A Novel P@SiO2 Nano-Composite as Effective Adsorbent to Remove Methylene Blue Dye from Aqueous Media
Abstract
1. Introduction
2. Materials and Methods
2.1. Materials
2.2. Characterization and Analysis
2.3. Preparation of P@SiO2 Nanocomposite
2.4. Adsorption Studies
2.5. Mathematical Modeling
3. Results and Discussion
3.1. Characterizations
3.2. Adsorption Study
3.2.1. Effect of Contact Time and P@SiO2 Nanocomposite Dose
3.2.2. Effect of Initial MB Dye Concentration
3.2.3. Effect of pH
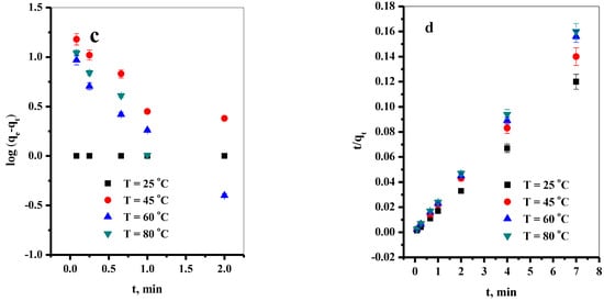
3.2.4. Effect of Temperature
3.2.5. Adsorption Kinetics
3.2.6. Adsorption Isotherm
3.2.7. Adsorption Thermodynamics
3.2.8. Effect of Ionic Strength on the Adsorption Percent of MB Dye
3.2.9. Adsorption Mechanism
3.3. Comparison Study
4. Conclusions and Future Perspectives
Supplementary Materials
Author Contributions
Funding
Institutional Review Board Statement
Informed Consent Statement
Data Availability Statement
Acknowledgments
Conflicts of Interest
References
- Yaqoob, A.A.; Parveen, T.; Umar, K.; Mohamad Ibrahim, M.N. Role of Nanomaterials in the Treatment of Wastewater: A Review. Water 2020, 12, 495. [Google Scholar] [CrossRef]
- Sarkar, N.; Sahoo, G.; Swain, S.K. Reduced graphene oxide decorated superporous polyacrylamide based interpenetrating network hydrogel as dye adsorbent. Mater. Chem. Phys. 2020, 250, 123022. [Google Scholar] [CrossRef]
- Yaqoob, A.A.; Ahmad, H.; Parveen, T.; Ahmad, A.; Oves, M.; Ismail, I.M.I.; Qari, H.A.; Umar, K.; Mohamad Ibrahim, M.N. Recent Advances in Metal Decorated Nanomaterials and Their Various Biological Applications: A Review. Front. Chem. 2020, 8, 341. [Google Scholar] [CrossRef] [PubMed]
- Ahmad, A.; Mohd-Setapar, S.H.; Chuong, C.S.; Khatoon, A.; Wani, W.A.; Kumard, R.; Rafatullah, M. Recent advances in new generation dye removal technologies: Novel search for approaches to reprocess wastewater. RSC Adv. 2015, 5, 30801–30818. [Google Scholar] [CrossRef]
- Salama, A.; Abou-Zeid, R.E. Ionic chitosan/silica nanocomposite as efficient adsorbent for organic dyes. Intern. J. Biol. Macromol. 2021, 188, 404–410. [Google Scholar] [CrossRef]
- Jiao, Y.; Wan, C.; Bao, W.; Gao, H.; Liang, D.; Li, J. Facile hydrothermal synthesis of Fe3O4@cellulose aerogel nanocomposite and its application in Fenton-like degradation of Rhodamine. B. Carbohydr. Polym. 2018, 189, 371–378. [Google Scholar] [CrossRef]
- Abou-Zeid, R.E.; Khiari, R.; El-Wakil, N.; Dufresne, A. Current state and new trends in the use of cellulose nanomaterials for wastewater treatment. Biomacromolecules 2019, 20, 573–597. [Google Scholar] [CrossRef]
- Kong, X.-P.; Zhang, B.-H.; Wang, J. Multiple Roles of Mesoporous Silica in Safe Pesticide Application by Nanotechnology: A Review. J. Agric. Food Chem. 2021, 69, 6735–6754. [Google Scholar] [CrossRef]
- Khabra, A.; Cohen, H.; Pinhasi, G.A.; Querol, X.; Córdoba Sola, P.; Zidki, T. Synthesis of a SiO2/Co(OH)2 Nanocomposite Catalyst for SOX/NOX Oxidation in Flue Gas. Catalysts 2023, 13, 29. [Google Scholar] [CrossRef]
- Huang, X.; Li, L.; Zhao, S.; Zhao, S.; Tong, L.; Li, Z.; Peng, Z.; Lin, R.; Zhou, L.; Peng, C.; et al. MOF-Like 3D Graphene-Based Catalytic Membrane Fabricated by One-Step Laser Scribing for Robust Water Purification and Green Energy Production. Nano-Micro Lett. 2022, 14, 174. [Google Scholar] [CrossRef]
