Development of Concrete Mixture for Spun-Cast Full-Scale Precast Concrete Pipes Incorporating Bundled Steel and Polypropylene Fibers
Abstract
1. Introduction
2. Research Significance
3. Materials
4. Experimental Methodologies
5. Results and Discussion
5.1. Material Characterization of Concrete Mixtures Incorporating Fibers
5.1.1. Fresh Properties
5.1.2. Compressive Strength
5.1.3. Splitting Tensile Strength
5.1.4. Flexural Strength
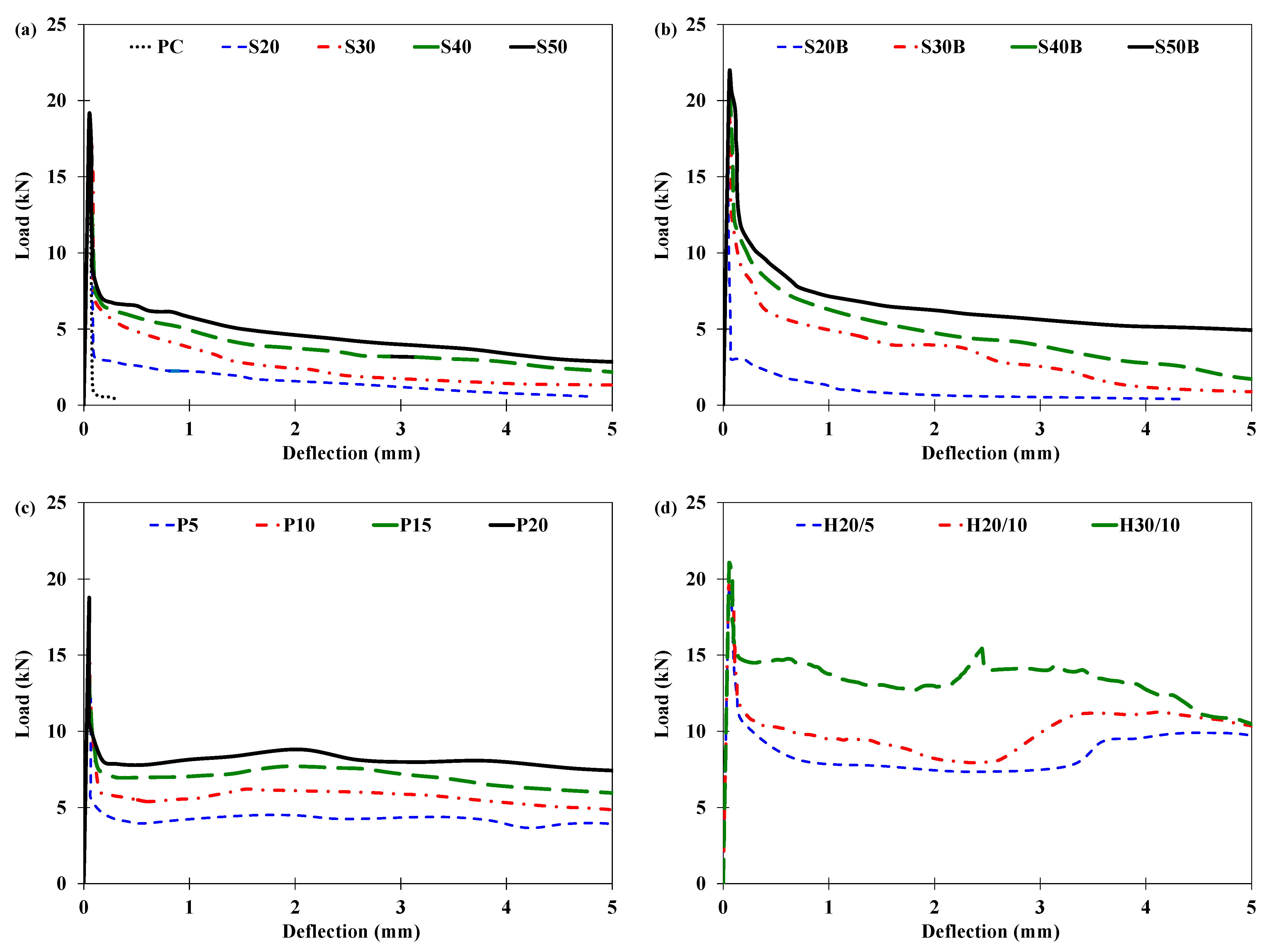
Load-Deflection Response
Toughness
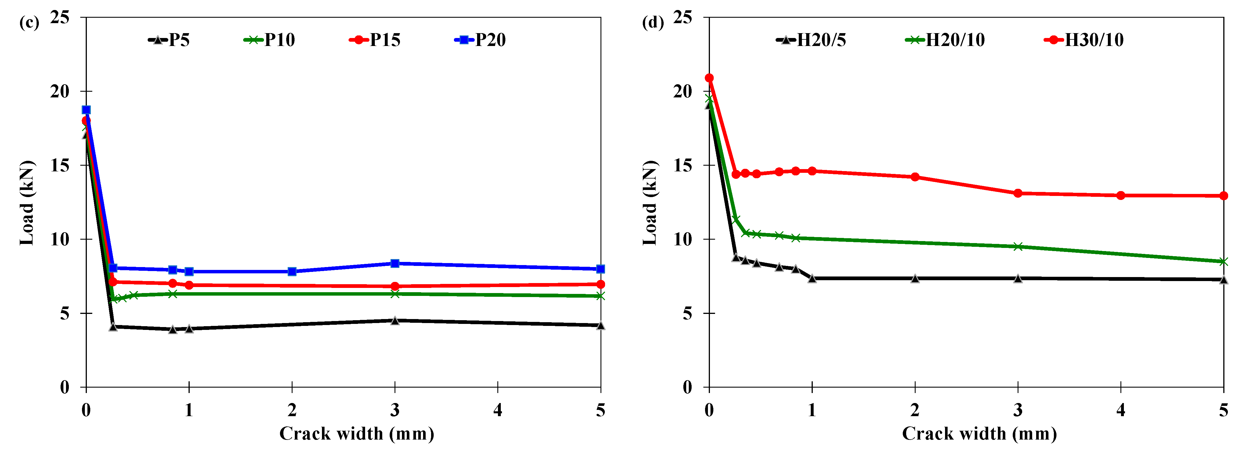
Crack and Failure Pattern
5.2. Manufacturing and Testing of Full-Scale Spun-Cast Concrete Pipes
6. Conclusions
- The dosage and type of fibers generally showed little or no effect on the compressive strength of the fiber-reinforced concrete mixtures. However, some improvement in the compressive strength of up to 18% was observed for the concrete mixture incorporating 50 kg/m3 of bundled steel fibers, as compared to the plain concrete mixture without fibers.
- The splitting tensile strength and flexural strength of all fiber-reinforced concrete mixtures were consistently higher as compared to the plain concrete mixture without fibers. The concrete mixture incorporating hybrid fibers (30 kg/m3 of bundled steel fibers and 10 kg/m3 PP fibers) exhibited much better improvement in flexural strength (24% higher), residual flexural strength at small and large deflections (4.39 MPa at L/600 and 3.89 MPa at L/150, as compared to nil for plain concrete mixture), and toughness (23 times higher) in comparison with the plain concrete mixture without fibers.
- The fibers can be incorporated into concrete mixtures for the manufacturing of full-scale spun-cast concrete pipes without significant changes in the manufacturing process. The tests on full-scale pipes showed that the use of fibers as partial or complete replacements for the conventional steel cage is a viable option to enhance the crack resistance of concrete pipes and eliminate or reduce the time-consuming fabrication of conventional steel cages.
- The use of hybrid fibers consisting of high-specific-gravity fibers (such as steel fibers) and low-specific-gravity fibers (such as PP fibers) can be an effective strategy to deal with the tensile stresses on both the inner and outer sides of the wall of a concrete pipe a with thickness too small to accommodate two layers of conventional rebar.
