Shear Strength Behaviors of Aeolian Sand Solidified by Microbially Induced Calcite Precipitation and Basalt Fiber Reinforcement
Abstract
:1. Introduction
2. Materials and Methods
2.1. Test Materials
2.2. Sample Preparation
2.3. Test Methodology
3. Results and Discussion
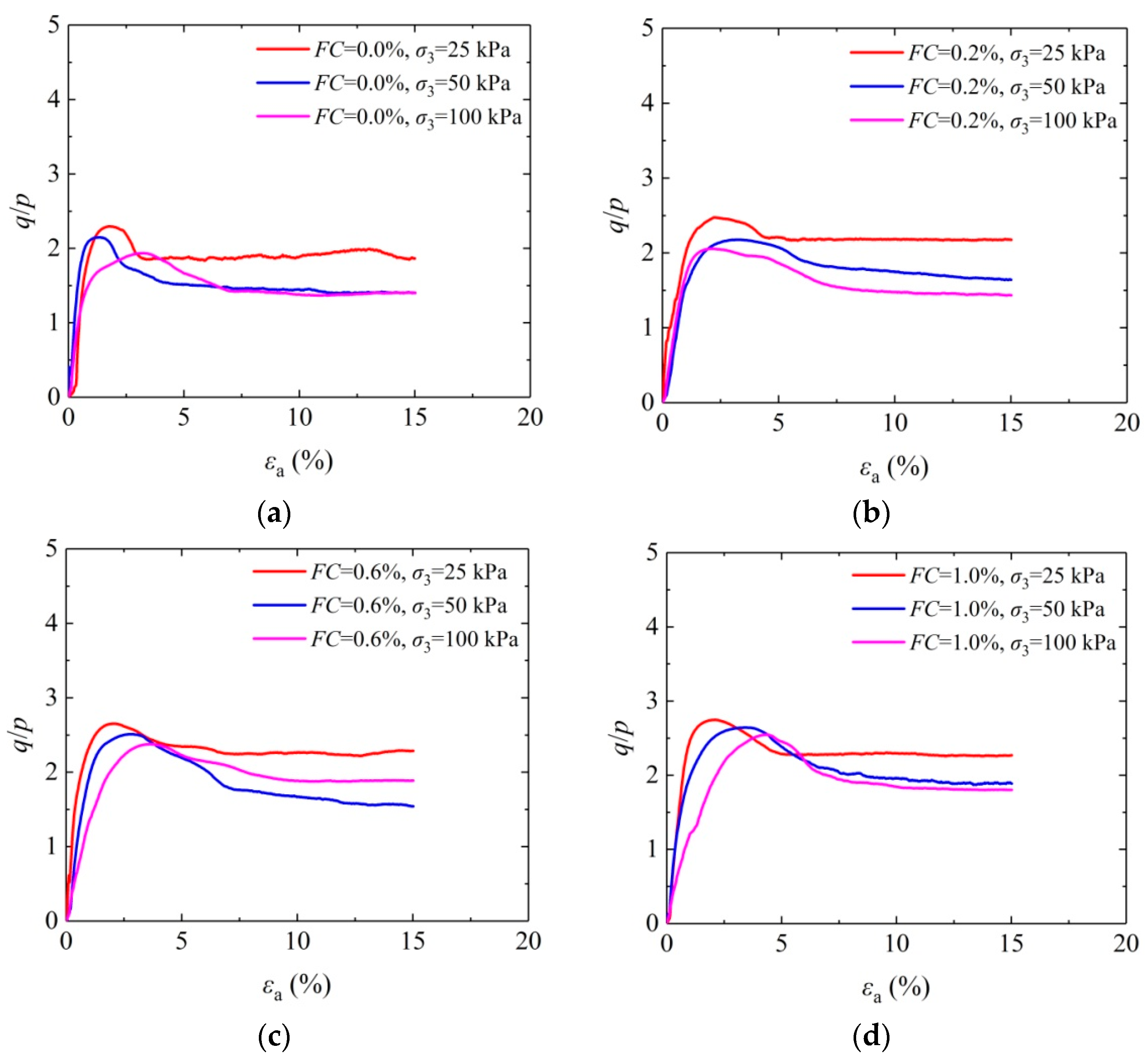
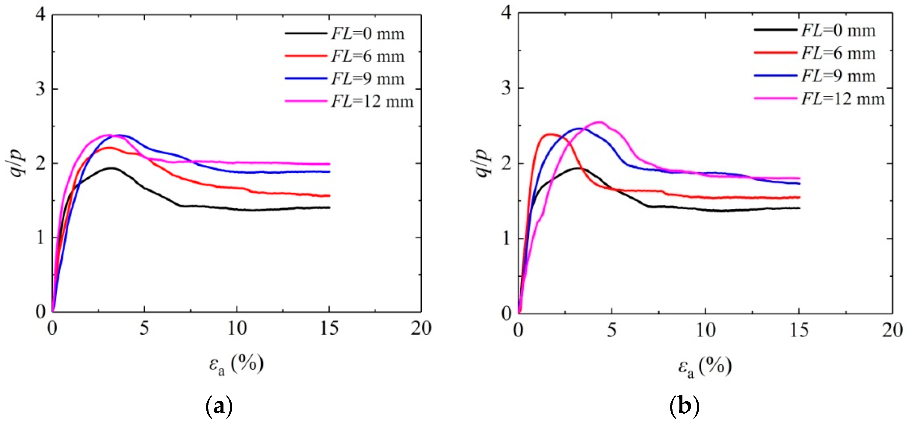
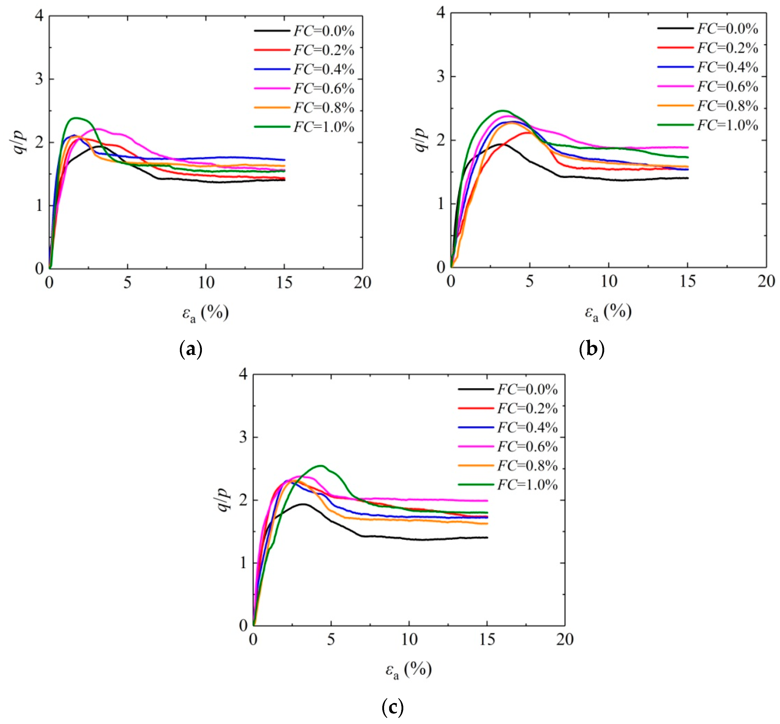
3.1. Stress–Strain Characteristic Analysis of Aeolian Sand
3.2. Peak Strength Analysis of Aeolian Sand
3.3. Brittleness Index Analysis of Aeolian Sand
3.4. Shear Strength Index Analysis of Aeolian Sand
3.5. Shear Strength Modeling of Aeolian Sand
- (a)
- Modeling
- (b)
- Parameter acquisition
- (c)
- Model verification
4. Conclusions
Author Contributions
Funding
Institutional Review Board Statement
Informed Consent Statement
Data Availability Statement
Conflicts of Interest
References
- Ta, W.Q.; Wang, H.B.; Jia, X.P. Aeolian process-induced hyper-concentrated flow in a desert watershed. J. Hydrol. 2014, 511, 220–228. [Google Scholar] [CrossRef]
- Meng, K.; Cui, C.Y.; Liang, Z.M.; Li, H.J.; Pei, H.F. A new approach for longitudinal vibration of a large-diameter floating pipe pile in visco-elastic soil considering the three-dimensional wave effects. Comput. Geotech. 2020, 128, 103840. [Google Scholar] [CrossRef]
- Cui, C.Y.; Zhang, S.P.; Chapman, D.; Meng, K. Dynamic impedance of a floating pile embedded in poro-visco-elastic soils subjected to vertical harmonic loads. Geomech. Eng. 2018, 15, 793–803. [Google Scholar]
- Cui, C.Y.; Meng, K.; Wu, Y.J.; Chapman, D.; Liang, Z.M. Dynamic response of pipe pile embedded in layered visco-elastic media with radial inhomogeneity under vertical excitation. Geomech. Eng. 2018, 16, 609–618. [Google Scholar]
- Wu, L.Y.; Miao, L.C.; Kawasaki, S.; Wang, H.X. Effects of reaction conditions on EICP-treated desert aeolian sand. KSCE J. Civ. Eng. 2022, 26, 2662–2674. [Google Scholar] [CrossRef]