- Oyekanmi, A.A.; Latiff, A.A.A.; Daud, Z.; Mohamed, R.M.S.R.; Ismail, N.; Aziz, A.A.; Rafatullah, M.; Hossain, K.; Ahmad, A.; Abiodun, A.K. Adsorption of cadmium and lead from palm oil mill effluent using bone-composite: Optimisation and isotherm studies. Int. J. Environ. Anal. Chem. 2019, 99, 707–725. [Google Scholar] [CrossRef]
- Idris, M.O.; Yaqoob, A.A.; Ibrahim, M.N.M.; Ahmad, A.; Alshammari, M.B. Introduction of Adsorption Techniques for Heavy Metals Remediation. In Emerging Techniques for Treatment of Toxic Metals from Wastewater; Elsevier: Amsterdam, The Netherlands, 2023; pp. 1–18. [Google Scholar] [CrossRef]
- Hao, Y.; Cui, Y.; Peng, J.; Zhao, N.; Li, S.; Zhai, M. Preparation of graphene oxide/ cellulose composites in ionic liquid for Ce (III) removal. Carbohydr. Polym. 2019, 208, 269–275. [Google Scholar] [CrossRef] [PubMed]
- Xie, L.-Q.; Jiang, X.-Y.; Yu, J.-G. A Novel Low-Cost Bio-Sorbent Prepared from Crisp Persimmon Peel by Low-Temperature Pyrolysis for Adsorption of Organic Dyes. Molecules 2022, 27, 5160. [Google Scholar] [CrossRef]
- Birniwa, A.H.; Mahmud, H.N.M.E.; Abdullahi, S.S.; Habibu, S.; Jagaba, A.H.; Ibrahim, M.N.M.; Ahmad, A.; Alshammari, M.B.; Parveen, T.; Umar, K. Adsorption Behavior of Methylene Blue Cationic Dye in Aqueous Solution Using Polypyrrole-Polyethylenimine Nano-Adsorbent. Polymers 2022, 14, 3362. [Google Scholar] [CrossRef] [PubMed]
- Bangari, R.S.; AnshulYadav, A.; Awasthi, P.; Sinha, N. Experimental and theoretical analysis of simultaneous removal of methylene blue and tetracycline using boron nitride nanosheets as adsorbent. Colloids Surf. A Physicochem. Eng. Asp. 2022, 634, 127943. [Google Scholar] [CrossRef]
- Tran, T.K.N.; Phan, C.P.K.; Ngo, T.C.Q.; Hoang, N.B.; Truong, L.D.; Nguyen, T.K.O. Synthesis and Characterization Bimetallic Organic Framework CoxFex(BDC) and Adsorption Cationic and Anionic Dyes. Processes 2022, 10, 1352. [Google Scholar] [CrossRef]
- Bazan-Wozniak, A.; Wolski, R.; Paluch, D.; Nowicki, P.; Pietrzak, R. Removal of Organic Dyes from Aqueous Solutions by Activated Carbons Prepared from Residue of Supercritical Extraction of Marigold. Materials 2022, 15, 3655. [Google Scholar] [CrossRef]
- Sarojini, G.; Babub, S.V.; Rajamohan, N.; Rajasimm, M.; Pugazhendhi, A. Optimization, Application of a polymer-magnetic-algae based nanocomposite for the removal of methylene blue—Characterization, parametric and kinetic studies. Environ. Pollut. 2022, 292, 118376. [Google Scholar] [CrossRef]
- Gao, J.; Li, Z.; Wang, Z.; Chen, T.; Hu, G.; Zhao, Y.; Han, X. Facile Synthesis of Sustainable Tannin/Sodium Alginate Composite Hydrogel Beads for Efficient Removal of Methylene Blue. Gels 2022, 8, 486. [Google Scholar] [CrossRef]
- Ihaddaden, S.; Aberkane, D.; Boukerroui, A.; Robert, D. Removal of methylene blue (basic dye) by coagulation-flocculation with biomaterials (bentonite and Opuntia ficus indica). J. Water Proc. Eng. 2022, 49, 102952. [Google Scholar] [CrossRef]
- Dadashi, J.; Khaleghian, M.; Mirtamizdoust, B.; Hanifehpour, Y.; Joo, S.W. Fabrication of Copper(II)-Coated Magnetic Core-Shell Nanoparticles Fe3O4@SiO2: An Effective and Recoverable Catalyst for Reduction/Degradation of Environmental Pollutants. Crystals 2022, 12, 862. [Google Scholar] [CrossRef]
- Chen, T.; Liu, H.; Gao, J.; Hu, G.; Zhao, Y.; Tang, X.; Han, X. Efficient Removal of Methylene Blue by Bio-Based Sodium Alginate/Lignin Composite Hydrogel Beads. Polymers 2022, 14, 2917. [Google Scholar] [CrossRef] [PubMed]