Author Contributions
Funding
Institutional Review Board Statement
Informed Consent Statement
Data Availability Statement
Acknowledgments
Conflicts of Interest
References
- United Nations. The Human Rights to Safe Drinking Water and Sanitation; United Nations General Assembly: New York, NY, USA, 2016; Volume 660. [Google Scholar]
- Qadir, M.; Wichelns, D.; Raschid-Sally, L.; McCornick, P.G.; Drechsel, P.; Bahri, A.; Minhas, P.S. The Challenges of Wastewater Irrigation in Developing Countries. Agric. Water Manag. 2010, 97, 561–568. [Google Scholar] [CrossRef]
- Mateo-Sagasta, J.; Raschid-Sally, L.; Thebo, A. Global Wastewater and Sludge Production, Treatment and Use. In Wastewater; Springer: Dordrecht, The Netherlands, 2015; pp. 15–38. [Google Scholar]
- Sato, T.; Qadir, M.; Yamamoto, S.; Endo, T.; Zahoor, A. Global, Regional, and Country Level Need for Data on Wastewater Generation, Treatment, and Use. Agric. Water Manag. 2013, 130, 1–13. [Google Scholar] [CrossRef]
- United Nations. Rising Reuse of Wastewater in Forecast but World Lacks Data on “Massive Potential Resource”; United Nations University: Tokyo, Japan, 2013. [Google Scholar]
- Qadir, M.; Drechsel, P.; Jiménez Cisneros, B.; Kim, Y.; Pramanik, A.; Mehta, P.; Olaniyan, O. Global and Regional Potential of Wastewater as a Water, Nutrient and Energy Source. Nat. Resour. Forum 2020, 44, 40–51. [Google Scholar] [CrossRef]
- World Health Organization. Water Quality: Guidelines, Standards, and Health: Assessment of Risk and Risk Management for Water-Related Infectious Disease; World Health Organization: Geneva, Switzerland, 2001. [Google Scholar]
- Zhang, J.; Cao, X.S.; Meng, X.Z. Sustainable Urban Sewerage System and Its Application in China. Resour. Conserv. Recycl. 2007, 51, 284–293. [Google Scholar] [CrossRef]
- Humes Concrete Pipe Brochure. Available online: https://www.humes.co.nz/assets/Uploads/9516411875/Humes-Concrete-Pipe-Brochure-2020.pdf (accessed on 26 April 2022).
- Nedal, M. Experimental and Numerical Study on Full-Scale Precast Steel Fibre-Reinforced Concrete Pipes. Ph.D. Thesis, Western University, London, ON, Canada, 2015. [Google Scholar]
- Mohsen, A. Evaluation Of The Performance Of Steel Fiber Reinforced Concrete Pipes Produced By Packerhead Method. Master’s Thesis, University of Texas at Arlington, Arlington, TX, USA, 2014. [Google Scholar]
- Joshi, N.G. Concrete Pipes and Pipelines; Narosa Publishing House Pvt. Ltd.: New Delhi, India, 2015. [Google Scholar]
- Abbas, S.; Kazmi, S.M.S.; Munir, M.J. Potential of Rice Husk Ash for Mitigating the Alkali-Silica Reaction in Mortar Bars Incorporating Reactive Aggregates. Constr. Build. Mater. 2017, 132, 61–70. [Google Scholar] [CrossRef]
- Gencel, O.; Kazmi, S.M.S.; Munir, M.J.; Kaplan, G.; Bayraktar, O.Y.; Yarar, D.O.; Karimipour, A.; Ahmad, M.R. Influence of Bottom Ash and Polypropylene Fibers on the Physico-Mechanical, Durability and Thermal Performance of Foam Concrete: An Experimental Investigation. Constr. Build. Mater. 2021, 306, 124887. [Google Scholar] [CrossRef]
- Heger, F.J.; McGrath, T.J. Radial Tension Strength of Pipe and Other Curved Flexural Members. ACI J. Proc. 1983, 80, 33–39. [Google Scholar] [CrossRef]
- Wen, Q.-J.; Jing, H.-W.; Sanda, S.; Zhuang, S.-S. Experimental Investigation of Mechanical Properties of Centrifugal Concrete in Circular Pipes. J. Mater. Civ. Eng. 2017, 29, 04016251. [Google Scholar] [CrossRef]
- Feng, Q.; Kong, Q.; Huo, L.; Song, G. Crack Detection and Leakage Monitoring on Reinforced Concrete Pipe. Smart Mater. Struct. 2015, 24, 115020. [Google Scholar] [CrossRef]