- Wu, L.Y.; Miao, L.C.; Sun, X.H.; Wang, H.X. Enzyme-induced carbonate precipitation combined with polyvinyl alcohol to solidify aeolian sand. J. Mater. Civ. Eng. 2021, 33, 04021373. [Google Scholar] [CrossRef]
- Miao, L.C.; Wu, L.Y.; Sun, X.H.; Li, X.; Zhang, J.Z. Method for solidifying desert sands with enzyme-catalysed mineralization. Land Degrad. Dev. 2020, 31, 1317–1324. [Google Scholar] [CrossRef]
- Tang, C.S.; Yin, L.Y.; Jiang, N.J.; Zhu, C.; Zeng, H.; Li, H.; Shi, B. Factors affecting the performance of microbial-induced carbonate precipitation (MICP) treated soil: A review. Environ. Earth Sci. 2020, 79, 94. [Google Scholar] [CrossRef]
- Lee, M.; Gomez, M.G.; Kortbawi, M.E.; Ziotopoulou, K. Effect of light biocementation on the liquefaction triggering and post-triggering behavior of loose sands. J. Geotech. Geoenviron. Eng. 2022, 148, 04021170. [Google Scholar] [CrossRef]
- Karimian, A.; Hassanlourad, M. Mechanical behaviour of MICP-treated silty sand. Bull. Eng. Geol. Environ. 2022, 81, 285. [Google Scholar] [CrossRef]
- Festugato, L.; Gálvez, J.H.F.; Miguel, G.D.; Consoli, N.C. Cyclic response of fibre reinforced dense sand. Transp. Geotech. 2022, 37, 100811. [Google Scholar] [CrossRef]
- Choo, H.; Yoon, B.; Lee, W.; Lee, C. Evaluation of compressibility and small strain stiffness characteristics of sand reinforced with discrete synthetic fibers. Geotext. Geomembr. 2017, 45, 331–338. [Google Scholar] [CrossRef]
- Eldesouky, H.M.; Morsy, M.M.; Mansour, M.F. Fiber-reinforced sand strength and dilation characteristics. Ain Shams Eng. J. 2016, 7, 517–526. [Google Scholar] [CrossRef]
- Lovisa, J.; Shukla, S.K.; Sivakugan, N. Shear strength of randomly distributed moist fibre-reinforced sand. Geosynth. Int. 2010, 17, 100–106. [Google Scholar] [CrossRef]
