Intelligent Sensing for Innovative Structures: Winnipeg, MB, Canada, 2001. [Google Scholar]
- ACI Committee 440. Guide for the Design and Construction of Concrete Reinforced with FRP Bars, ACI 440.1 R-03; American Concrete Institute: Farmington Hills, MI, USA, 2003. [Google Scholar]
- Yost, J.R.; Gross, S.P.; Dinehart, D.W. Effective moment of inertia for glass fiber-reinforced polymer-reinforced concrete beams. Struct. J. 2003, 100, 732–739. [Google Scholar] [CrossRef]
- ACI Committee 440. Guide for the Design and Construction of Concrete Reinforced with FRP Bars, ACI 440.1 R-06; American Concrete Institute: Farmington Hills, MI, USA, 2006. [Google Scholar]
- Rafi, M.M.; Nadjai, A. Evaluation of ACI 440 deflection model for fiber-reinforced polymer reinforced concrete beams and suggested modification. ACI Struct. J. 2009, 106, 762. [Google Scholar]
- Bischoff, P.H. Reevaluation of deflection prediction for concrete beams reinforced with steel and fiber reinforced polymer bars. J. Struct. Eng. 2005, 131, 752–767. [Google Scholar] [CrossRef]
- Bischoff, P.H. Deflection calculation of FRP reinforced concrete beams based on modifications to the existing Branson equation. J. Compos. Constr. 2007, 11, 4–14. [Google Scholar] [CrossRef]
- Bischoff, P.H.; Gross, S.P. Equivalent moment of inertia based on integration of curvature. J. Compos. Constr. 2011, 15, 263–273. [Google Scholar] [CrossRef]
- Nguyen, H.D.; Zhang, Q.; Choi, E.; Duan, W. An improved deflection model for FRP RC beams using an artificial intelligence-based approach. Eng. Struct. 2020, 219, 110793. [Google Scholar] [CrossRef]
- Aiello, M.A.; Ombres, L. Load-deflection analysis of FRP reinforced concrete flexural members. J. Compos. Constr. 2000, 4, 164–171. [Google Scholar] [CrossRef]
- Erfan, A.M.; Hassan, H.E.; Hatab, K.M.; El-Sayed, T.A. The flexural behavior of nano concrete and high strength concrete using GFRP. Constr. Build. Mater. 2020, 247, 118664. [Google Scholar] [CrossRef]
- Ju, M.; Oh, H.; Lim, J.; Sim, J. A modified model for deflection calculation of reinforced concrete beam with deformed GFRP rebar. Int. J. Polym. Sci. 2016, 2016, 2485825. [Google Scholar] [CrossRef]
- Rafi, M.M.; Nadjai, A.; Ali, F.; Talamona, D. Aspects of behaviour of CFRP reinforced concrete beams in bending. Constr. Build. Mater. 2008, 22, 277–285. [Google Scholar] [CrossRef]
- Toutanji, H.; Deng, Y. Deflection and crack-width prediction of concrete beams reinforced with glass FRP rods. Constr. Build. Mater. 2003, 17, 69–74. [Google Scholar] [CrossRef]
- El Refai, A.; Abed, F.; Al-Rahmani, A. Structural performance and serviceability of concrete beams reinforced with hybrid (GFRP and steel) bars. Constr. Build. Mater. 2015, 96, 518–529. [Google Scholar] [CrossRef]
- Alsayed, S.; Al-Salloum, Y.; Almusallam, T. Performance of glass fiber reinforced plastic bars as a reinforcing material for concrete structures. Compos. Part B Eng. 2000, 31, 555–567. [Google Scholar] [CrossRef]
- Khorasani, A.M.; Esfahani, M.R.; Sabzi, J. The effect of transverse and flexural reinforcement on deflection and cracking of GFRP bar reinforced concrete beams. Compos. Part B Eng. 2019, 161, 530–546. [Google Scholar] [CrossRef]
- Yoon, Y.-S.; Yang, J.-M.; Min, K.-H.; Shin, H.-O. Flexural strength and deflection characteristics of high-strength concrete beams with hybrid FRP and steel bar reinforcement. Spec. Publ. 2011, 275, 1–22. [Google Scholar] [CrossRef]