- Dirksen, J.; Clemens, F.H.L.R.; Korving, H.; Cherqui, F.; le Gauffre, P.; Ertl, T.; Plihal, H.; Müller, K.; Snaterse, C.T.M. The Consistency of Visual Sewer Inspection Data. Struct. Infrastruct. Eng. 2013, 9, 214–228. [Google Scholar] [CrossRef]
- Wang, F.; Xue, X.; Hua, J.; Chen, Z.; Huang, L.; Wang, N.; Jin, J. Non-Uniform Corrosion Influences on Mechanical Performances of Stainless-Clad Bimetallic Steel Bars. Mar. Struct. 2022, 86, 103276. [Google Scholar] [CrossRef]
- Hua, J.; Fan, H.; Xue, X.; Wang, F.; Chen, Z.; Huang, L.; Wang, N. Tensile and Low-Cycle Fatigue Performance of Bimetallic Steel Bars with Corrosion. J. Build. Eng. 2021, 43, 103188. [Google Scholar] [CrossRef]
- Hua, J.; Wang, F.; Huang, L.; Wang, N.; Xue, X. Experimental Study on Mechanical Properties of Corroded Stainless-Clad Bimetallic Steel Bars. Constr. Build. Mater. 2021, 287, 123019. [Google Scholar] [CrossRef]
- Abbas, S.; Soliman, A.M.; Nehdi, M.L. Exploring Mechanical and Durability Properties of Ultra-High Performance Concrete Incorporating Various Steel Fiber Lengths and Dosages. Constr. Build. Mater. 2015, 75, 429–441. [Google Scholar] [CrossRef]
- Abbas, S.; Ishaq, M.A.A.; Kazmi, S.M.S.; Munir, M.J.; Ali, S. Investigating the Behavior of Waste Alumina Powder and Nylon Fibers for Eco-Friendly Production of Self-Compacting Concrete. Materials 2022, 15, 4515. [Google Scholar] [CrossRef]
- Kazmi, S.M.S.; Munir, M.J.; Wu, Y.F.; Patnaikuni, I. Effect of Macro-Synthetic Fibers on the Fracture Energy and Mechanical Behavior of Recycled Aggregate Concrete. Constr. Build. Mater. 2018, 189, 857–868. [Google Scholar] [CrossRef]
- Kytinou, V.K.; Chalioris, C.E.; Karayannis, C.G. Analysis of Residual Flexural Stiffness of Steel Fiber-Reinforced Concrete Beams with Steel Reinforcement. Materials 2020, 13, 2698. [Google Scholar] [CrossRef]
- Guo, H.; Jiang, L.; Tao, J.; Chen, Y.; Zheng, Z.; Jia, B. Influence of a Hybrid Combination of Steel and Polypropylene Fibers on Concrete Toughness. Constr. Build. Mater. 2021, 275, 122132. [Google Scholar] [CrossRef]
- Wang, F.; Hua, J.; Xue, X.; Wang, N.; Yao, Y. Effects of Polyoxymethylene Fiber on Mechanical Properties of Seawater Sea-Sand Concrete with Different Ages. Polymers 2022, 14, 3472. [Google Scholar] [CrossRef]
- Xue, X.; Wang, F.; Hua, J.; Wang, N.; Huang, L.; Chen, Z.; Yao, Y. Effects of Polyoxymethylene Fiber on Fresh and Hardened Properties of Seawater Sea-Sand Concrete. Polymers 2022, 14, 4969. [Google Scholar] [CrossRef]
- Fang, H.; Gu, M.; Zhang, S.; Jiang, H.; Fang, Z.; Hu, J. Effects of Steel Fiber and Specimen Geometric Dimensions on the Mechanical Properties of Ultra-High-Performance Concrete. Materials 2022, 15, 3027. [Google Scholar] [CrossRef]
- Khan, S.; Qing, L.; Ahmad, I.; Mu, R.; Bi, M. Investigation on Fracture Behavior of Cementitious Composites Reinforced with Aligned Hooked-End Steel Fibers. Materials 2022, 15, 542. [Google Scholar] [CrossRef]
- Abed, M.A.; Fořt, J.; Naoulo, A.; Essa, A. Influence of Polypropylene and Steel Fibers on the Performance and Crack Repair of Self-Compacting Concrete. Materials 2021, 14, 5506. [Google Scholar] [CrossRef]
- Wölfel, E.; Brünig, H.; Curosu, I.; Mechtcherine, V.; Scheffler, C. Dynamic Single-Fiber Pull-Out of Polypropylene Fibers Produced with Different Mechanical and Surface Properties for Concrete Reinforcement. Materials 2021, 14, 722. [Google Scholar] [CrossRef]
- Wang, L.; He, T.; Zhou, Y.; Tang, S.; Tan, J.; Liu, Z.; Su, J. The Influence of Fiber Type and Length on the Cracking Resistance, Durability and Pore Structure of Face Slab Concrete. Constr. Build. Mater. 2021, 282, 122706. [Google Scholar] [CrossRef]