- Zheng, J.J.; Song, Y.; Wu, C.C.; Cui, M.J. Study on evaluation method of brittleness of MICP treated sand with low cementation level. J. Huazhong Univ. Sci. Technol. 2020, 48, 96–101. [Google Scholar]
- Qiu, R.K.; Tong, H.W.; Gu, M.X.; Yuan, J. Strength and micromechanism analysis of microbial solidified sand with carbon fiber. Adv. Civ. Eng. 2020, 2020, 8876617. [Google Scholar] [CrossRef]
- Imran, M.A.; Nakashima, K.; Evelpidou, N.; Kawasaki, S. Durability improvement of biocemented sand by fiber-reinforced MICP for coastal erosion protection. Materials 2022, 15, 2389. [Google Scholar] [CrossRef] [PubMed]
- Imran, M.A.; Gowthaman, S.; Nakashima, K.; Kawasaki, S. The influence of the addition of plant-based natural fibers (jute) on biocemented sand using MICP method. Materials 2020, 13, 4198. [Google Scholar] [CrossRef] [PubMed]
- Wang, D.L.; Tang, C.S.; Pan, X.H.; Liu, B.; Li, H.; Lyu, C.; Cheng, Y.J. Tensile strength of fiber-reinforced Micp-treated calcareous sand. Geol. J. China Univ. 2021, 27, 670–678. [Google Scholar]
- Tang, C.S.; Li, H.; Pan, X.H.; Yin, L.Y.; Cheng, L.; Cheng, Q.; Liu, B.; Shi, B. Coupling effect of biocementation-fiber reinforcement on mechanical behavior of calcareous sand for ocean engineering. Bull. Eng. Geol. Environ. 2022, 81, 163. [Google Scholar] [CrossRef]
- Choi, S.G.; Hoang, T.; Alleman, E.J.; Chu, J. Splitting tensile strength of fiber-reinforced and biocemented sand. J. Mater. Civ. Eng. 2019, 31, 06019007. [Google Scholar] [CrossRef]
- Choi, S.G.; Wang, K.J.; Chu, J. Properties of biocemented, fiber reinforced sand. Constr. Build. Mater. 2016, 120, 623–629. [Google Scholar] [CrossRef]
- Xiao, Y.; He, X.; Evans, T.M.; Stuedlein, A.W.; Liu, H.L. Unconfined compressive and splitting tensile strength of basalt fiber-reinforced biocemented sand. J. Geotech. Geoenviron. Eng. 2019, 145, 04019048. [Google Scholar] [CrossRef]
