Photocatalytic Performance of Sol-Gel Prepared TiO2 Thin Films Annealed at Various Temperatures
Abstract
1. Introduction
2. Sample Preparation
3. Experimental Methods
3.1. Spectroscopic Ellipsometry (SE)
3.2. Atomic Force Microscopy (AFM)
3.3. X-ray Diffractometry (XRD)
3.4. UV Raman Spectroscopy
3.5. In Situ Fourier Transform Infrared Spectroscopy (FT-IR)
4. Quantitative Analysis of the Photocatalytic TiO2 Thin Films
4.1. Optical Properties and Film Thickness
4.2. Surface Morphology
4.2.1. Surface Roughness
4.2.2. Grain Size
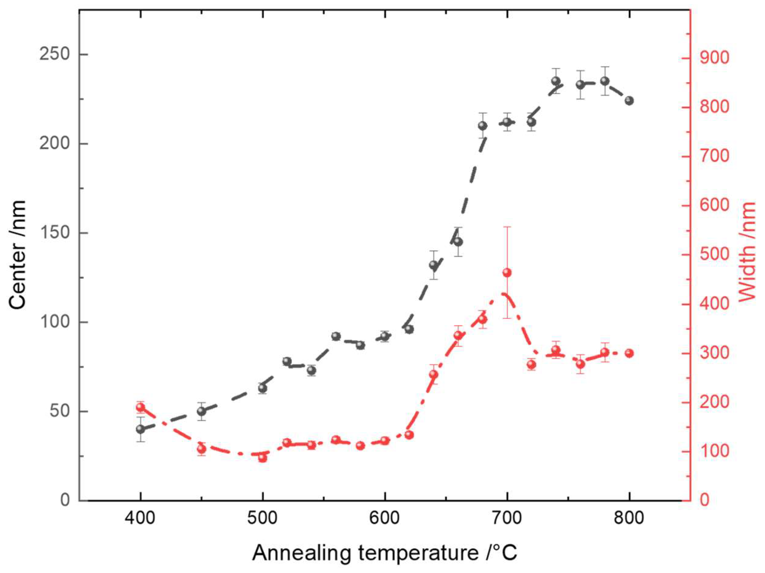
4.3. Crystal Structure and Phase Analysis
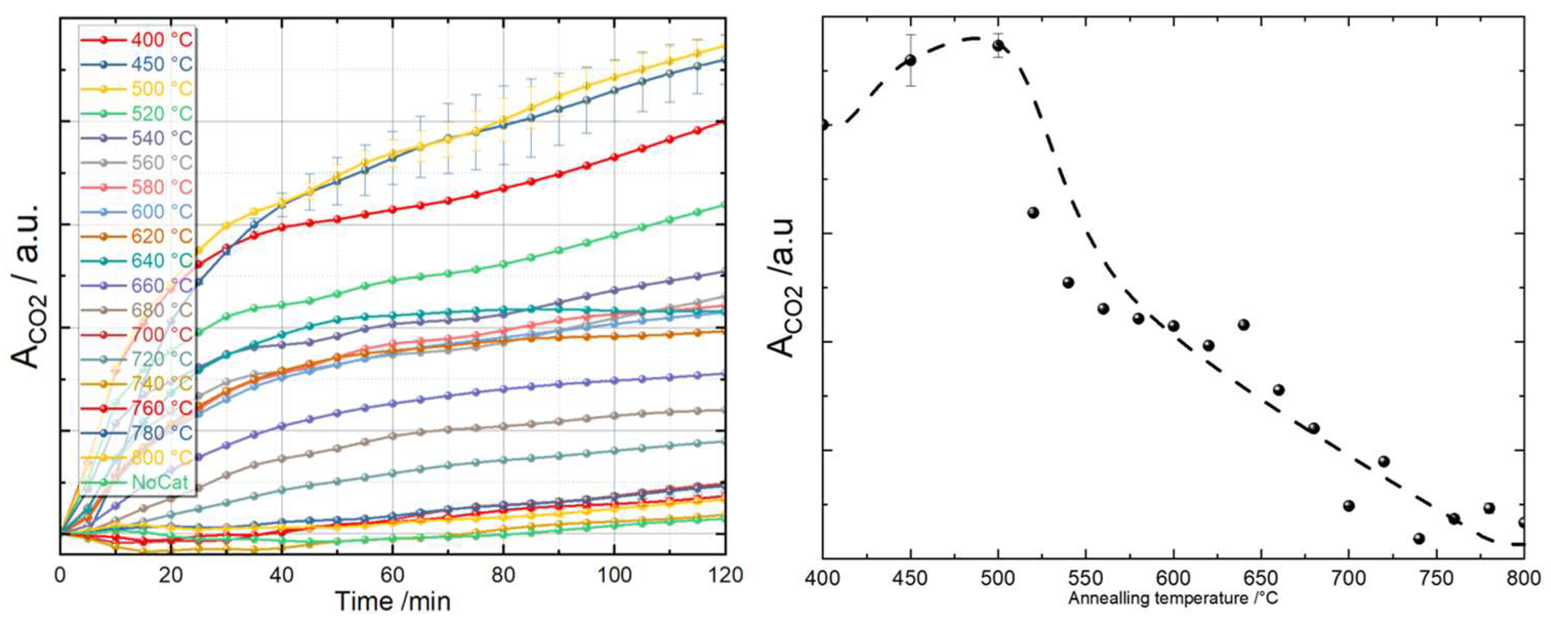
5. Photocatalytic Activity
6. Correlation Matrix
7. Conclusions
Supplementary Materials
Author Contributions
Funding
Institutional Review Board Statement
Informed Consent Statement
Data Availability Statement
Acknowledgments
Conflicts of Interest
References
- Pérez-Jiménez, L.E.; Solis-Cortazar, J.C.; Rojas-Blanco, L.; Perez-Hernandez, G.; Martinez, O.S.; Palomera, R.C.; Paraguay-Delgado, F.; Zamudio-Torres, I.; Morales, E.R. Enhancement of optoelectronic properties of TiO2 films containing Pt nanoparticles. Results Phys. 2019, 12, 1680–1685. [Google Scholar] [CrossRef]
- Lai, Y.; Tang, Y.; Gong, J.; Gong, D.; Chi, L.; Lin, C.; Chen, Z. Transparent superhydrophobic/superhydrophilic TiO2-based coatings for self-cleaning and anti-fogging. J. Mater. Chem. 2012, 22, 7420. [Google Scholar] [CrossRef]
- Padmanabhan, N.T.; John, H. Titanium dioxide based self-cleaning smart surfaces: A short review. J. Environ. Chem. Eng. 2020, 8, 104211. [Google Scholar] [CrossRef]
- Stefanov, B. Photocatalytic TiO2 Thin Films for Air Cleaning: Effect of Facet Orientation, Chemical Functionalization, and Reaction Conditions; Acta Universitatis Upsaliensis: Uppsala, Sweden, 2015; Volume 1307. [Google Scholar]
- Zhong, H.; Liu, X.; Yu, B.; Zhou, S. Fast UV-Curable Zwitter-Wettable Coatings with Reliable Antifogging/Frost-Resisting Performances. Biomimetics 2022, 7, 162. [Google Scholar] [CrossRef] [PubMed]
- Guo, F.; Pan, F.; Zhang, W.; Liu, T.; Zuber, F.; Zhang, X.; Yu, Y.; Zhang, R.; Niederberger, M.; Ren, Q. Robust Antibacterial Activity of Xanthan-Gum-Stabilized and Patterned CeO2-x-TiO2 Antifog Films. ACS Appl. Mater. Interfaces 2022, 14, 44158–44172. [Google Scholar] [CrossRef] [PubMed]
- Chemin, J.-B.; Bulou, S.; Baba, K.; Fontaine, C.; Sindzingre, T.; Boscher, N.D.; Choquet, P. Transparent anti-fogging and self-cleaning TiO2/SiO2 thin films on polymer substrates using atmospheric plasma. Sci. Rep. 2018, 8, 9603. [Google Scholar] [CrossRef]
- Sathasivam, K.; Wang, M.-Y.; Anbalagan, A.k.; Lee, C.-H.; Yeh, T.-K. Novel photocatalytic coating for corrosion mitigation in 304LSS of dry storage canisters. Front. Mater. 2023, 10, 1129886. [Google Scholar] [CrossRef]
- Smerchit, T.; Thongprong, N.; Ruengsrisang, W.; Adam, I.M.; Soe, K.T.; Thansamai, S.; Chanlek, N.; Nakajima, H.; Supruangnet, R.; Saetang, V.; et al. Combined Experimental and Simulation Studies of Lithium and Cobalt-Modified TiO2 and Their Impacts on the Performance and Stability of Perovskite Solar Cells. Adv. Mater. Inter. 2022, 9, 2201632. [Google Scholar] [CrossRef]
- Qin, J.; Zhang, Z.; Shi, W.; Liu, Y.; Gao, H.; Mao, Y. The optimum titanium precursor of fabricating TiO2 compact layer for perovskite solar cells. Nanoscale Res. Lett. 2017, 12, 640. [Google Scholar] [CrossRef]