- Haktanir, T.; Ari, K.; Altun, F.; Karahan, O. A Comparative Experimental Investigation of Concrete, Reinforced-Concrete and Steel-Fibre Concrete Pipes under Three-Edge-Bearing Test. Constr. Build. Mater. 2007, 21, 1702–1708. [Google Scholar] [CrossRef]
- Wilson, A.; Abolmaali, A. Performance of Synthetic Fiber-Reinforced Concrete Pipes. J. Pipeline Syst. Eng. Pract. 2014, 5, 04014002. [Google Scholar] [CrossRef]
- Lee, S.; Park, Y.; Abolmaali, A. Investigation of Flexural Toughness for Steel-and-Synthetic-Fiber-Reinforced Concrete Pipes. Structures 2019, 19, 203–211. [Google Scholar] [CrossRef]
- Park, Y.; Abolmaali, A.; Mohammadagha, M.; Lee, S. Structural Performance of Dry-Cast Rubberized Concrete Pipes with Steel and Synthetic Fibers. Constr. Build. Mater. 2015, 77, 218–226. [Google Scholar] [CrossRef]
- Abolmaali, A.; Mikhaylova, A.; Wilson, A.; Lundy, J. Performance of Steel Fiber–Reinforced Concrete Pipes. Transp. Res. Rec. 2012, 2313, 168–177. [Google Scholar] [CrossRef]
- Park, Y.; Abolmaali, A.; Beakley, J.; Attiogbe, E. Thin-Walled Flexible Concrete Pipes with Synthetic Fibers and Reduced Traditional Steel Cage. Eng. Struct. 2015, 100, 731–741. [Google Scholar] [CrossRef]
- Mohamed, N.; Nehdi, M.L. Rational Finite Element Assisted Design of Precast Steel Fibre Reinforced Concrete Pipes. Eng. Struct. 2016, 124, 196–206. [Google Scholar] [CrossRef]
- Nehdi, M.L.; Mohamed, N.; Soliman, A.M. Investigation of Buried Full-Scale SFRC Pipes under Live Loads. Constr. Build. Mater. 2016, 102, 733–742. [Google Scholar] [CrossRef]
- Mohamed, N.; Soliman, A.M.; Nehdi, M.L. Mechanical Performance of Full-Scale Precast Steel Fibre-Reinforced Concrete Pipes. Eng. Struct. 2015, 84, 287–299. [Google Scholar] [CrossRef]
- Mohamed, N.; Soliman, A.M.; Nehdi, M.L. Full-Scale Pipes Using Dry-Cast Steel Fibre-Reinforced Concrete. Constr. Build. Mater. 2014, 72, 411–422. [Google Scholar] [CrossRef]
- Peyvandi, A.; Soroushian, P.; Jahangirnejad, S. Enhancement of the Structural Efficiency and Performance of Concrete Pipes through Fiber Reinforcement. Constr. Build. Mater. 2013, 45, 36–44. [Google Scholar] [CrossRef]
- Deng, Z.; Liu, X.; Chen, P.; de la Fuente, A.; Zhou, X.; Liang, N.; Han, Y.; Du, L. Basalt-Polypropylene Fiber Reinforced Concrete for Durable and Sustainable Pipe Production. Part 1: Experimental Program. Struct. Concr. 2021, 23, 311–327. [Google Scholar] [CrossRef]
- al Rikabi, F.T.; Sargand, S.M.; Kurdziel, J. Evaluation of Synthetic Fiber Reinforced Concrete Pipe Performance Using Three-Edge Bearing Test. J. Test Eval. 2018, 47, 942–958. [Google Scholar] [CrossRef]
- al Rikabi, F.T.; Sargand, S.M.; Kurdziel, J.; Khoury, I. Performance of Thin-Wall Synthetic Fiber–Reinforced Concrete Pipes under Short and Long-Term Loading. J. Test Eval. 2020, 48, 3713–3733. [Google Scholar] [CrossRef]
- Fouad, T.; Kurdziel, A.R.J.; Husam, H.; Hussein, S.M.S. Experimental Investigation of Thin-Wall Synthetic Fiber- Reinforced Concrete Pipes. ACI Struct. J. 2018, 115, 1671–1681. [Google Scholar] [CrossRef]
- Raju, R.A.; Akiyama, M.; Lim, S.; Kakegawa, T.; Hosono, Y. A Novel Casting Procedure for SFRC Piles without Shear Reinforcement Using the Centrifugal Forming Technique to Manipulate the Fiber Orientation and Distribution. Constr. Build. Mater. 2021, 303, 124232. [Google Scholar] [CrossRef]
- BS EN 1916; Concrete Pipes and Fittings, Unreinforced, Steel Fibre and Reinforced. British Standards Institution: London, UK, 2002.