- Zango, Z.U.; Dennis, J.O.; Aljameel, A.I.; Usman, F.; Ali, M.K.M.; Abdulkadir, B.A.; Algessair, S.; Aldaghri, O.A.; Ibnaouf, K.H. Effective Removal of Methylene Blue from SimulatedWastewater Using ZnO-Chitosan Nanocomposites: Optimization, Kinetics, and Isotherm Studies. Molecules 2022, 27, 4746. [Google Scholar] [CrossRef] [PubMed]
- Bhatti, M.A.; Gilani, S.J.; Shah, A.A.; Channa, I.A.; Almani, K.F.; Chandio, A.D.; Halepoto, I.A.; Tahira, A.; Bin Jumah, M.N.; Ibupoto, Z.H. Effective Removal of Methylene Blue by Surface Alteration of TiO2 with Ficus Carica Leaf Extract under Visible Light. Nanomaterials 2022, 12, 2766. [Google Scholar] [CrossRef]
- Alshahrani, A.A.; Alorabi, A.Q.; Hassan, M.S.; Amna, T.; Azizi, M. Chitosan-Functionalized Hydroxyapatite-Cerium Oxide Heterostructure: An Efficient Adsorbent for Dyes Removal and Antimicrobial Agent. Nanomaterials 2022, 12, 2713. [Google Scholar] [CrossRef]
- Blaga, A.C.; Tanasa, A.M.; Cimpoesu, R.; Tataru-Farmus, R.-E.; Suteu, D. Biosorbents Based on Biopolymers from Natural Sources and FoodWaste to Retain the Methylene Blue Dye from the Aqueous Medium. Polymers 2022, 14, 2728. [Google Scholar] [CrossRef]
- Yaqoob, A.A.; Ibrahim, M.N.M.; Reddy, A.V.B. Toxicology and Environmental Application of Carbon Nanocomposite. In Environmental Remediation through Carbon Based Nano Composites; Springer: Berlin/Heidelberg, Germany, 2021; pp. 1–18. [Google Scholar] [CrossRef]
- Wang, F.; Zhang, J.; Jia, D.M. Facile synthesis of shell-core structured Fe3O4@ACS as recyclable magnetic adsorbent for methylene blue removal. J. Dispers. Sci. Technol. 2019, 40, 1736–1743. [Google Scholar] [CrossRef]
- Bounaas, M.; Bouguettoucha, A.; Chebli, D.; Gatica, J.M.; Vidal, H. Role of the Wild Carob as Biosorbent and as Precursor of a New High-Surface-Area Activated Carbon for the Adsorption of Methylene Blue. Arab. J. Sci. Eng. 2021, 46, 325–341. [Google Scholar] [CrossRef]
- Venkatesan, R.; Alagumalai, K.; Raorane, C.J.; Raj, V.; Shastri, D.; Kim, S.-C. Morphological, Mechanical, and Antimicrobial Properties of PBAT/Poly (Methyl Methacrylate-co-Maleic Anhydride)–SiO2 Composite Films for Food Packaging Applications. Polymers 2023, 15, 101. [Google Scholar] [CrossRef]
- Sharma, P.; Prakash, J.; Kaushal, R. An insight into the green synthesis of SiO2 nanostructures as a novel adsorbent for removal of toxic water pollutants. Environ. Res. 2022, 212, 113328. [Google Scholar] [CrossRef]
- Beagan, A.; Alotaibi, K.; Almakhlafi, M.; Algarabli, W.; Alajmi, N.; Alanazi, M.; Alwaalah, H.; Alharbi, F.; Alshammari, R.; Alswieleh, A. Amine and sulfonic acid functionalized mesoporous silica as an effective adsorbent for removal of methylene blue from contaminated water. J. King SaudUniv. Sci. 2022, 34, 101762. [Google Scholar] [CrossRef]
- Jadhav, S.A.; Garud, H.B.; Patil, A.H.; Patil, G.D.; Patil, C.R.; Dongale, T.D.; Patil, P.S. Recent advancements in silica nanoparticles based technologies for removal of dyes from water. Colloid Interface Sci. Commun. 2019, 30, 100181. [Google Scholar] [CrossRef]
- Li, Y.; Wang, S.; Shen, Z.; Li, X.; Zhou, Q.; Sun, Y.; Wang, T.; Liu, Y.; Gao, Q. Gradient Adsorption of Methylene Blue and Crystal Violet onto Compound Microporous Silica from Aqueous Medium. ACS Omega 2020, 5, 43–28382. [Google Scholar] [CrossRef] [PubMed]
- Jesionowski, T.; Krysztafkiewicz, A. Preparation of the hydrophilic/hydrophobic silica particles. Colloids Surf. A Physicochem. Eng. Asp. 2002, 207, 49–58. [Google Scholar] [CrossRef]