- Zhao, C.; Zhang, J.X.; Zhang, Y.; He, X.; Ma, G.L. Research progress on multi-scale biocemented soil. J. Beijing Univ. Technol. 2021, 47, 792–801. [Google Scholar]
- Yin, L.Y.; Tang, C.S.; Zhang, L. Experimental study on mechanical behavior of MICP-fiber reinforce treated calcareous sand. Geol. J. China Univ. 2021, 27, 679–686. [Google Scholar]
- Liu, S.H.; Wen, K.J.; Armwood, C.; Bu, C.M.; Li, C.; Amini, F.; Li, L. Enhancement of MICP-treated sandy soils against environmental deterioration. J. Mater. Civ. Eng. 2019, 31, 04019294. [Google Scholar] [CrossRef]
- Zhao, Y.; Xiao, Z.Y.; Fan, C.B.; Shen, W.Q.; Wang, Q.; Liu, P.H. Comparative mechanical behaviors of four fiber-reinforced sand cemented by microbially induced carbonate precipitation. Bull. Eng. Geol. Environ. 2020, 79, 3075–3086. [Google Scholar] [CrossRef]
- Li, M.D.; Li, L.; Ogbonnaya, U.; Wen, K.J.; Tian, A.G.; Amini, F. Influence of fiber addition on mechanical properties of MICP-treated sand. J. Mater. Civ. Eng. 2016, 28, 04015166. [Google Scholar] [CrossRef]
- Zhao, J.T.; Tong, H.W.; Shan, Y.; Yuan, J.; Peng, Q.W.; Liang, J.L. Effects of different types of fibers on the physical and mechanical properties of MICP-treated calcareous sand. Materials 2021, 14, 268. [Google Scholar] [CrossRef]
- Cheng, G.; Wang, S.J.; Li, X.; Shen, T.Y.; Xu, C. Experimental study on bio-cemented solidification fiber-reinforced sandy clayey purple soil. Chin. J. Undergr. Space Eng. 2021, 17, 1829–1838. [Google Scholar]
- Lv, C.; Zhu, C.; Tang, C.S.; Cheng, Q.; Yin, L.Y.; Shi, B. Effect of fiber reinforcement on the mechanical behavior of bio-cemented sand. Geosynth. Int. 2021, 28, 195–205. [Google Scholar] [CrossRef]
- Jiang, Z.; Peng, J.; Xu, P.X.; Wei, R.J.; Li, L.L. High strength test study on coral sand reinforced by microbe and fiber. J. Civ. Environ. Eng. 2022. [Google Scholar]