- ASTM C1765; Standard Specification for Steel Fiber Reinforced Concrete Culvert, Storm Drain, and Sewer Pipe. American Society for Testing and Materials: West Conshohocken, PA, USA, 2019.
- ASTM C1818; Standard Specification for Synthetic Fiber Reinforced Concrete Culvert, Storm Drain, and Sewer Pipe. American Society for Testing and Materials: West Conshohocken, PA, USA, 2022.
- ASTM C76; Standard Specification for Reinforced Concrete Culvert, Storm Drain, and Sewer Pipe. American Society for Testing and Materials: West Conshohocken, PA, USA, 2022.
- ACI Committee 211; Guide for Selecting Proportions for No-Slump Concrete (ACI 211.3R-02). American Concrete Institute: Farmington Hills, MI, USA, 2009.
- ASTM C143; Standard Test Method for Slump of Hydraulic-Cement Concrete. American Society for Testing and Materials: West Conshohocken, PA, USA, 2020.
- ASTM C138; Standard Test Method for Density (Unit Weight), Yield, and Air Content (Gravimetric) of Concrete. American Society for Testing and Materials: West Conshohocken, PA, USA, 2017.
- ASTM C39; Standard Test Method for Compressive Strength of Cylindrical Concrete Specimens. American Society for Testing and Materials: West Conshohocken, PA, USA, 2021.
- ASTM C496; Standard Test Method for Splitting Tensile Strength of Cylindrical Concrete Specimens. American Society for Testing and Materials: West Conshohocken, PA, USA, 2017.
- ASTM C1609; Standard Test Method for Flexural Performance of Fiber-Reinforced Concrete (Using Beam With Third-Point Loading). American Society for Testing and Materials: West Conshohocken, PA, USA, 2019.
- Yang, K.-H. Tests on Concrete Reinforced with Hybrid or Monolithic Steel and Polyvinyl Alcohol Fibers. ACI Mater. J. 2011, 108, 664–672. [Google Scholar]
- Ramakrishnan, V.; George, Y.W.; Hosalli, G. Flexural Fatigue Strength, Endurance Limit, and Impact Strength of Fiber Reinforced Concrete. In Proceedings of the International Symposium on Recent Developments in Concrete Fiber Composites; Transportation Research Board: Washington, DC, USA, 1989; pp. 17–24. [Google Scholar]
- Abbass, W.; Khan, M.I.; Mourad, S. Evaluation of Mechanical Properties of Steel Fiber Reinforced Concrete with Different Strengths of Concrete. Constr. Build. Mater. 2018, 168, 556–569. [Google Scholar] [CrossRef]
- Li, B.; Chi, Y.; Xu, L.; Shi, Y.; Li, C. Experimental Investigation on the Flexural Behavior of Steel-Polypropylene Hybrid Fiber Reinforced Concrete. Constr. Build. Mater. 2018, 191, 80–94. [Google Scholar] [CrossRef]
- Banthia, N.; Soleimani, S.M. Flexural Response of Hybrid Fiber-Reinforced Cementitious Composites. ACI Mater. J. 2005, 102, 382–389. [Google Scholar] [CrossRef]
- Wang, J.; Dai, Q.; Si, R.; Guo, S. Mechanical, Durability, and Microstructural Properties of Macro Synthetic Polypropylene (PP) Fiber-Reinforced Rubber Concrete. J. Clean. Prod. 2019, 234, 1351–1364. [Google Scholar] [CrossRef]
- Yao, W.; Li, J.; Wu, K. Mechanical Properties of Hybrid Fiber-Reinforced Concrete at Low Fiber Volume Fraction. Cem. Concr. Res. 2003, 33, 27–30. [Google Scholar] [CrossRef]
- ACI Committee 544; Guide to Design with Fiber-Reinforced Concrete (544.4R-18). American Concrete Institute: Farmington Hills, MI, USA, 2018.
- Afroughsabet, V.; Ozbakkaloglu, T. Mechanical and Durability Properties of High-Strength Concrete Containing Steel and Polypropylene Fibers. Constr. Build. Mater. 2015, 94, 73–82. [Google Scholar] [CrossRef]
- ACI Committee 544; Report on Measuring Mechanical Properties of Hardened Fiber-Reinforced Concrete (544.9R-17). American Concrete Institute: Farmington Hills, MI, USA, 2017.