- Johansson, W.; Peralta, A.; Jonson, B.; Anand, S.; Österlund, L.; Karlsson, S. Transparent TiO2 and ZnO Thin Films on Glass for UV Protection of PV Modules. Front. Mater. 2019, 6, 259. [Google Scholar] [CrossRef]
- Huang, Q.; Liang, Z.; Qi, F.; Zhang, N.; Yang, J.; Liu, J.; Tian, C.; Fu, C.; Tang, X.; Wu, D.; et al. Carbon Dioxide Conversion Synergistically Activated by Dielectric Barrier Discharge Plasma and the CsPbBr3@TiO2 Photocatalyst. J. Phys. Chem. Lett. 2022, 13, 2418–2427. [Google Scholar] [CrossRef] [PubMed]
- Alghamdi, Y.G.; Krishnakumar, B.; Malik, M.A.; Alhayyani, S. Design and Preparation of Biomass-Derived Activated Carbon Loaded TiO2 Photocatalyst for Photocatalytic Degradation of Reactive Red 120 and Ofloxacin. Polymers 2022, 14, 880. [Google Scholar] [CrossRef] [PubMed]
- Bootluck, W.; Chittrakarn, T.; Techato, K.; Jutaporn, P.; Khongnakorn, W. S-Scheme α-Fe2O3/TiO2 Photocatalyst with Pd Cocatalyst for Enhanced Photocatalytic H2 Production Activity and Stability. Catal. Lett. 2022, 152, 2590–2606. [Google Scholar] [CrossRef]
- Mehmandoust, M.; Çakar, S.; Özacar, M.; Salmanpour, S.; Erk, N. Electrochemical Sensor for Facile and Highly Selective Determination of Antineoplastic Agent in Real Samples Using Glassy Carbon Electrode Modified by 2D-MoS2 NFs/TiO2 NPs. Top. Catal. 2022, 65, 564–576. [Google Scholar] [CrossRef]
- Nasehi, P.; Moghaddam, M.S.; Rezaei-savadkouhi, N.; Alizadeh, M.; Yazdani, M.N.; Agheli, H. Monitoring of Bisphenol A in water and soft drink products using electrochemical sensor amplified with TiO2-SWCNTs and ionic liquid. Food Meas. 2022, 16, 2440–2445. [Google Scholar] [CrossRef]
- Doubi, Y.; Hartiti, B.; Siadat, M.; Labrim, H.; Fadili, S.; Stitou, M.; Tahri, M.; Belfhaili, A.; Thevenin, P.; Losson, E. Optimization with Taguchi Approach to Prepare Pure TiO2 Thin Films for Future Gas Sensor Application. J. Electron. Mater. 2022, 51, 3671–3683. [Google Scholar] [CrossRef]
- Liu, W.; Duan, W.; Jia, L.; Wang, S.; Guo, Y.; Zhang, G.; Zhu, B.; Huang, W.; Zhang, S. Surface Plasmon-Enhanced Photoelectrochemical Sensor Based on Au Modified TiO2 Nanotubes. Nanomaterials 2022, 12, 2058. [Google Scholar] [CrossRef]
- Zhang, W.; Liu, Y.; Song, Z.; Yang, F. Amorphous TiO2 nanotube arrays with Au nanocrystals for lithium-ion battery. Int. J. Energy Res. 2022, 46, 7578–7589. [Google Scholar] [CrossRef]
- Gao, X.; Sheng, L.; Li, M.; Xie, X.; Yang, L.; Gong, Y.; Cao, M.; Bai, Y.; Dong, H.; Liu, G.; et al. Flame-Retardant Nano-TiO2 /Polyimide Composite Separator for the Safety of a Lithium-Ion Battery. ACS Appl. Polym. Mater. 2022, 4, 5125–5133. [Google Scholar] [CrossRef]
- Zhao, Z.; Jiang, X.; Li, S.; Li, L.; Feng, Z.; Lai, H. Microstructure Characterization and Battery Performance Comparison of MOF-235 and TiO2-P25 Materials. Crystals 2022, 12, 152. [Google Scholar] [CrossRef]
- Jiang, J.; Ou, Y.; Jiang, Y.; Hu, X.; Xing, C.; Liu, S.; Liu, X.; Li, W.; Zhao, B. Preparation of SiOx–TiO2/Si/CNTs composite microspheres as novel anodes for lithium-ion battery with good cycle stability. J. Mater. Sci. Mater. Electron. 2022, 33, 11025–11037. [Google Scholar] [CrossRef]
- Afzal, A.; Habib, A.; Ulhasan, I.; Shahid, M.; Rehman, A. Antireflective Self-Cleaning TiO2 Coatings for Solar Energy Harvesting Applications. Front. Mater. 2021, 8, 687059. [Google Scholar] [CrossRef]