- Li, H.; Tang, C.S.; Yin, L.Y.; Liu, B.; Lv, C.; Wang, D.L.; Pan, X.H.; Wang, H.L.; Shi, B. Experimental study on surface erosion resistances and mechanical behavior of MICP-FR-treated calcareous sand. Chin. J. Geotech. Eng. 2021, 43, 1941–1949. [Google Scholar]
- Yao, D.F.; Wu, J.; Wang, G.W.; Wang, P.B.; Zheng, J.J.; Yan, J.Y.; Xu, L.; Yan, Y.J. Effect of wool fiber addition on the reinforcement of loose sands by microbially induced carbonate precipitation (MICP): Mechanical property and underlying mechanism. Acta Geotech. 2021, 16, 1401–1416. [Google Scholar] [CrossRef]
- Spencer, C.A.; van Paassen, L.; Sass, H. Effect of jute fibres on the process of MICP and properties of biocemented sand. Materials 2020, 13, 5429. [Google Scholar] [CrossRef]
- Fang, X.W.; Yang, Y.; Chen, Z.; Liu, H.L.; Xiao, Y.; Shen, C.N. Influence of fiber content and length on engineering properties of MICP-treated coral sand. Geomicrobiol. J. 2020, 37, 582–594. [Google Scholar] [CrossRef]
- Lei, X.W.; Lin, S.Q.; Meng, Q.S.; Liao, X.H.; Xu, J.P. Influence of different fiber types on properties of biocemented calcareous sand. Arab. J. Geosci. 2020, 13, 317. [Google Scholar] [CrossRef]
- Dikshit, R.; Dey, A.; Gupta, N.; Varma, S.C.; Venugopal, I.; Viswanathan, K.; Kumar, A. Space bricks: From LSS to machinable structures via MICP. Ceram. Int. 2021, 47, 14892–14898. [Google Scholar] [CrossRef]
- Espinal, M.; Kane, S.; Ryan, C.; Phillips, A.; Heveran, C. Evaluation of the bonding properties between low-value plastic fibers treated with microbially-induced calcium carbonate precipitation and cement mortar. Constr. Build. Mater. 2022, 357, 129331. [Google Scholar] [CrossRef]
- Chen, M.Q.; Gowthaman, S.; Nakashima, K.; Kawasaki, S. Evaluating mechanical strength of peat soil treated by fiber incorporated bio-cementation. Int. J. Geomate 2021, 20, 121–127. [Google Scholar] [CrossRef]
- G/BT 50123-2019; Standard for Geotechnical Testing Method. Construction Ministry of PRC: Beijing, China, 2019.