- Dopko, M.; Najimi, M.; Shafei, B.; Wang, X.; Taylor, P.; Phares, B.M. Flexural Performance Evaluation of Fiber-Reinforced Concrete Incorporating Multiple Macro-Synthetic Fibers. Transp. Res. Rec. 2018, 2672, 1–12. [Google Scholar] [CrossRef]
- ACI Committee 544; Report on Design and Construction of Steel Fiber-Reinforced Concrete Elevated Slabs (544.6R-15). American Concrete Institute: Farmington Hills, MI, USA, 2015.
- ASTM C497; Standard Test Methods for Concrete Pipe, Concrete Box Sections, Manhole Sections, or Tile. American Society for Testing and Materials: West Conshohocken, PA, USA, 2020.





















| Ingredient | Mass/Cement Mass |
|---|---|
| Cement | 1.00 |
| Fine aggregate | 1.50 |
| Coarse aggregate | 2.92 |
| Water | 0.47 |
| Fiber Type | Shape | Length (mm) | Diameter (mm) | Aspect Ratio | Tensile Strength (MPa) | Modulus of Elasticity (GPa) |
|---|---|---|---|---|---|---|
| Steel fibers | Solid fiber with smooth surface and straight ends | 25 | 0.68 | 36 | 1569 | 200 |
| Steel fibers | Bundled fiber and straight ends | 25 | 0.79 * | 32 | 1428 | 200 |
| PP fibers | Embossed surface | 55 | 0.91 * | 60 | 460 | 9 |
| Sr. No. | Mixture Designation | Fiber Dosage (kg/m3) | Mixture Type | Remarks | |
|---|---|---|---|---|---|
| Steel | PP | ||||
| 1 | PC | 0 | 0 | Plain concrete | Control mix |
| 2 | S20 | 20 | 0 | Steel fiber-reinforced concrete | Straight steel fibers |
| 3 | S30 | 30 | 0 | ||
| 4 | S40 | 40 | 0 | ||
| 5 | S50 | 50 | 0 | ||
| 6 | S20B | 20 | 0 | Bundled steel fibers | |
| 7 | S30B | 30 | 0 | ||
| 8 | S40B | 40 | 0 | ||
| 9 | S50B | 50 | 0 | ||
| 10 | P5 | 0 | 5 | PP fiber-reinforced concrete | Polypropylene fibers with embossed surface |
| 11 | P10 | 0 | 10 | ||
| 12 | P15 | 0 | 15 | ||
| 13 | P20 | 0 | 20 | ||
| 14 | H20/5 | 20 | 5 | Hybrid fiber-reinforced concrete | Hybrid of bundled steel fibers and PP fibers |
| 15 | H20/10 | 20 | 10 | ||
| 16 | H30/10 | 30 | 10 | ||
| Sr. No. | Mixture Designation | Slump (mm) | Fresh Density (kg/m3) | Compressive Strength (MPa) | Splitting Tensile Strength (Mpa) |
|---|---|---|---|---|---|
| 1 | PC | 20 | 2513 | 32.6 | 3.21 |
| 2 | S20 | 15 | 2502 | 34.5 | 3.27 |
| 3 | S30 | 10 | 2493 | 35.2 | 3.47 |
| 4 | S40 | 5 | 2486 | 36.5 | 3.73 |
| 5 | S50 | 5 | 2474 | 37.1 | 3.92 |
| 6 | S20B | 15 | 2498 | 33.9 | 3.32 |
| 7 | S30B | 15 | 2491 | 34.4 | 3.49 |
| 8 | S40B | 10 | 2482 | 36.8 | 3.78 |
| 9 | S50B | 10 | 2477 | 38.4 | 3.98 |
| 10 | P5 | 10 | 2498 | 32.9 | 3.29 |
| 11 | P10 | 5 | 2488 | 31.8 | 3.35 |
| 12 | P15 | 5 | 2476 | 31.5 | 3.48 |
| 13 | P20 | 0 | 2412 | 30.8 | 3.57 |
| 14 | H20/5 | 10 | 2495 | 32.4 | 3.29 |
| 15 | H20/10 | 5 | 2484 | 33.1 | 3.37 |
| 16 | H30/10 | 5 | 2473 | 34.1 | 3.55 |
| Sr. No. | Mixture Designation | First-Peak Strength (f1) and Deflection (δ1) | Residual Strength (MPa) at Deflection of | Toughness (Joule) | ||