- Lee, M.S.; Jo, N.J. Coating of methyltriethoxysilane-modified colloidal silica on polymer substrates for abrasion resistance. J. Sol-Gel Sci. Technol. 2002, 24, 175–180. [Google Scholar] [CrossRef]
- Hah, H.J.; Koo, S.M. Surface modification of PTMS particles with organosilanes: TEOS-, VTMS-, and MTMS-modified par-524 ticles. J. Sol-Gel Sci. Technol. 2004, 31, 117–121. [Google Scholar] [CrossRef]
- Alswieleh, A.M. Modification of Mesoporous Silica Surface by Immobilization of Functional Groups for Controlled Drug Release. J. Chem. 2020, 2020, 9176257. [Google Scholar] [CrossRef]
- Mary, K.A.A.; Unnikrishnan, N.V.; Philip, R. Cubic to amorphous transformation of Se in silica with improved ultrafast optical nonlinearity. RSC Adv. 2015, 5, 14034. [Google Scholar] [CrossRef]
- Sanosh, K.P.; Chu, M.C.; Balakrishnan, A.; Kim, T.N.; Cho, S.J. Preparation and characterization of nano-hydroxyapatite powder using sol-gel technique. Bull Mater. Sci. 2009, 32, 465–470. [Google Scholar] [CrossRef]
- Seifzadeh, D.; Hollagh, A.R. Corrosion Resistance Enhancement of AZ91D Magnesium Alloy by Electroless Ni-Co-P Coating and Ni-Co-P-SiO2 Nanocomposite. JMEPEG 2014, 23, 4109–4121. [Google Scholar] [CrossRef]
- Munir, M.; Nazar, M.F.; Zafar, M.N.; Zubair, M.; Ashfaq, M.; Hosseini-Bandegharaei, A.; Khan, S.U.-D.; Ahmad, A. Effective Adsorptive Removal of Methylene Blue from Water by Didodecyldimethylammonium Bromide-Modified Brown Clay. ACS Omega 2020, 5, 16711–16721. [Google Scholar] [CrossRef] [PubMed]
- Martis, L.J.; Parushuram, N.; Sangappa, Y. Preparation, characterization, and methylene blue dye adsorption study of silk fibroin–graphene oxide nanocomposites. Environ. Sci. Adv. 2022, 1, 285. [Google Scholar] [CrossRef]
- Gorzin, F.; Bahri Rasht Abadi, M.M. Adsorption of Cr(VI) from aqueous solution by adsorbent prepared from paper mill sludge: Kinetics and thermodynamics studies. Adsorpt. Sci. Technol. 2018, 36, 149–169. [Google Scholar] [CrossRef]
- Yagub, M.T.; Sen, T.K.; Ang, M. Removal of cationic dye methylene blue (MB) from aqueous solution by ground raw and base modified pine cone powder. Environ. Earth Sci. 2014, 71, 1507–1519. [Google Scholar] [CrossRef]
- Zhu, Y.; Yi, B.; Yuan, Q.; Wu, Y.; Wang, M.; Yan, S. Removal of methylene blue from aqueous solution by cattle manure-derived low temperature biochar. RSC Adv. 2018, 8, 19917. [Google Scholar] [CrossRef]
- Ramutshatsha-Makhwedzha, D.; Mavhungu, A.; Moropeng, M.L.; Mbaya, R. Activated carbon derived from waste orange and lemon peels for the adsorption of methyl orange and methylene blue dyes from wastewater. Heliyon 2022, 8, e09930. [Google Scholar] [CrossRef]
- Zou, M.; Zhu, H.; Dong, M.; Zhao, T. Template Method for Synthesizing Hierarchically Porous MIL-101(Cr) for Efficient Removal of Large Molecular Dye. Materials 2022, 15, 5763. [Google Scholar] [CrossRef]
- Yimin, D.; Jiaqi, Z.; Danyang, L.; Lanli, N.; Liling, Z.; Yi, Z.; Xiaohong, Z. Preparation of Congo Red Functionalized Fe3O4@SiO2 Nanoparticle and Its Application for the Removal of Methylene Blue. Colloids Surf. A Physicochem. Eng. Asp. 2018, 550, 90–98. [Google Scholar] [CrossRef]
- Tan, X.; Lu, L.; Wang, L.; Zhang, J. Facile Synthesis of Bimodal Mesoporous Fe3O4@SiO2 Composite for Efficient Removal of Methylene Blue. Eur. J. Inorg. Chem. 2015, 2015, 2928–2933. [Google Scholar] [CrossRef]
- Hasanuddin, N.I.; Mokhtar, W.N.A.W.; Othaman, R.; Anuar, F.H. Poly(lactic acid)-poly(ethylene glycol)/Magnesium Silicate Membrane for Methylene Blue Removal: Adsorption Behavior, Mechanism, Ionic Strength and Reusability Studies. Membranes 2022, 12, 198. [Google Scholar] [CrossRef]