- Noor, S.; Sajjad, S.; Leghari, S.A.K.; Long, M. Energy harvesting for electrochemical OER and solar photocatalysis via dual functional GO/TiO2-NiO nanocomposite. J. Clean. Prod. 2020, 277, 123280. [Google Scholar] [CrossRef]
- Garofalo, E.; Cecchini, L.; Bevione, M.; Chiolerio, A. Triboelectric Characterization of Colloidal TiO2 for Energy Harvesting Applications. Nanomaterials 2020, 10, 1181. [Google Scholar] [CrossRef]
- Bashiri, R.; Mohamed, N.M.; Kait, C.F. Advancement of Sol-Gel–Prepared TiO2 Photocatalyst. In Recent Applications in Sol-Gel Synthesis; Chandra, U., Ed.; InTech: Singapore, 2017; ISBN 978-953-51-3245-5. [Google Scholar]
- Bessergenev, V.G.; Mateus, M.C.; do Rego, A.B.; Hantusch, M.; Burkel, E. An improvement of photocatalytic activity of TiO2 Degussa P25 powder. Appl. Catal. A Gen. 2015, 500, 40–50. [Google Scholar] [CrossRef]
- Rui, Z.; Wu, S.; Peng, C.; Ji, H. Comparison of TiO2 Degussa P25 with anatase and rutile crystalline phases for methane combustion. Chem. Eng. J. 2014, 243, 254–264. [Google Scholar] [CrossRef]
- Wang, G.; Xu, L.; Zhang, J.; Yin, T.; Han, D. Enhanced Photocatalytic Activity of Powders (P25) via Calcination Treatment. Int. J. Photoenergy 2012, 2012, 265760. [Google Scholar] [CrossRef]
- Yu, J.; Yu, H.; Cheng, B.; Zhou, M.; Zhao, X. Enhanced photocatalytic activity of TiO2 powder (P25) by hydrothermal treatment. J. Mol. Catal. A Chem. 2006, 253, 112–118. [Google Scholar] [CrossRef]
- Deiana, C.; Fois, E.; Coluccia, S.; Martra, G. Surface Structure of TiO2 P25 Nanoparticles: Infrared Study of Hydroxy Groups on Coordinative Defect Sites. J. Phys. Chem. C 2010, 114, 21531–21538. [Google Scholar] [CrossRef]
- Abbas, M. Adsorption of methyl green (MG) in aqueous solution by titanium dioxide (TiO2): Kinetics and thermodynamic study. Nanotechnol. Environ. Eng. 2022, 7, 713–724. [Google Scholar] [CrossRef]
- Mokhtar, B.; Ahmed, A.Y.; Kandiel, T.A. Revisiting the mechanisms of nitrite ions and ammonia removal from aqueous solutions: Photolysis versus photocatalysis. Photochem. Photobiol. Sci. 2022, 21, 1833–1843. [Google Scholar] [CrossRef]
- Liu, S.; Wang, S.; Lei, C.; Li, R.; Feng, S.; Jin, Q. Study of the efficiency of g-C3N4-loaded P25 for photocatalytic degradation of malachite green in aqueous and Pickering emulsion systems. J. Mater. Sci. Mater. Electron. 2022, 33, 5846–5858. [Google Scholar] [CrossRef]
- Qutub, N.; Singh, P.; Sabir, S.; Sagadevan, S.; Oh, W.-C. Enhanced photocatalytic degradation of Acid Blue dye using CdS/TiO2 nanocomposite. Sci. Rep. 2022, 12, 5759. [Google Scholar] [CrossRef]
- Ahmad, M.; Abbas, G.; Tanveer, M.; Zubair, M. ZnO and TiO2 Assisted Photocatalytic Degradation of Butachlor in Aqueous Solution under Visible Light. Eng. Proc. 2021, 12, 77. [Google Scholar]
- Biran Ay, S.; Kosku Perkgoz, N. Nanotechnological Advances in Catalytic Thin Films for Green Large-Area Surfaces. J. Nanomater. 2015, 2015, 257547. [Google Scholar] [CrossRef]
- Pore, V.; Rahtu, A.; Leskelä, M.; Ritala, M.; Sajavaara, T.; Keinonen, J. Atomic Layer Deposition of Photocatalytic TiO2 Thin Films from Titanium Tetramethoxide and Water. Chem. Vap. Depos. 2004, 10, 143–148. [Google Scholar] [CrossRef]
- Materion. Photocatalytic Thin Film Materials and Applications. Available online: https://materion.com/-/media/files/advanced-materials-group/me/technicalpapers/photocatalytic-thin-film_all.pdf (accessed on 30 July 2023).