|---|---|---|---|---|---|---|
| f1 (MPa) | δ1 (mm) | L/600 | L/150 | |||
| 1 | PC | 5.11 | 0.05 | 0 | 0 | 1.2 |
| 2 | S20 | 5.24 | 0.05 | 0.78 | 0.47 | 5.2 |
| 3 | S30 | 5.48 | 0.05 | 1.46 | 0.73 | 8.6 |
| 4 | S40 | 5.6 | 0.05 | 1.73 | 1.12 | 10.5 |
| 5 | S50 | 5.74 | 0.05 | 1.96 | 1.38 | 12 |
| 6 | S20B | 5.65 | 0.05 | 0.62 | 0.2 | 3.5 |
| 7 | S30B | 6.06 | 0.05 | 1.79 | 1.18 | 11.2 |
| 8 | S40B | 6.39 | 0.06 | 2.36 | 1.43 | 14.1 |
| 9 | S50B | 6.56 | 0.06 | 2.69 | 1.87 | 16.4 |
| 10 | P5 | 5.14 | 0.05 | 1.2 | 1.34 | 9.1 |
| 11 | P10 | 5.27 | 0.05 | 1.65 | 1.83 | 12.1 |
| 12 | P15 | 5.4 | 0.05 | 2.09 | 2.31 | 14.7 |
| 13 | P20 | 5.61 | 0.05 | 2.35 | 2.63 | 16.6 |
| 14 | H20/5 | 5.74 | 0.05 | 2.73 | 2.25 | 17.4 |
| 15 | H20/10 | 5.87 | 0.05 | 3.08 | 2.47 | 19.9 |
| 16 | H30/10 | 6.32 | 0.06 | 4.39 | 3.89 | 27.6 |
| Pipe | Reinforcement Details | Steel Fibers (kg/m3) | D-Load0.3mm crack (N/m/mm) | D-Load ult (N/m/mm) |
|---|---|---|---|---|
| 1 | - | - | 60 | 60 |
| 2 | - | 20 | 72 | 72 |
| 3 | Conventional steel rebar | - | 105 | 140 |
| 4 | Conventional steel rebar | 20 | 114 | 155 |
| 5 | Conventional steel rebar | 40 | 130 | 185 |
Disclaimer/Publisher’s Note: The statements, opinions and data contained in all publications are solely those of the individual author(s) and contributor(s) and not of MDPI and/or the editor(s). MDPI and/or the editor(s) disclaim responsibility for any injury to people or property resulting from any ideas, methods, instructions or products referred to in the content. |
© 2023 by the authors. Licensee MDPI, Basel, Switzerland. This article is an open access article distributed under the terms and conditions of the Creative Commons Attribution (CC BY) license (https://creativecommons.org/licenses/by/4.0/).
Share and Cite
Faisal, A.; Abbas, S.; Kazmi, S.M.S.; Munir, M.J. Development of Concrete Mixture for Spun-Cast Full-Scale Precast Concrete Pipes Incorporating Bundled Steel and Polypropylene Fibers. Materials 2023, 16, 512. https://doi.org/10.3390/ma16020512
Faisal A, Abbas S, Kazmi SMS, Munir MJ. Development of Concrete Mixture for Spun-Cast Full-Scale Precast Concrete Pipes Incorporating Bundled Steel and Polypropylene Fibers. Materials. 2023; 16(2):512. https://doi.org/10.3390/ma16020512
Chicago/Turabian StyleFaisal, Adeel, Safeer Abbas, Syed Minhaj Saleem Kazmi, and Muhammad Junaid Munir. 2023. "Development of Concrete Mixture for Spun-Cast Full-Scale Precast Concrete Pipes Incorporating Bundled Steel and Polypropylene Fibers" Materials 16, no. 2: 512. https://doi.org/10.3390/ma16020512
APA StyleFaisal, A., Abbas, S., Kazmi, S. M. S., & Munir, M. J. (2023). Development of Concrete Mixture for Spun-Cast Full-Scale Precast Concrete Pipes Incorporating Bundled Steel and Polypropylene Fibers. Materials, 16(2), 512. https://doi.org/10.3390/ma16020512