- Saleh, Z.; Sheikh, M.N.; Remennikov, A.M.; Basu, A. Numerical investigations on the flexural behavior of GFRP-RC beams under monotonic loads. Structures 2019, 20, 255–267. [Google Scholar] [CrossRef]
- Theriault, M.; Benmokrane, B. Effects of FRP reinforcement ratio and concrete strength on flexural behavior of concrete beams. J. Compos. Constr. 1998, 2, 7–16. [Google Scholar] [CrossRef]
- Thamrin, R.; Kaku, T.; Imai, T. Flexural and bond behavior of reinforced concrete beam with FRP Rods. In Proceedings of the Engineering Theoretical Mechanics, Bali, Indonesia, 18–19 March 2002; pp. 469–478. [Google Scholar]
- Goldston, M.; Remennikov, A.; Sheikh, M.N. Experimental investigation of the behaviour of concrete beams reinforced with GFRP bars under static and impact loading. Eng. Struct. 2016, 113, 220–232. [Google Scholar] [CrossRef]
- Abdelkarim, O.I.; Ahmed, E.A.; Mohamed, H.M.; Benmokrane, B. Flexural strength and serviceability evaluation of concrete beams reinforced with deformed GFRP bars. Eng. Struct. 2019, 186, 282–296. [Google Scholar] [CrossRef]
- Geem, Z.W.; Kim, J.H.; Loganathan, G.V. A new heuristic optimization algorithm: Harmony search. Simulation 2001, 76, 60–68. [Google Scholar] [CrossRef]









| Reference | Number of Specimens | Number of Data Points |
|---|---|---|
| Barris et al. [21] | 12 | 12 |
| Aiello and Ombres [40] | 3 | 3 |
| Erfan et al. [41] | 6 | 12 |
| Minkwan Ju et al. [42] | 3 | 3 |
| Mousavi and Esfahani [22] | 9 | 9 |
| Rafi et al. [43] | 2 | 4 |
| Toutanji and Deng [44] | 6 | 6 |
| El Rafai et al. [45] | 3 | 9 |
| Alsayed et al. [46] | 4 | 8 |
| Khorasani et al. [47] | 16 | 16 |
| Yoon et al. [48] | 2 | 2 |
| Nawy and neuwerth [23] | 12 | 12 |
| Saleh et al. [49] | 9 | 12 |
| Theriault and Benmokrane [50] | 5 | 5 |
| Thamrin et al. [51] | 2 | 2 |
| Goldston et al. [52] | 6 | 6 |
| Abdelkarim et al. [53] | 8 | 8 |
| Current study | 4 | 8 |
| Total | 112 | 135 |
| Parameter | Minimum | Maximum |
|---|---|---|
| Compressive strength of concrete (MPa) | 47.3 | 97.4 |
| Modulus of elasticity of concrete (GPa) | 23.1 | 39.1 |
| Tensile strength of FRP rebar (MPa) | 482.2 | 2130.0 |
| Modulus of elasticity of FRP rebar (GPa) | 26.2 | 178.0 |
| FRP reinforcement ratio/ Balanced reinforcement ratio () | 0.263 | 12.700 |
| Cracking moment/ Maximum service load moment () | 0.084 | 0.754 |
| Moment of inertia of transformed cracked section/ Gross moment of inertia () | 0.032 | 0.314 |
| Type | Nominal Diameter (mm) | Average Tensile Strength (MPa) | Guaranteed Tensile Strength * (MPa) | Design Tensile Strength ** (MPa) | Design Tensile Strain (%) | Modulus of Elasticity (GPa) |
|---|---|---|---|---|---|---|
| GFRP | 13.0 | 927.9 | 839.1 | 587.4 | 1.19 | 49.0 |
| BFRP | 13.0 | 1067.2 | 755.5 | 528.9 | 1.05 | 50.5 |
| Specimen | Balanced Reinforcement Ratio (%) | FRP Reinforcement Ratio/ Balanced Reinforcement Ratio |
|---|---|---|
| GFRP | 0.626(0.421 *) | 0.898(1.335 *) |
| BFRP | 0.504(0.332 *) | 1.115(1.693 *) |
| Specimen | Initial Cracking Load (kN) | Ultimate Load (kN) | Spacing of Crack (mm) | Mode of Failure |
|---|---|---|---|---|
| GFRP-1 | 40.06 | 143.14 | 180–250 | Shear–compressive |
| GFRP-2 | 37.28 | 132.86 | 150–240 | Shear |
| BFRP-1 | 38.92 | 167.62 | 150–200 | Compressive |
| BFRP-2 | 42.66 | 154.56 | 150–190 | Shear–compressive |
| Reference | Service Load | Ultimate Load | ||||
|---|---|---|---|---|---|---|
| GFRP1 | GFPR2 | Average | GFRP1 | GFRP2 | Average | |
| Benmokrane et al. [28] | 1.31 | 2.67 | 1.99 | −10.46 | −9.06 | −9.76 |