- Jiaqi, Z.; Yimin, D.; Danyang, L.; Shengyun, W.; Liling, Z.; Yi, Z. Synthesis of Carboxyl-Functionalized Magnetic Nanoparticle for the Removal of Methylene Blue. Colloids Surf. A Physicochem. Eng. Asp. 2019, 572, 58–66. [Google Scholar] [CrossRef]
- Qin, P.; Yang, Y.; Zhang, X.; Niu, J.; Yang, H.; Tian, S.; Zhu, J.; Lu, M. Highly Efficient, Rapid, and Simultaneous Removal of Cationic Dyes from Aqueous Solution Using Monodispersed Mesoporous Silica Nanoparticles as the Adsorbent. Nanomaterials 2018, 8, 4. [Google Scholar] [CrossRef] [PubMed]
- Almethen, A.A.; Alotaibi, K.M.; Alhumud, H.S.; Alswieleh, A.M. Highly Efficient and Rapid Removal of Methylene Blue from Aqueous Solution Using Folic Acid-Conjugated Dendritic Mesoporous Silica Nanoparticles. Processes 2022, 10, 705. [Google Scholar] [CrossRef]
- Li, Y.; Zhou, Y.; Nie, W.; Song, L.; Chen, P. Highly Efficient Methylene Blue Dyes Removal from Aqueous Systems by Chitosan Coated Magnetic Mesoporous Silica Nanoparticles. J. Porous Mater. 2015, 22, 1383–1392. [Google Scholar] [CrossRef]
- Farias, R.M.C.; Severo, L.L.; Klamczynski, A.P.; Medeiros, E.S.; Santana, L.N.L.; Neves, G.A.; Glenn, G.M.; Menezes, R.R. Solution Blow Spun Silica Nanofibers: Influence of Polymeric Additives on the Physical Properties and Dye Adsorption Capacity. Nanomaterials 2021, 11, 3135. [Google Scholar] [CrossRef] [PubMed]
- Germi, T.A.; Nematollahzadeh, A. Bimodal porous silica microspheres decorated with polydopamine nanoparticles for the adsorption of methylene blue in fixed-bed columns. J. Colloid Interface Sci. 2016, 470, 172–182. [Google Scholar] [CrossRef] [PubMed]
- Chen, D.; Zeng, Z.; Zeng, Y.; Zhang, F.; Wang, M. Removal of methylene blue and mechanism on magnetic -Fe2O3/SiO2 nanocomposite from aqueous solution. Water Resour. Ind. 2016, 15, 1–13. [Google Scholar] [CrossRef]
- Mirbagheri, R.; Elhamifar, D.; Shaker, M. Yolk–shell structured magnetic mesoporous silica: A novel and highly efficient adsorbent for removal of methylene blue. Sci. Rep. 2021, 11, 23259. [Google Scholar] [CrossRef]
- Wu, X.-L.; Shi, Y.; Zhong, S.; Lin, H.; Chen, J.-R. Facile synthesis of Fe3O4- graphene@ mesoporous SiO2 nanocomposites for efficient removal of Methylene Blue. Appl. Surf. Sci. 2016, 378, 80–86. [Google Scholar] [CrossRef]
- Kaya, G.G.; Yilmaz, E.; Deveci, H. A novel silica xerogel synthesized from volcanic tuff as an adsorbent for high-efficient removal of methylene blue: Parameter optimization using Taguchi experimental design. J. Technol. Biotechnol. 2019, 94, 2729–2737. [Google Scholar] [CrossRef]
- Ingrachen-Brahmi, D.; Belkacemi, H.; Ait Brahem-Mahtout, L. Adsorption of Methylene Blue on silica gel derived from Algerian siliceous by-product of kaolin. J. Mater. Environ. Sci. 2020, 11, 1044–1057. [Google Scholar]
- Beagan, A.M. Investigating Methylene Blue Removal from Aqueous Solution by Cysteine-Functionalized Mesoporous Silica. J. Chem. 2021, 2021, 8839864. [Google Scholar] [CrossRef]
- Chueachota, R.; Wongkhueng, S.; Khankam, K.; Lakrathok, T.; Kaewnon, A.; Naowanon, W.; Amnuaypanich, S.; Nakhowong, R. Adsorption efficiency of methylene blue from aqueous solution with amine-functionalized mesoporous silica nanospheres by co-condensation biphasic synthesis: Adsorption condition and equilibrium studies. Mater. Today Proc. 2018, 5, 14079–14085. [Google Scholar] [CrossRef]