- Blanco, E.; González-Leal, J.M.; Ramírez-del Solar, M. Photocatalytic TiO2 sol–gel thin films: Optical and morphological characterization. Sol. Energy 2015, 122, 11–23. [Google Scholar] [CrossRef]
- Shwetharani, R.; Chandan, H.R.; Sakar, M.; Balakrishna, G.R.; Reddy, K.R.; Raghu, A.V. Photocatalytic semiconductor thin films for hydrogen production and environmental applications. Int. J. Hydrogen Energy 2020, 45, 18289–18308. [Google Scholar] [CrossRef]
- Pozos, H.G.; Krishna, K.T.V.; de La Luz Olvera Amador, M.; Kudriavtsev, Y.; Alvarez, A.M. TiO2 thin film based gas sensors for CO-detection. J. Mater. Sci. Mater. Electron. 2018, 29, 15829–15837. [Google Scholar] [CrossRef]
- Angulo-Ibáñez, A.; Goitandia, A.M.; Albo, J.; Aranzabe, E.; Beobide, G.; Castillo, O.; Pérez-Yáñez, S. Porous TiO2 thin film-based photocatalytic windows for an enhanced operation of optofluidic microreactors in CO2 conversion. iScience 2021, 24, 102654. [Google Scholar] [CrossRef]
- Obregón, S.; Rodríguez-González, V. Photocatalytic TiO2 thin films and coatings prepared by sol–gel processing: A brief review. J. Sol-Gel Sci. Technol. 2022, 102, 125–141. [Google Scholar] [CrossRef]
- Nalajala, N.; Patra, K.K.; Bharad, P.A.; Gopinath, C.S. Why the thin film form of a photocatalyst is better than the particulate form for direct solar-to-hydrogen conversion: A poor man’s approach. RSC Adv. 2019, 9, 6094–6100. [Google Scholar] [CrossRef] [PubMed]
- Bakhtiarnia, S.; Sheibani, S.; Billard, A.; Sun, H.; Aubry, E.; Yazdi, M.A.P. Enhanced photocatalytic activity of sputter-deposited nanoporous BiVO4 thin films by controlling film thickness. J. Alloys Compd. 2021, 879, 160463. [Google Scholar] [CrossRef]
- Di, J.; Lu, Y.; Wang, W.; Wang, X.; Yu, C.; Zhao, J.; Zhang, F.; Gao, S. Transparent g-C3N4 thin film: Enhanced photocatalytic performance and convenient recycling. J. Phys. Chem. Solids 2021, 155, 110114. [Google Scholar] [CrossRef]
- Yu, Q.; Zhang, F.; Li, G. Structure, morphology and photocatalytic performance of BiVO4 nanoislands covered with ITO thin film. J. Mater. Sci. Mater. Electron. 2020, 31, 7035–7043. [Google Scholar] [CrossRef]
- Hoffmann, M.R.; Martin, S.T.; Choi, W.; Bahnemann, D.W. Environmental Applications of Semiconductor Photocatalysis. Chem. Rev. 1995, 95, 69–96. [Google Scholar] [CrossRef]
- Ravelli, D.; Dondi, D.; Fagnoni, M.; Albini, A. Photocatalysis. A multi-faceted concept for green chemistry. Chem. Soc. Rev. 2009, 38, 1999–2011. [Google Scholar] [CrossRef] [PubMed]
- Lee, Y.-C.; Chang, Y.S.; Teoh, L.G.; Huang, Y.L.; Shen, Y.C. The effects of the nanostructure of mesoporous TiO2 on optical band gap energy. J. Sol-Gel Sci. Technol. 2010, 56, 33–38. [Google Scholar] [CrossRef]
- Möls, K.; Aarik, L.; Mändar, H.; Kasikov, A.; Niilisk, A.; Rammula, R.; Aarik, J. Influence of phase composition on optical properties of TiO2: Dependence of refractive index and band gap on formation of TiO2-II phase in thin films. Opt. Mater. 2019, 96, 109335. [Google Scholar] [CrossRef]
- Jarka, P.; Tański, T.; Matysiak, W.; Krzemiński, Ł.; Hajduk, B.; Bilewicz, M. Manufacturing and investigation of surface morphology and optical properties of composite thin films reinforced by TiO2, Bi2O3 and SiO2 nanoparticles. Appl. Surf. Sci. 2017, 424, 206–212. [Google Scholar] [CrossRef]
- Li, C.; Zhao, Y.F.; Gong, Y.Y.; Wang, T.; Sun, C.Q. Band gap engineering of early transition-metal-doped anatase TiO2: First principles calculations. Phys. Chem. Chem. Phys. 2014, 16, 21446–21451. [Google Scholar] [CrossRef]
- Xu, L.; Li, X.; Yuan, J. Effect of K-doping on structural and optical properties of ZnO thin films. Superlattices Microstruct. 2008, 44, 276–281. [Google Scholar] [CrossRef]
- Zhang, Y.; Xu, X. Machine Learning Band Gaps of Doped-TiO2 Photocatalysts from Structural and Morphological Parameters. ACS Omega 2020, 5, 15344–15352. [Google Scholar] [CrossRef] [PubMed]
- Singh, J.; Sharma, S.; Sharma, S.; Singh, R.C. Effect of tungsten doping on structural and optical properties of rutile TiO2 and band gap narrowing. Optik 2019, 182, 538–547. [Google Scholar] [CrossRef]
- Alamgir; Khan, W.; Ahmad, S.; Mehedi Hassan, M.; Naqvi, A.H. Structural phase analysis, band gap tuning and fluorescence properties of Co doped TiO2 nanoparticles. Opt. Mater. 2014, 38, 278–285. [Google Scholar] [CrossRef]
- Islam, M.N.; Podder, J. The role of Al and Co co-doping on the band gap tuning of TiO2 thin films for applications in photovoltaic and optoelectronic devices. Mater. Sci. Semicond. Process. 2021, 121, 105419. [Google Scholar] [CrossRef]
- Qaid, S.M.; Hussain, M.; Hezam, M.; Khan, M.M.; Albrithen, H.; Ghaithan, H.M.; Aldwayyan, A.S. Structural and optical investigation of brookite TiO2 thin films grown by atomic layer deposition on Si (111) substrates. Mater. Chem. Phys. 2019, 225, 55–59. [Google Scholar] [CrossRef]
- Szindler, M.; Szindler, M.M.; Boryło, P.; Jung, T. Structure and optical properties of TiO2 thin films deposited by ALD method. Open Phys. 2017, 15, 1067–1071. [Google Scholar] [CrossRef]