- Zhang, J.L.; Yang, Z.Y.; Yang, Q.; Yang, G.; Li, G.; Liu, J. Liquefaction behavior of fiber-reinforced sand based on cyclic triaxial tests. Geosynth. Int. 2021, 28, 316–326. [Google Scholar] [CrossRef]
- Zheng, J.J.; Song, Y.; Wu, C.C.; Cui, M.J. Experimental study on mechanical properties of basalt fiber reinforced MICP-treated sand. J. Huazhong Univ. Sci. Technol. 2019, 47, 73–78. [Google Scholar]
- Consoli, N.C.; Prietto, P.D.M.; Ulbrich, L.A. Influence of fiber and cement addition on behavior of sandy soil. J. Geotech. Geoenviron. Eng. 1998, 124, 1211–1214. [Google Scholar] [CrossRef]
- Liu, S.H.; Du, K.; Huang, W.; Wen, K.J.; Amini, F.; Li, L. Improvement of erosion-resistance of bio-bricks through fiber and multiple MICP treatments. Constr. Build. Mater. 2021, 271, 121573. [Google Scholar] [CrossRef]









| Gs | ρdmax (g/cm3) | ρdmin (g/cm3) | d10 (mm) | d30 (mm) | d60 (mm) | Cu | Cc |
|---|---|---|---|---|---|---|---|
| 2.65 | 1.85 | 1.47 | 0.073 | 0.109 | 0.187 | 2.58 | 0.88 |
| σ3 (kPa) | ρd (g/cm3) | Cementation Number | Fiber Length (mm) | Fiber Content (%) |
|---|---|---|---|---|
| 25, 50, 100 | 1.6 | 12 | 0 | 0.0 |
| 6 | 0.2, 0.4, 0.6, 0.8, 1.0 | |||
| 9 | 0.2, 0.4, 0.6, 0.8, 1.0 | |||
| 12 | 0.2, 0.4, 0.6, 0.8, 1.0 |
| ρd (g/cm3) | FL (mm) | FC (%) | σ3 (kPa) | qpeak (kPa) | ρd (g/cm3) | FL (mm) | FC (%) | σ3 (kPa) | qpeak (kPa) |
|---|---|---|---|---|---|---|---|---|---|
| 1.6 | 0 | 0 | 25 | 244.88 | 1.6 | 9 | 0.4 | 50 | 632.78 |
| 1.6 | 0 | 0 | 50 | 378.42 | 1.6 | 9 | 0.6 | 50 | 771.66 |
| 1.6 | 0 | 0 | 100 | 544.47 | 1.6 | 9 | 0.8 | 50 | 801.90 |
| 1.6 | 6 | 0.2 | 25 | 352.88 | 1.6 | 9 | 1 | 50 | 955.50 |
| 1.6 | 6 | 0.4 | 25 | 407.66 | 1.6 | 9 | 0.2 | 100 | 717.99 |
| 1.6 | 6 | 0.6 | 25 | 439.31 | 1.6 | 9 | 0.4 | 100 | 966.64 |
| 1.6 | 6 | 0.8 | 25 | 537.99 | 1.6 | 9 | 0.6 | 100 | 1143.91 |
| 1.6 | 6 | 1 | 25 | 768.08 | 1.6 | 9 | 0.8 | 100 | 1245.31 |
| 1.6 | 6 | 0.2 | 50 | 397.13 | 1.6 | 9 | 1 | 100 | 1371.56 |
| 1.6 | 6 | 0.4 | 50 | 559.23 | 1.6 | 12 | 0.2 | 25 | 479.07 |
| 1.6 | 6 | 0.6 | 50 | 617.57 | 1.6 | 12 | 0.4 | 25 | 514.14 |
| 1.6 | 6 | 0.8 | 50 | 778.40 | 1.6 | 12 | 0.6 | 25 | 621.37 |
| 1.6 | 6 | 1 | 50 | 948.27 | 1.6 | 12 | 0.8 | 25 | 719.14 |
| 1.6 | 6 | 0.2 | 100 | 653.56 | 1.6 | 12 | 1 | 25 | 815.87 |
| 1.6 | 6 | 0.4 | 100 | 716.04 | 1.6 | 12 | 0.2 | 50 | 717.95 |
| 1.6 | 6 | 0.6 | 100 | 839.50 | 1.6 | 12 | 0.4 | 50 | 737.18 |
| 1.6 | 6 | 0.8 | 100 | 923.63 | 1.6 | 12 | 0.6 | 50 | 810.20 |
| 1.6 | 6 | 1 | 100 | 1162.48 | 1.6 | 12 | 0.8 | 50 | 805.25 |