| Toutanji and Saafi [29] | 5.94 | 6.65 | 6.29 | −8.49 | −7.92 | −8.21 |
| Hall and Ghali [30] | −3.30 | −1.60 | −2.45 | −6.30 | −6.05 | −6.17 |
| ISIS Canada Design manual [31] | −3.30 | −1.60 | −2.45 | −6.30 | −6.05 | −6.17 |
| ACI440.1R-03 [32] | 5.96 | 6.43 | 6.19 | 7.18 | 8.19 | 7.69 |
| Yost et al. [33] | 3.34 | 4.34 | 3.84 | −1.98 | −1.14 | −1.56 |
| Bischoff [36,37] | 2.47 | 4.61 | 3.54 | −3.99 | −3.56 | −3.78 |
| ACI 440.1R-06 [34] | 4.11 | 4.97 | 4.54 | −0.38 | 0.56 | 0.09 |
| Rafi and Nadjai [35] | 4.13 | 4.97 | 4.55 | 0.66 | 1.42 | 1.04 |
| Bischoff and Gross [38] | 2.47 | 4.61 | 3.54 | −3.99 | −3.56 | −3.78 |
| Mousavi and Esfahani [22] | 1.59 | 2.86 | 2.23 | −0.77 | −0.36 | −0.57 |
| Neuyen et al. [39] | 3.15 | 3.99 | 3.57 | 2.24 | 3.08 | 2.66 |
| Proposed Model | 0.78 | 2.02 | 1.40 | 0.26 | 0.51 | 0.38 |
| Reference | Service Load | Ultimate Load | ||||
|---|---|---|---|---|---|---|
| BFRP1 | BFPR2 | Average | BFRP1 | BFRP2 | Average | |
| Benmokrane et al. [28] | −0.67 | −1.52 | −1.09 | −9.22 | 16.36 | 3.57 |
| Toutanji and Saafi [29] | 4.81 | 3.75 | 4.28 | −4.98 | −13.30 | −9.14 |
| Hall and Ghali [30] | −5.05 | −5.98 | −5.52 | −2.65 | −10.99 | −6.82 |
| ISIS Canada Design manual [31] | −5.07 | −6.00 | −5.53 | −2.72 | −11.05 | −6.88 |
| ACI440.1R-03 [32] | 6.25 | 4.44 | 5.34 | 8.30 | 1.01 | 4.65 |
| Yost et al. [33] | 1.83 | 0.65 | 1.24 | −0.13 | −7.98 | −4.06 |
| Bischoff [36,37] | −0.24 | −0.88 | −0.56 | −0.74 | −8.31 | −4.82 |
| ACI 440.1R-06 [34] | 4.37 | 2.86 | 3.61 | 3.15 | −4.38 | −0.61 |
| Rafi and Nadjai [35] | 4.39 | 2.88 | 3.64 | 4.36 | −3.36 | 0.50 |
| Bischoff and Gross [38] | −0.24 | −0.88 | −0.56 | −0.74 | −8.91 | −4.82 |
| Mousavi and Esfahani [22] | 0.26 | −0.89 | −0.32 | 2.83 | −5.33 | −1.25 |
| Neuyen et al. [39] | 2.69 | 1.20 | 1.94 | 3.85 | −3.55 | 0.15 |
| Proposed Model | −0.38 | −1.61 | −1.00 | 4.08 | −4.22 | −0.07 |
Disclaimer/Publisher’s Note: The statements, opinions and data contained in all publications are solely those of the individual author(s) and contributor(s) and not of MDPI and/or the editor(s). MDPI and/or the editor(s) disclaim responsibility for any injury to people or property resulting from any ideas, methods, instructions or products referred to in the content. |
© 2023 by the authors. Licensee MDPI, Basel, Switzerland. This article is an open access article distributed under the terms and conditions of the Creative Commons Attribution (CC BY) license (https://creativecommons.org/licenses/by/4.0/).
Share and Cite
Jang, N.-S.; Kim, Y.-H.; Oh, H.-S. Comparison of the Prediction of Effective Moment of Inertia of FRP Rebar-Reinforced Concrete by an Optimization Algorithm. Materials 2023, 16, 621. https://doi.org/10.3390/ma16020621
Jang N-S, Kim Y-H, Oh H-S. Comparison of the Prediction of Effective Moment of Inertia of FRP Rebar-Reinforced Concrete by an Optimization Algorithm. Materials. 2023; 16(2):621. https://doi.org/10.3390/ma16020621
Chicago/Turabian StyleJang, Nag-Seop, Young-Hwan Kim, and Hong-Seob Oh. 2023. "Comparison of the Prediction of Effective Moment of Inertia of FRP Rebar-Reinforced Concrete by an Optimization Algorithm" Materials 16, no. 2: 621. https://doi.org/10.3390/ma16020621
APA StyleJang, N.-S., Kim, Y.-H., & Oh, H.-S. (2023). Comparison of the Prediction of Effective Moment of Inertia of FRP Rebar-Reinforced Concrete by an Optimization Algorithm. Materials, 16(2), 621. https://doi.org/10.3390/ma16020621