- Kumi-Barimah, E.; Penhale-Jones, R.; Salimian, A.; Upadhyaya, H.; Hasnath, A.; Jose, G. Phase evolution, morphological, optical and electrical properties of femtosecond pulsed laser deposited TiO2 thin films. Sci. Rep. 2020, 10, 10144. [Google Scholar] [CrossRef] [PubMed]
- Li, D.; Zhang, W.; Goullet, A. Influence of PECVD-TiO2 film morphology and topography on the spectroscopic ellipsometry data fitting process. Mod. Phys. Lett. B 2020, 34, 2050228. [Google Scholar] [CrossRef]
- Kang, M.; Kim, S.W.; Park, H.Y. Optical properties of TiO2 thin films with crystal structure. J. Phys. Chem. Solids 2018, 123, 266–270. [Google Scholar] [CrossRef]
- Nezar, S.; Saoula, N.; Sali, S.; Faiz, M.; Mekki, M.; Laoufi, N.A.; Tabet, N. Properties of TiO2 thin films deposited by rf reactive magnetron sputtering on biased substrates. Appl. Surf. Sci. 2017, 395, 172–179. [Google Scholar] [CrossRef]
- Dundar, I.; Krichevskaya, M.; Katerski, A.; Acik, I.O. TiO2 thin films by ultrasonic spray pyrolysis as photocatalytic material for air purification. R. Soc. Open Sci. 2019, 6, 181578. [Google Scholar] [CrossRef] [PubMed]
- Song, M.; Lu, Z.; Li, D. Phase transformations among TiO2 polymorphs. Nanoscale 2020, 12, 23183–23190. [Google Scholar] [CrossRef] [PubMed]
- Amtout, A.; Leonelli, R. Optical properties of rutile near its fundamental band gap. Phys. Rev. B Condens. Matter 1995, 51, 6842–6851. [Google Scholar] [CrossRef]
- Pascual, J.; Camassel, J.; Mathieu, H. Fine Structure in the Intrinsic Absorption Edge of TiO2. Phys. Rev. B 1978, 18, 5606. [Google Scholar] [CrossRef]
- Mattsson, A.; Österlund, L. Adsorption and Photoinduced Decomposition of Acetone and Acetic Acid on Anatase, Brookite, and Rutile TiO2 Nanoparticles. J. Phys. Chem. C 2010, 114, 14121–14132. [Google Scholar] [CrossRef]
- Zhu, T.; Gao, S.-P. The Stability, Electronic Structure, and Optical Property of TiO2 Polymorphs. J. Phys. Chem. C 2014, 118, 11385–11396. [Google Scholar] [CrossRef]
- López, R.; Gómez, R. Band-gap energy estimation from diffuse reflectance measurements on sol–gel and commercial TiO2: A comparative study. J. Sol-Gel Sci. Technol. 2012, 61, 1–7. [Google Scholar] [CrossRef]
- Tang, H.; Lévy, F.; Berger, H.; Schmid, P.E. Urbach tail of anatase TiO2. Phys. Rev. B Condens. Matter 1995, 52, 7771–7774. [Google Scholar] [CrossRef]
- Dette, C.; Pérez-Osorio, M.A.; Kley, C.S.; Punke, P.; Patrick, C.E.; Jacobson, P.; Giustino, F.; Jung, S.J.; Kern, K. TiO2 anatase with a bandgap in the visible region. Nano Lett. 2014, 14, 6533–6538. [Google Scholar] [CrossRef]
- Lee, G.H.; Zuo, J.-M. Growth and Phase Transformation of Nanometer-Sized Titanium Oxide Powders Produced by the Precipitation Method. J. Am. Ceram. Soc. 2004, 87, 473–479. [Google Scholar] [CrossRef]
- Zhang, Q.; Li, C. High Temperature Stable Anatase Phase Titanium Dioxide Films Synthesized by Mist Chemical Vapor Deposition. Nanomaterials 2020, 10, 911. [Google Scholar] [CrossRef]
- Zhang, H.; Banfield, J.F. Thermodynamic analysis of phase stability of nanocrystalline titania. J. Mater. Chem. 1998, 8, 2073–2076. [Google Scholar] [CrossRef]
- Fujishima, A.; Zhang, X.; Tryk, D. TiO2 photocatalysis and related surface phenomena. Surf. Sci. Rep. 2008, 63, 515–582. [Google Scholar] [CrossRef]
- Liu, L.; Zhao, H.; Andino, J.M.; Li, Y. Photocatalytic CO2 Reduction with H2O on TiO2 Nanocrystals: Comparison of Anatase, Rutile, and Brookite Polymorphs and Exploration of Surface Chemistry. ACS Catal. 2012, 2, 1817–1828. [Google Scholar] [CrossRef]
- Luttrell, T.; Halpegamage, S.; Tao, J.; Kramer, A.; Sutter, E.; Batzill, M. Why is anatase a better photocatalyst than rutile?—Model studies on epitaxial TiO2 films. Sci. Rep. 2014, 4, 4043. [Google Scholar] [CrossRef] [PubMed]
- Hurum, D.C.; Agrios, A.G.; Gray, K.A.; Rajh, T.; Thurnauer, M.C. Explaining the Enhanced Photocatalytic Activity of Degussa P25 Mixed-Phase TiO2 Using EPR. J. Phys. Chem. B 2003, 107, 4545–4549. [Google Scholar] [CrossRef]
- Scanlon, D.O.; Dunnill, C.W.; Buckeridge, J.; Shevlin, S.A.; Logsdail, A.J.; Woodley, S.M.; Catlow, C.R.A.; Powell, M.J.; Palgrave, R.G.; Parkin, I.P.; et al. Band alignment of rutile and anatase TiO2. Nat. Mater. 2013, 12, 798–801. [Google Scholar] [CrossRef]
- Li, A.; Wang, Z.; Yin, H.; Wang, S.; Yan, P.; Huang, B.; Wang, X.; Li, R.; Zong, X.; Han, H.; et al. Understanding the anatase-rutile phase junction in charge separation and transfer in a TiO2 electrode for photoelectrochemical water splitting. Chem. Sci. 2016, 7, 6076–6082. [Google Scholar] [CrossRef]
- Shen, S.; Wang, X.; Chen, T.; Feng, Z.; Li, C. Transfer of Photoinduced Electrons in Anatase–Rutile TiO2 Determined by Time-Resolved Mid-Infrared Spectroscopy. J. Phys. Chem. C 2014, 118, 12661–12668. [Google Scholar] [CrossRef]
- Lukong, V.T.; Ukoba, K.; Jen, T.-C. Review of self-cleaning TiO2 thin films deposited with spin coating. Int. J. Adv. Manuf. Technol. 2022, 122, 3525–3546. [Google Scholar] [CrossRef]
- Sadikin, S.N. Effect of Spin-Coating Cycle on the Properties of TiO2 Thin Film and Performance of DSSC. Int. J. Electrochem. Sci. 2017, 12, 5529–5538. [Google Scholar] [CrossRef]