| 1.6 | 9 | 0.2 | 25 | 443.51 | 1.6 | 12 | 1 | 50 | 1109.99 |
| 1.6 | 9 | 0.4 | 25 | 498.83 | 1.6 | 12 | 0.2 | 100 | 997.53 |
| 1.6 | 9 | 0.6 | 25 | 570.62 | 1.6 | 12 | 0.4 | 100 | 1004.83 |
| 1.6 | 9 | 0.8 | 25 | 672.12 | 1.6 | 12 | 0.6 | 100 | 1150.24 |
| 1.6 | 9 | 1 | 25 | 798.11 | 1.6 | 12 | 0.8 | 100 | 1342.59 |
| 1.6 | 9 | 0.2 | 50 | 608.92 | 1.6 | 12 | 1 | 100 | 1682.75 |
| ρd (g/cm3) | FL (mm) | FC (%) | c (kPa) | φ (o) |
|---|---|---|---|---|
| 1.6 | 0 | 0 | 41.60 | 39.20 |
| 6 | 0.2 | 54.28 | 40.44 | |
| 6 | 0.4 | 75.83 | 41.35 | |
| 6 | 0.6 | 84.82 | 43.96 | |
| 6 | 0.8 | 92.87 | 45.26 | |
| 6 | 1.0 | 133.22 | 45.51 | |
| 9 | 0.2 | 73.33 | 43.67 | |
| 9 | 0.4 | 83.41 | 45.24 | |
| 9 | 0.6 | 111.29 | 45.97 | |
| 9 | 0.8 | 116.86 | 46.64 | |
| 9 | 1.0 | 136.32 | 47.84 | |
| 12 | 0.2 | 88.84 | 44.86 | |
| 12 | 0.4 | 96.13 | 46.01 | |
| 12 | 0.6 | 114.86 | 47.71 | |
| 12 | 0.8 | 124.06 | 48.71 | |
| 12 | 1.0 | 173.38 | 49.88 |
Disclaimer/Publisher’s Note: The statements, opinions and data contained in all publications are solely those of the individual author(s) and contributor(s) and not of MDPI and/or the editor(s). MDPI and/or the editor(s) disclaim responsibility for any injury to people or property resulting from any ideas, methods, instructions or products referred to in the content. |
© 2023 by the authors. Licensee MDPI, Basel, Switzerland. This article is an open access article distributed under the terms and conditions of the Creative Commons Attribution (CC BY) license (https://creativecommons.org/licenses/by/4.0/).
Share and Cite
Li, G.; Liu, J.; Zhang, J.; Yang, Y.; Chen, S. Shear Strength Behaviors of Aeolian Sand Solidified by Microbially Induced Calcite Precipitation and Basalt Fiber Reinforcement. Materials 2023, 16, 5857. https://doi.org/10.3390/ma16175857
Li G, Liu J, Zhang J, Yang Y, Chen S. Shear Strength Behaviors of Aeolian Sand Solidified by Microbially Induced Calcite Precipitation and Basalt Fiber Reinforcement. Materials. 2023; 16(17):5857. https://doi.org/10.3390/ma16175857
Chicago/Turabian StyleLi, Gang, Jia Liu, Jinli Zhang, Yiran Yang, and Shufeng Chen. 2023. "Shear Strength Behaviors of Aeolian Sand Solidified by Microbially Induced Calcite Precipitation and Basalt Fiber Reinforcement" Materials 16, no. 17: 5857. https://doi.org/10.3390/ma16175857
APA StyleLi, G., Liu, J., Zhang, J., Yang, Y., & Chen, S. (2023). Shear Strength Behaviors of Aeolian Sand Solidified by Microbially Induced Calcite Precipitation and Basalt Fiber Reinforcement. Materials, 16(17), 5857. https://doi.org/10.3390/ma16175857