- Ebadi, A.; Rafati. A.A. Preparation of silica mesoporous nanoparticles functionalized with β-cyclodextrin and its application for methylene blue removal. J. Mol. Liq. 2015, 209, 239–245. [Google Scholar] [CrossRef]
- Salimi, F.; Tahmasobi, K.; Karami, C.; Jahangiri, A. Preparation of Modified nano-SiO2 by Bismuth and Iron as a novel Remover of Methylene Blue from Water Solution. J. Mex. Chem. Soc. 2017, 61, 250–259. [Google Scholar] [CrossRef]
- Radoor, S.; Karayil, J.; Jayakumar, A.; Parameswaranpillai, J.; Siengchin, S. Release of toxic methylene blue from water by mesoporous silicalite-1: Characterization, kinetics and isotherm studies. Appl. Water Sci. 2021, 11, 110. [Google Scholar] [CrossRef]
- Esa, Y.A.M.; Sapawe, N. Removal of methylene blue from aqueous solution using silica nanoparticle extracted from skewer coconut leaves. Mater. Today Proc. 2020, 31, 398–401. [Google Scholar] [CrossRef]
- de Paula, F.D.C.; Effting, L.; Arízaga, G.G.C.; Giona, R.M.; Tessaro, A.L.; Bezerra, F.M.; Bail, A. Spherical mesoporous silica designed for the removal of methylene blue from water under strong acidic conditions. Environ. Technol. 2022, 43, 2278–2289. [Google Scholar] [CrossRef]
- Adeogun, A.I. Removal of methylene blue dye from aqueous solution using activated charcoal modified manganese ferrite (AC-MnFe2O4): Kinetics, isotherms, and thermodynamics studies. Part. Sci. Technol. 2020, 38, 756–767. [Google Scholar] [CrossRef]
- Pathania, D.; Sharma, S.; Singh, P. Removal of methylene blue by adsorption onto activated carbon developed from Ficus carica bast. Arab. J. Chem. 2017, 10, S1445–S1451. [Google Scholar] [CrossRef]
- Baytar, O.; Ceyhan, A.A.; Şahin, Ö. Production of activated carbon from Elaeagnus angustifolia seeds using H3PO4 activator and methylene blue and malachite green adsorption. Int. J. Phytoremediation 2021, 23, 693–703. [Google Scholar] [CrossRef] [PubMed]
- El-Sayed, G.O.; Yehia, M.M.; Asaad, A.A. Assessment of activated carbon prepared from corncob by chemical activation with phosphoric acid. Water Resour. Ind. 2014, 7, 66–75. [Google Scholar] [CrossRef]
- Thabede, P.M.; Shooto, N.D.; Naidoo, E.B. Removal of methylene blue dye and lead ions from aqueous solution using activated carbon from black cumin seeds. S. Afr. J. Chem. Eng. 2020, 33, 39–50. [Google Scholar] [CrossRef]
- Kassahun, E.; Mekuria, S.; Beyan, S.M. Specific Surface Area Enhancement of Waste Tire-Based Activated Carbon by Demineralization Technique and Adsorption of Methylene Blue. Int. J. Chem. Eng. 2022, 2022, 8198551. [Google Scholar] [CrossRef]
- IbrahimTouzani, I.; Fikri-Benbrahim, K.; Ahlafi, H.; Ihssane, B.; Boudouch, O. Characterization of Ziziphus lotus’ Activated Carbon and Evaluation of Its Adsorption Potential. J. Environ. Public Health 2022, 2022, 8502211. [Google Scholar] [CrossRef]
- Zhang, Y.; Wang, R.; Qiu, G.; Jia, W.; Guo, Y.; Guo, F.; Wu, J. Synthesis of Porous Material from Coal Gasification Fine Slag Residual Carbon and Its Application in Removal of Methylene Blue. Molecules 2021, 26, 6116. [Google Scholar] [CrossRef]
- Abdulkhair, B.Y.; Elamin, M.R. Low-Cost Carbon Nanoparticles for Removing Hazardous Organic Pollutants from Water: Complete Remediation Study and Multi-Use Investigation. Inorganics 2022, 10, 136. [Google Scholar] [CrossRef]
- Lagergren, S. About the Theory of So-Called Adsorption of Soluble Substances. K. Sven. Vetenskapsakademiens. Handl. Band 1898, 24, 527. [Google Scholar]