- Al-Arjan, W.S.; Hector, A.L.; Levason, W. Speciation in diethanolamine-moderated TiO2 precursor sols and their use in film formation. J. Sol-Gel Sci. Technol. 2016, 79, 550–557. [Google Scholar] [CrossRef]
- Murugan, K.; Rao, T.N.; Rao, G.N.; Gandhi, A.S.; Murty, B.S. Effect of dehydration rate on non-hydrolytic TiO2 thin film processing: Structure, optical and photocatalytic performance studies. Mater. Chem. Phys. 2011, 129, 810–815. [Google Scholar] [CrossRef]
- Tyona, M.D. A theoritical study on spin coating technique. Adv. Mater. Res. 2013, 2, 195–208. [Google Scholar] [CrossRef]
- Zulkefle, M.A.; Abdul Rahman, R.; Yusof, K.A.; Abdullah, W.F.H.; Rusop, M.; Herman, S.H. Spin Speed and Duration Dependence of TiO2 Thin Films pH Sensing Behavior. J. Sens. 2016, 2016, 9746156. [Google Scholar] [CrossRef]
- Ji, Q.; Wang, Y.; Gao, X.; Gao, H.; Zhai, Y. Effect of Preheating Temperature on Microstructure and Optical Properties of ZnO Thin Films Prepared by Sol-Gel Spin Coating Technique. Acta Phys. Pol. A 2016, 129, 1191–1196. [Google Scholar] [CrossRef]
- Santos, A.; Santos, E.J. Pre-heating temperature dependence of the c-axis orientation of ZnO thin films. Thin Solid Film. 2008, 516, 6210–6214. [Google Scholar] [CrossRef]
- Kim, Y.-S.; Tai, W.-P.; Shu, S.-J. Effect of preheating temperature on structural and optical properties of ZnO thin films by sol–gel process. Thin Solid Film. 2005, 491, 153–160. [Google Scholar] [CrossRef]
- Nečas, D.; Klapetek, P. Gwyddion: An open-source software for SPM data analysis. Cent. Eur. J. Phys. 2012, 10, 181–188. [Google Scholar] [CrossRef]
- Chuklanov, A.P.; Ziganshina, S.A.; Bukharaev, A.A. Computer program for the grain analysis of AFM images of nanoparticles placed on a rough surface. Surf. Interface Anal. 2006, 38, 679–681. [Google Scholar] [CrossRef]
- Wu, Y.; Li, Q. The Algorithm of Watershed Color Image Segmentation Based on Morphological Gradient. Sensors 2022, 22, 8202. [Google Scholar] [CrossRef] [PubMed]
- Herzinger, C.M.; Johs, B.; McGahan, W.A.; Woollam, J.A.; Paulson, W. Ellipsometric determination of optical constants for silicon and thermally grown silicon dioxide via a multi-sample, multi-wavelength, multi-angle investigation. J. Appl. Phys. 1998, 83, 3323–3336. [Google Scholar] [CrossRef]
- Horprathum, M.; Kaewkhao, J.; Eiamchai, P.; Chindaudom, P.; Limsuwan, P. Investigation of Inhomogeneity of TiO2 Thin Films Using Spectroscopic Ellipsometry. J. Phys. Conf. Ser. 2013, 417, 12007. [Google Scholar] [CrossRef]
- Shahrokhabadi, H.; Bananej, A.; Vaezzadeh, M. Investigation of Cody–Lorentz and Tauc–Lorentz Models in Characterizing Dielectric Function of (HfO2)x(ZrO2)1−x Mixed Thin Film. J. Appl. Spectrosc. 2017, 84, 915–922. [Google Scholar] [CrossRef]
- Eiamchai, P.; Chindaudom, P.; Pokaipisit, A.; Limsuwan, P. A spectroscopic ellipsometry study of TiO2 thin films prepared by ion-assisted electron-beam evaporation. Curr. Appl. Phys. 2009, 9, 707–712. [Google Scholar] [CrossRef]
- Horprathum, M.; Chindaudom, P.; Limsuwan, P. A Spectroscopic Ellipsometry Study of TiO2 Thin Films Prepared by dc Reactive Magnetron Sputtering: Annealing Temperature Effect. Chin. Phys. Lett. 2007, 24, 1505–1508. [Google Scholar] [CrossRef]
- Khalid, N.S.; Ishak, S.H.; Ahmad, M.K. Effect of Annealing Time of TiO2 Thin Film Deposited by Spray Pyrolysis Deposition Method for Dye-Sensitized Solar Cell Application. AMM 2015, 773–774, 647–651. [Google Scholar] [CrossRef]
- Mathews, N.R.; Morales, E.R.; Cortés-Jacome, M.A.; Toledo Antonio, J.A. TiO2 thin films—Influence of annealing temperature on structural, optical and photocatalytic properties. Sol. Energy 2009, 83, 1499–1508. [Google Scholar] [CrossRef]
- Kim, D.J.; Hahn, S.H.; Oh, S.H.; Kim, E.J. Influence of calcination temperature on structural and optical properties of TiO2 thin films prepared by sol–gel dip coating. Mater. Lett. 2002, 57, 355–360. [Google Scholar] [CrossRef]
- Sharma, S.; Dutta, S.; Gupta, N.; Kaushik, J.; Pandey, A.; Khanna, M.K. An investigation of dielectric properties of ultrathin TiOx-SiOx nanocomposite layers on Si substrate. J. Mater. Sci. Mater. Electron. 2023, 34, 490. [Google Scholar] [CrossRef]
- Nakaruk, A.; Lin, C.Y.; Perera, D.S.; Sorrell, C.C. Effect of annealing temperature on titania thin films prepared by spin coating. J. Sol-Gel Sci. Technol. 2010, 55, 328–334. [Google Scholar] [CrossRef]
- Cody, G.D.; Brooks, B.G.; Abeles, B. Optical absorption above the optical gap of amorphous silicon hydride. Sol. Energy Mater. 1982, 8, 231–240. [Google Scholar] [CrossRef]
- Ranjitha, A.; Muthukumarasamy, N.; Thambidurai, M.; Balasundaraprabhu, R.; Agilan, S. Effect of annealing temperature on nanocrystalline TiO2 thin films prepared by sol–gel dip coating method. Optik 2013, 124, 6201–6204. [Google Scholar] [CrossRef]
- Vishwas, M.; Sharma, S.K.; Rao, K.N.; Mohan, S.; Gowda, K.V.A.; Chakradhar, R.P.S. Influence of surfactant and annealing temperature on optical properties of sol-gel derived nano-crystalline TiO2 thin films. Spectrochim. Acta A Mol. Biomol. Spectrosc. 2010, 75, 1073–1077. [Google Scholar] [CrossRef]
- Bruggeman, D.A.G. Berechnung verschiedener physikalischer Konstanten von heterogenen Substanzen. I. Dielektrizitätskonstanten und Leitfähigkeiten der Mischkörper aus isotropen Substanzen. Ann. Phys. 1935, 416, 636–664. [Google Scholar] [CrossRef]
- Fujiwara, H. Spectroscopic Ellipsometry: Principles and Applications/Hiroyuki Fujiwara; John Wiley: Chichester, UK, 2007; ISBN 978-0470016084. [Google Scholar]
- Fang, S.J.; Chen, W.; Yamanaka, T.; Helms, C.R. Comparison of Si surface roughness measured by atomic force microscopy and ellipsometry. Appl. Phys. Lett. 1996, 68, 2837–2839. [Google Scholar] [CrossRef]
- Petrik, P.; Biró, L.; Fried, M.; Lohner, T.; Berger, R.; Schneider, C.; Gyulai, J.; Ryssel, H. Comparative study of surface roughness measured on polysilicon using spectroscopic ellipsometry and atomic force microscopy. Thin Solid Film. 1998, 315, 186–191. [Google Scholar] [CrossRef]
- Lehmann, D.; Seidel, F.; Zahn, D.R. Thin films with high surface roughness: Thickness and dielectric function analysis using spectroscopic ellipsometry. Springerplus 2014, 3, 82. [Google Scholar] [CrossRef]
- Beucher, S. The Watershed Transformation Applied to Image Segmentation. Scanning Microsc. 1992, 1992, 28. [Google Scholar]
- Gredig, T.; Silverstein, E.A.; Byrne, M.P. Height-Height Correlation Function to Determine Grain Size in Iron Phthalocyanine Thin Films. J. Phys. Conf. Ser. 2013, 417, 12069. [Google Scholar] [CrossRef]
- Olyaeefar, B.; Ahmadi-Kandjani, S.; Asgari, A. Classical modelling of grain size and boundary effects in polycrystalline perovskite solar cells. Sol. Energy Mater. Sol. Cells 2018, 180, 76–82. [Google Scholar] [CrossRef]
- Penn, R.L.; Banfield, J.F. Formation of rutile nuclei at anatase (112) twin interfaces and the phase transformation mechanism in nanocrystalline titania. Am. Mineral. 1999, 84, 871–876. [Google Scholar] [CrossRef]
- Penn, R.L.; Banfield, J.F. Oriented attachment and growth, twinning, polytypism, and formation of metastable phases; insights from nanocrystalline TiO2. Am. Mineral. 1998, 83, 1077–1082. [Google Scholar] [CrossRef]
- Weinberg, M.C. Transformation kinetics of particles with surface and bulk nucleation. J. Non-Cryst. Solids 1992, 142, 126–132. [Google Scholar] [CrossRef]
- Ding, X.-Z.; Liu, X.-H.; He, Y.-Z. Grain size dependence of anatase-to-rutile structural transformation in gel-derived nanocrystalline titania powders. J. Mater. Sci. Lett. 1996, 15, 1789–1791. [Google Scholar] [CrossRef]
- Ghosh, T.B.; Dhabal, S.; Datta, A.K. On crystallite size dependence of phase stability of nanocrystalline TiO2. J. Appl. Phys. 2003, 94, 4577–4582. [Google Scholar] [CrossRef]
- Doubi, Y.; Hartiti, B.; Labrim, H.; Fadili, S.; Tahri, M.; Belafhaili, A.; Siadat, M.; Thevenin, P. Experimental study of properties of TiO2 thin films deposited by spray pyrolysis for future sensory applications. Appl. Phys. A 2021, 127, 475. [Google Scholar] [CrossRef]
- Sta, I.; Jlassi, M.; Hajji, M.; Boujmil, M.F.; Jerbi, R.; Kandyla, M.; Kompitsas, M.; Ezzaouia, H. Structural and optical properties of TiO2 thin films prepared by spin coating. J. Sol-Gel Sci. Technol. 2014, 72, 421–427. [Google Scholar] [CrossRef]
- Monshi, A.; Foroughi, M.R.; Monshi, M.R. Modified Scherrer Equation to Estimate More Accurately Nano-Crystallite Size Using XRD. WJNSE 2012, 02, 154–160. [Google Scholar] [CrossRef]
- Miranda, M.A.R.; Sasaki, J.M. The limit of application of the Scherrer equation. Acta Crystallogr. A Found. Adv. 2018, 74, 54–65. [Google Scholar] [CrossRef]
- Hargreaves, J.S.J. Some considerations related to the use of the Scherrer equation in powder X-ray diffraction as applied to heterogeneous catalysts. Catal. Struct. React. 2016, 2, 33–37. [Google Scholar] [CrossRef]
- Vorokh, A.S. Scherrer formula: Estimation of error in determining small nanoparticle size. Nanosyst. Phys. Chem. Math. 2018, 9, 364–369. [Google Scholar] [CrossRef]
- Bokuniaeva, A.O.; Vorokh, A.S. Estimation of particle size using the Debye equation and the Scherrer formula for polyphasic TiO2 powder. J. Phys. Conf. Ser. 2019, 1410, 12057. [Google Scholar] [CrossRef]
- Ares, J.R.; Pascual, A.; Ferrer, I.J.; Sánchez, C. Grain and crystallite size in polycrystalline pyrite thin films. Thin Solid Film. 2005, 480–481, 477–481. [Google Scholar] [CrossRef]
- Frank, O.; Zukalova, M.; Laskova, B.; Kürti, J.; Koltai, J.; Kavan, L. Raman spectra of titanium dioxide (anatase, rutile) with identified oxygen isotopes (16, 17, 18). Phys. Chem. Chem. Phys. 2012, 14, 14567–14572. [Google Scholar] [CrossRef]
- Zhang, J.; Li, M.; Feng, Z.; Chen, J.; Li, C. UV Raman spectroscopic study on TiO2. I. Phase transformation at the surface and in the bulk. J. Phys. Chem. B 2006, 110, 927–935. [Google Scholar] [CrossRef]
- Ceballos-Chuc, M.C.; Ramos-Castillo, C.M.; Alvarado-Gil, J.J.; Oskam, G.; Rodríguez-Gattorno, G. Influence of Brookite Impurities on the Raman Spectrum of TiO2 Anatase Nanocrystals. J. Phys. Chem. C 2018, 122, 19921–19930. [Google Scholar] [CrossRef]
- Sahoo, S.; Arora, A.K.; Sridharan, V. Raman Line Shapes of Optical Phonons of Different Symmetries in Anatase TiO2 Nanocrystals. J. Phys. Chem. C 2009, 113, 16927–16933. [Google Scholar] [CrossRef]