- Ho, Y.S.; McKay, G. The sorption of lead (II) ions on peat. Water Res. 1999, 33, 578–584. [Google Scholar] [CrossRef]











| Adsorbent Dose, mg | qe exp (mg/g) | First-Order Kinetic Parameter | Second-Order Kinetic Parameter | ||||
|---|---|---|---|---|---|---|---|
| K1 (min−1) | qe cal (mg/g) | R2 | K2 (g mg−1 min−1) | qe cal (mg/g) | R2 | ||
| 10 15 20 25 | 79.58 58.67 45.81 37.9 | −0.31 −0.77 −0.54 −0.77 | 21.38 17.78 8.79 5.32 | 0.981 0.938 0.927 0.931 | 0.069 0.11 0.26 0.35 | 80.00 55.90 46.10 39.02 | 0.996 0.970 0.999 0.999 |
| [MB], ppm | qe exp (mg/g) | First-Order Kinetic Parameter | Second-Order Kinetic Parameter | ||||
|---|---|---|---|---|---|---|---|
| K1 (min−1) | qe cal (mg/g) | R2 | K2 (g mg−1 min−1) | qe cal (mg/g) | R2 | ||
| 100 | 37.9 | −0.77 | 5.32 | 0.899 | 0.36 | 38.46 | 0.999 |
| 150 | 50.85 | −0.71 | 8.71 | 0.987 | 0.37 | 50.51 | 0.998 |
| 200 | 58.64 | −1.14 | 18.88 | 0.988 | 0.24 | 59.17 | 0.998 |
| 300 | 73.95 | −0.71 | 27.54 | 0.993 | 0.028 | 75.47 | 0.999 |
| pH | qe exp (mg/g) | Pseudo-First-Order Kinetic Parameter | Pseudo-Second-Order Kinetic Parameter | |||||
|---|---|---|---|---|---|---|---|---|
| K1 (min−1) | qe cal (mg/g) | R2 | K2 (g mg−1 min−1) | qe cal (mg/g) | R2 | |||
| 1.5 | 58.17 | −1.45 | 9.95 | 0.94 | 0.43 | 58.48 ± 0.4 | 0.999 | |
| 3 | 40.27 | −0.88 | 13.12 | 0.886 | 0.17 | 41.67 ± 1.1 | 0.999 | |
| 7 | 50.85 | −0.71 | 8.17 | 0.927 | 0.36 | 50 ± 0.7 | 0.999 | |
| 9 | 59.80 | 0.00 | 0.00 | 0.000 | −1.34 | 58.48 ± 1.5 | 0.999 | |
| 11 | 57.15 | −0.37 | 9.55 | 0.64 | 0.16 | 58.14 ± 1.3 | 0.998 | |
| T, °C | qe exp (mg/g) | First-Order Kinetic Parameter | Second-Order Kinetic Parameter | ||||
|---|---|---|---|---|---|---|---|
| K1 (min−1) | qe cal (mg/g) | R2 | K2 (g mg−1 min−1) | qe cal (mg/g) | R2 | ||
| 25 | 59.80 | 0.00 | 0.00 | 0.000 | −1.34 | 58.48 ± 0.5 | 0.999 |
| 45 | 48.41 | −0.97 | 12.88 | 0.777 | 0.22 | 50 ± 0.8 | 0.999 |
| 60 | 44.74 | −1.57 | 8.51 | 0.970 | 0.60 | 45.45 ± 0.3 | 0.999 |
| 80 | 42.51 | −2.42 | 14.13 | 0.910 | 0.35 | 43.48 ± 0.6 | 0.999 |
| Adsorbent | Langmuir Isotherm Model | Freundlich Isotherm Model | Tempkin Isotherm Model | ||||||
|---|---|---|---|---|---|---|---|---|---|
| Q° (mg/g) | b (L/mg) | R2 | n | Kf (mg/g) | R2 | B (J mol−1) | A (L mg−1) | R2 | |
| MB | 76.92 ± 0.2 | 0.092 | 0.980 | 4.76 | 4.14 | 0.980 | 4.70 | 11.40 | 0.94 |
| T (K) | MB | |
|---|---|---|
| −ΔG (KJ mol−1) | 298 | 1.982 ± 0.09 |
| 318 | 1.356 ± 0.07 | |
| 333 | 0.435 ± 0.005 | |
| 353 | −0.088 ± 0.001 | |
| −ΔH (KJ mol−1) | - | 13.56 ± 0.3 |
| −ΔS (KJ mol−1) | 0.04 ± 0.008 |
| Adsorbent | T, min | Adsorbent dose | T, °C | pH | qe, mg/g | Ref. |
|---|---|---|---|---|---|---|
| MOFs, MIL-101(Cr) | 24 h | 2.5 mg/10 mL | 25 | -- | 34.3 | [49] |
| Fe3O4@SiO2-CR | 10 | 30 mg/30 mL | 25 | 11 | 31.44 | [50] |
| Mesoporous Fe3O4@SiO2 | 5 | 1 mg/L | 25 | 7 | 33.12 | [51] |
| PLA-PEG/MgSiO3 Membrane | -- | 3 | 25 | 10 | 79% [MB] = 5.5 ppm | [52] |
| Fe3O4@SiO2-EDA-COOH | 60 | 20 mg/50 mL | 25 | 10 | 43.15 | [53] |
| Monodispersed MSNs | 6 | 5 mg/26 mL | 25 | 7 | 34.23 | [54] |
| (FA-DMSN) | 6 | 10 mg/15 mL | 25 | 7 | 90.7 | [55] |
| CMMSNs | 300 | 0.02 g/50 mL | 25 | 7 | 43.03 | [56] |
| SNFs-LMw | 360 | 5 mg/10 mL | 25 | 10 | 278.8 | [57] |
| SNFs-HMw | 240 | 123.3 | ||||
| MSM@PDA | 15 | 0.37 g | 25 | 10 | 83.8 | [58] |
| γ-Fe2O3/SiO2 | 240 | 2 g/L | 25 | 7 | 116.09 | [59] |
| Fe3O4@Void@m.SiO2 | 3 | 5 mg/15 mL | 25 | 9 | 163.93 | [60] |
| Fe3O4-graphene@mesoporous SiO2 Nanocomposites | 15 | 10 | 40 | 11 | 0.98–102.2 | [61] |
| Silica Xerogel Synthesized from Volcanic Tuff | 60 | 0.0016 g/mL | 40 | 5 | 51.967 | [62] |
| Silica gel derived from Algerian siliceous | 240 | 1 g/L | 25 | 6.3 | 80.45 | [63] |
| Cysteine-Functionalized Mesoporous Silica ((MSN-Cys) | 80 | 10 mg/10 mL | 25 | 8.5 | 140 | [64] |
| (MSN) (MSN-NH2) | 30 | 0.05 g/25 mL | -- | 11 | 2.899 1.736 | [65] |
| βCD-SNHS | 720 | 0.01 g/7 mL | 27 | 10.5 | 60.55 | [66] |
| Modified Nano-silica with Bismuth and Iron | 20 | 8 g/L | 25 | 5-6 | 9.54 | [67] |
| Mesoporous Silicalite-1 | 240 | 0.10 wt%/50 mL | 30 | 19.04 | [68] | |
| Silica Nanoparticles (SNPs) | 60 | 0.3 g/L | 30 | 7 | 31 | [69] |
| Mesoporous Silica Spheres | 20 | 15 mg/15 mL | 30 | 5-7 | 60 | [70] |
| AC-MnFe2O4 | 15 | 24 mg/L | 30 | 4 | 77.74 | [71] |
| Activated Charcoal from Ficus carica bast | 90 | 0.5 g/100 mL | 30 | 8 | 47.62 | [72] |
| Activated Carbon | 120 | 0.1 g/100 mL | 30 | 8 | 72 | [73] |
| AC1 | 45 | 2 g/L | 25 | 9 | 28.65 | [74] |
| AC2 | 120 | 17.57 | ||||
| AC3 | 120 | 0.809 | ||||
| BCC | 60 | 0.1 g/20 mL | 25 | 7 | 11.63 | [75] |
| BCAC-10 | 12.71 | |||||
| BCAC-20 | 16.85 | |||||
| DMWTAC | 30 | 200 | 20 | 8 | 53 | [76] |
| CNZL Activated Carbon | 80 | 100 | 50 | -- | 14.493 | [77] |
| GFSF | 360 | 3 g/L | 27 | 8 | 19.18 | [78] |
| Carbon Nanoparticles (TPCNPs) | 90 | 50 mg/120 mL | 20 | 5 | 98 | [79] |
| P@Si | 100 s | 25 mg/10 mL | 25 | 7 | 76.92 | This work |
Disclaimer/Publisher’s Note: The statements, opinions and data contained in all publications are solely those of the individual author(s) and contributor(s) and not of MDPI and/or the editor(s). MDPI and/or the editor(s) disclaim responsibility for any injury to people or property resulting from any ideas, methods, instructions or products referred to in the content. |
© 2023 by the authors. Licensee MDPI, Basel, Switzerland. This article is an open access article distributed under the terms and conditions of the Creative Commons Attribution (CC BY) license (https://creativecommons.org/licenses/by/4.0/).
Share and Cite
Nayl, A.A.; Abd-Elhamid, A.I.; Arafa, W.A.A.; Ahmed, I.M.; AbdEl-Rahman, A.M.E.; Soliman, H.M.A.; Abdelgawad, M.A.; Ali, H.M.; Aly, A.A.; Bräse, S. A Novel P@SiO2 Nano-Composite as Effective Adsorbent to Remove Methylene Blue Dye from Aqueous Media. Materials 2023, 16, 514. https://doi.org/10.3390/ma16020514
Nayl AA, Abd-Elhamid AI, Arafa WAA, Ahmed IM, AbdEl-Rahman AME, Soliman HMA, Abdelgawad MA, Ali HM, Aly AA, Bräse S. A Novel P@SiO2 Nano-Composite as Effective Adsorbent to Remove Methylene Blue Dye from Aqueous Media. Materials. 2023; 16(2):514. https://doi.org/10.3390/ma16020514
Chicago/Turabian StyleNayl, AbdElAziz A., Ahmed I. Abd-Elhamid, Wael A. A. Arafa, Ismail M. Ahmed, Aref M. E. AbdEl-Rahman, Hesham M. A. Soliman, Mohamed A. Abdelgawad, Hazim M. Ali, Ashraf A. Aly, and Stefan Bräse. 2023. "A Novel P@SiO2 Nano-Composite as Effective Adsorbent to Remove Methylene Blue Dye from Aqueous Media" Materials 16, no. 2: 514. https://doi.org/10.3390/ma16020514
APA StyleNayl, A. A., Abd-Elhamid, A. I., Arafa, W. A. A., Ahmed, I. M., AbdEl-Rahman, A. M. E., Soliman, H. M. A., Abdelgawad, M. A., Ali, H. M., Aly, A. A., & Bräse, S. (2023). A Novel P@SiO2 Nano-Composite as Effective Adsorbent to Remove Methylene Blue Dye from Aqueous Media. Materials, 16(2), 514. https://doi.org/10.3390/ma16020514