- Zhu, K.-R.; Zhang, M.-S.; Chen, Q.; Yin, Z. Size and phonon-confinement effects on low-frequency Raman mode of anatase TiO2 nanocrystal. Phys. Lett. A 2005, 340, 220–227. [Google Scholar] [CrossRef]
- Kelly, S.; Pollak, F.H.; Tomkiewicz, M. Raman Spectroscopy as a Morphological Probe for TiO2 Aerogels. J. Phys. Chem. B 1997, 101, 2730–2734. [Google Scholar] [CrossRef]
- Uchinokura, K.; Sekine, T.; Matsuura, E. Raman scattering by silicon. Solid State Commun. 1972, 11, 47–49. [Google Scholar] [CrossRef]
- Bianchi, C.L.; Gatto, S.; Pirola, C.; Naldoni, A.; Di Michele, A.; Cerrato, G.; Crocellà, V.; Capucci, V. Photocatalytic degradation of acetone, acetaldehyde and toluene in gas-phase: Comparison between nano and micro-sized TiO2. Appl. Catal. B Environ. 2014, 146, 123–130. [Google Scholar] [CrossRef]
- Fleyfel, F.; Devlin, J.P. FT-IR spectra of carbon dioxide clusters. J. Phys. Chem. 1989, 93, 7292–7294. [Google Scholar] [CrossRef]
- Schneider, C.A.; Rasband, W.S.; Eliceiri, K.W. NIH Image to ImageJ: 25 years of image analysis. Nat. Methods 2012, 9, 671–675. [Google Scholar] [CrossRef]
- Ben Naceur, J.; Gaidi, M.; Bousbih, F.; Mechiakh, R.; Chtourou, R. Annealing effects on microstructural and optical properties of Nanostructured-TiO2 thin films prepared by sol–gel technique. Curr. Appl. Phys. 2012, 12, 422–428. [Google Scholar] [CrossRef]
- Al-Jaafreh, T.M.; Al-Odienat, A. The Solar Energy Forecasting by Pearson Correlation using Deep Learning Techniques. Earth Sci. Hum. Constr. 2022, 2, 158–163. [Google Scholar] [CrossRef]
- Muhaidat, J.; Albatayneh, A.; Abdallah, R.; Papamichael, I.; Chatziparaskeva, G. Predicting COVID-19 future trends for different European countries using Pearson correlation. EuroMediterr. J. Environ. Integr. 2022, 7, 157–170. [Google Scholar] [CrossRef] [PubMed]
- Pavanello, D.; Zaaiman, W.; Colli, A.; Heiser, J.; Smith, S. Statistical functions and relevant correlation coefficients of clearness index. J. Atmos. Sol.-Terr. Phys. 2015, 130–131, 142–150. [Google Scholar] [CrossRef]
- Temizhan, E.; Mirtagioglu, H.; Mendes, M. Which Correlation Coefficient Should Be Used for Investigating Relations between Quantitative Variables? ASRJETS-J. 2022, 85, 265–277. [Google Scholar]
- El-Hashash, E.F.; Shiekh, R.H.A. A Comparison of the Pearson, Spearman Rank and Kendall Tau Correlation Coefficients Using Quantitative Variables. AJPAS 2022, 20, 36–48. [Google Scholar] [CrossRef]
- Rodgers, J.L.; Nicewander, W.A. Thirteen Ways to Look at the Correlation Coefficient. Am. Stat. 1988, 42, 59. [Google Scholar] [CrossRef]
- Habibi, M.H.; Talebian, N.; Choi, J.-H. The effect of annealing on photocatalytic properties of nanostructured titanium dioxide thin films. Dyes Pigment. 2007, 73, 103–110. [Google Scholar] [CrossRef]
- Vasuki, T.; Saroja, M.; Venkatachalam, M.; Shankar, S. Investigation on TiO2 thin films prepared by sol–gel spin coating method for photocatalytic application. Int. J. Chem. Concepts 2017, 3, 201–207. [Google Scholar]
- Yu, J.; Yu, J.C.; Ho, W.; Jiang, Z. Effects of calcination temperature on the photocatalytic activity and photo-induced super-hydrophilicity of mesoporous TiO2 thin films. New J. Chem. 2002, 26, 607–613. [Google Scholar] [CrossRef]

















| y = ax + b | a | b |
|---|---|---|
| Anatase@638 cm−1 vs. 612 cm−1 | −0.0075 | 5.0316 |
| Rutile@638 cm−1 vs. 612 cm−1 | 0.0075 | −4.0316 |
| Anatase@399 cm−1 vs. 612 cm−1 | −0.0096 | 6.0835 |
| Rutile@399 cm−1 vs. 612 cm−1 | 0.0096 | −5.0935 |
| Anatase@25° vs. 27° | −0.0088 | 5.7978 |
| Rutile@25° vs. 27° | 0.0088 | −4.7978 |
Disclaimer/Publisher’s Note: The statements, opinions and data contained in all publications are solely those of the individual author(s) and contributor(s) and not of MDPI and/or the editor(s). MDPI and/or the editor(s) disclaim responsibility for any injury to people or property resulting from any ideas, methods, instructions or products referred to in the content. |
© 2023 by the authors. Licensee MDPI, Basel, Switzerland. This article is an open access article distributed under the terms and conditions of the Creative Commons Attribution (CC BY) license (https://creativecommons.org/licenses/by/4.0/).
Share and Cite
He, L.; Zahn, D.R.T.; Madeira, T.I. Photocatalytic Performance of Sol-Gel Prepared TiO2 Thin Films Annealed at Various Temperatures. Materials 2023, 16, 5494. https://doi.org/10.3390/ma16155494
He L, Zahn DRT, Madeira TI. Photocatalytic Performance of Sol-Gel Prepared TiO2 Thin Films Annealed at Various Temperatures. Materials. 2023; 16(15):5494. https://doi.org/10.3390/ma16155494
Chicago/Turabian StyleHe, Lu, Dietrich R. T. Zahn, and Teresa I. Madeira. 2023. "Photocatalytic Performance of Sol-Gel Prepared TiO2 Thin Films Annealed at Various Temperatures" Materials 16, no. 15: 5494. https://doi.org/10.3390/ma16155494
APA StyleHe, L., Zahn, D. R. T., & Madeira, T. I. (2023). Photocatalytic Performance of Sol-Gel Prepared TiO2 Thin Films Annealed at Various Temperatures. Materials, 16(15), 5494. https://doi.org/10.3390/ma16155494

