Investigations on Stability of Polycarboxylate Superplasticizers in Alkaline Activators for Geopolymer Binders
Abstract
1. Introduction
2. Materials and Methods
2.1. Materials
2.2. Methods
2.2.1. Size Exclusion Chromatography
2.2.2. Binder Preparation and Rheological Investigations
2.2.3. Stability Test Preparation of PCEs in Different Alkaline Media
3. Results and Discussion
3.1. PCE Characteristics
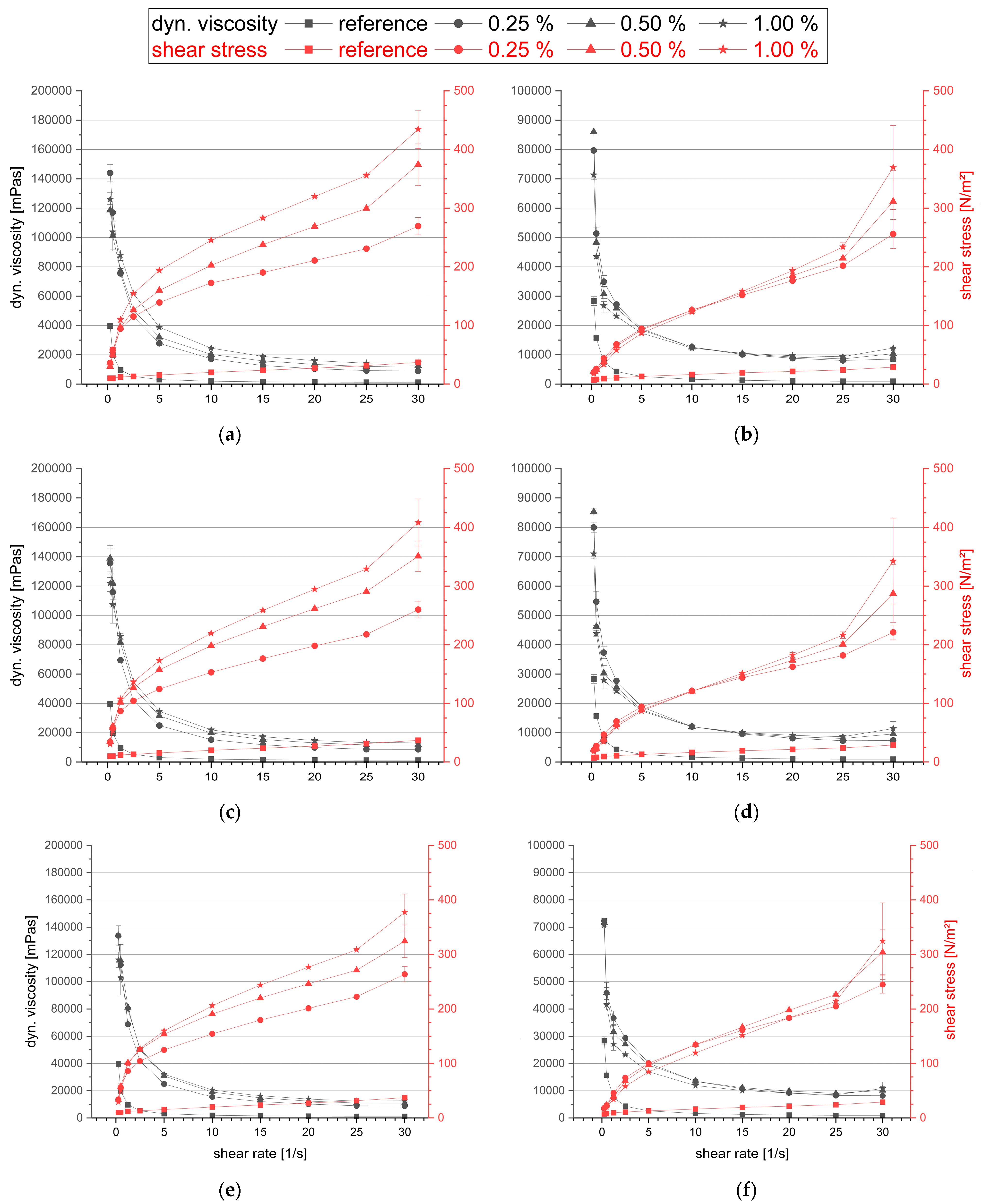
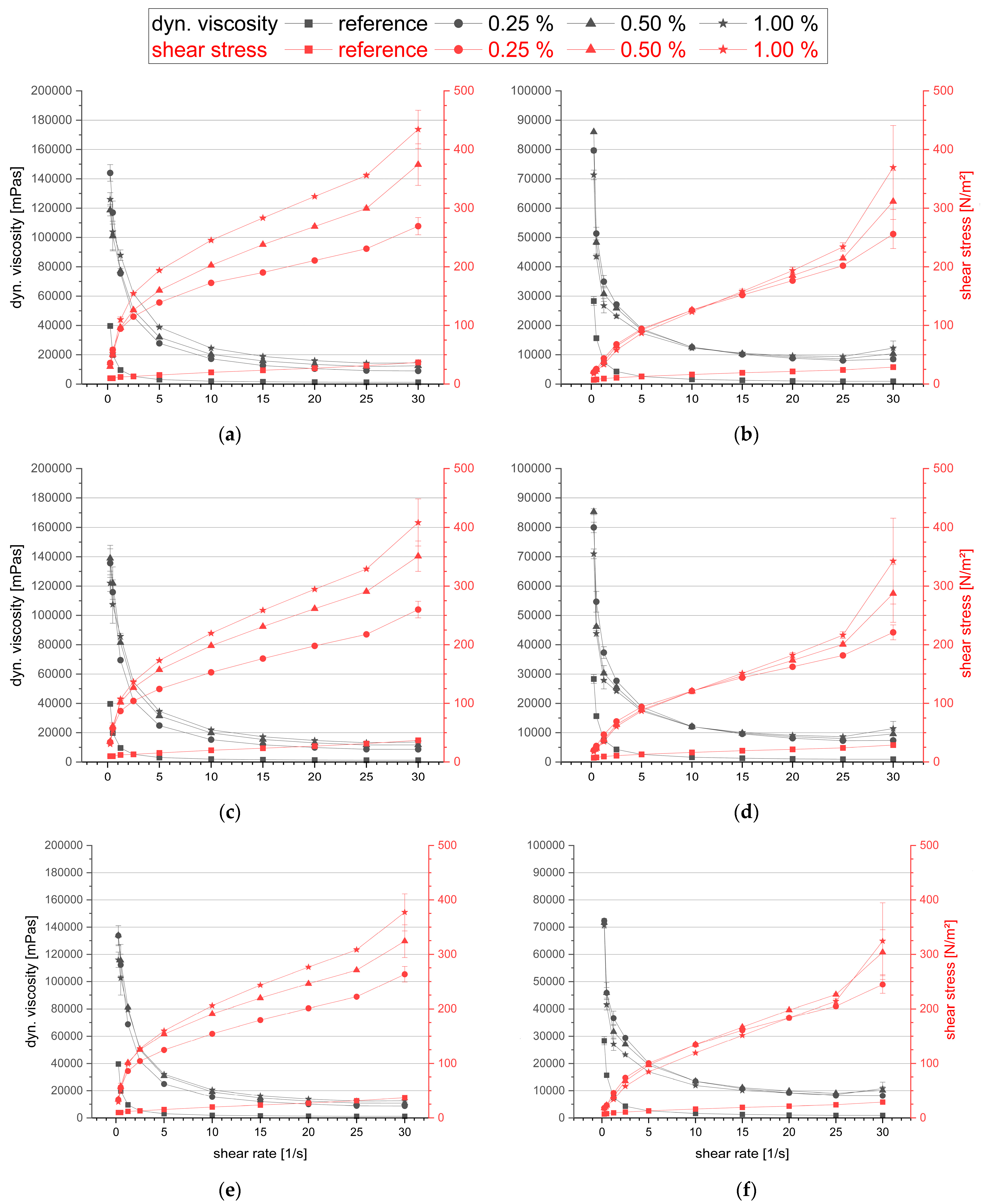
3.2. Impact of PCE on Rheology of Geopolymer Pastes
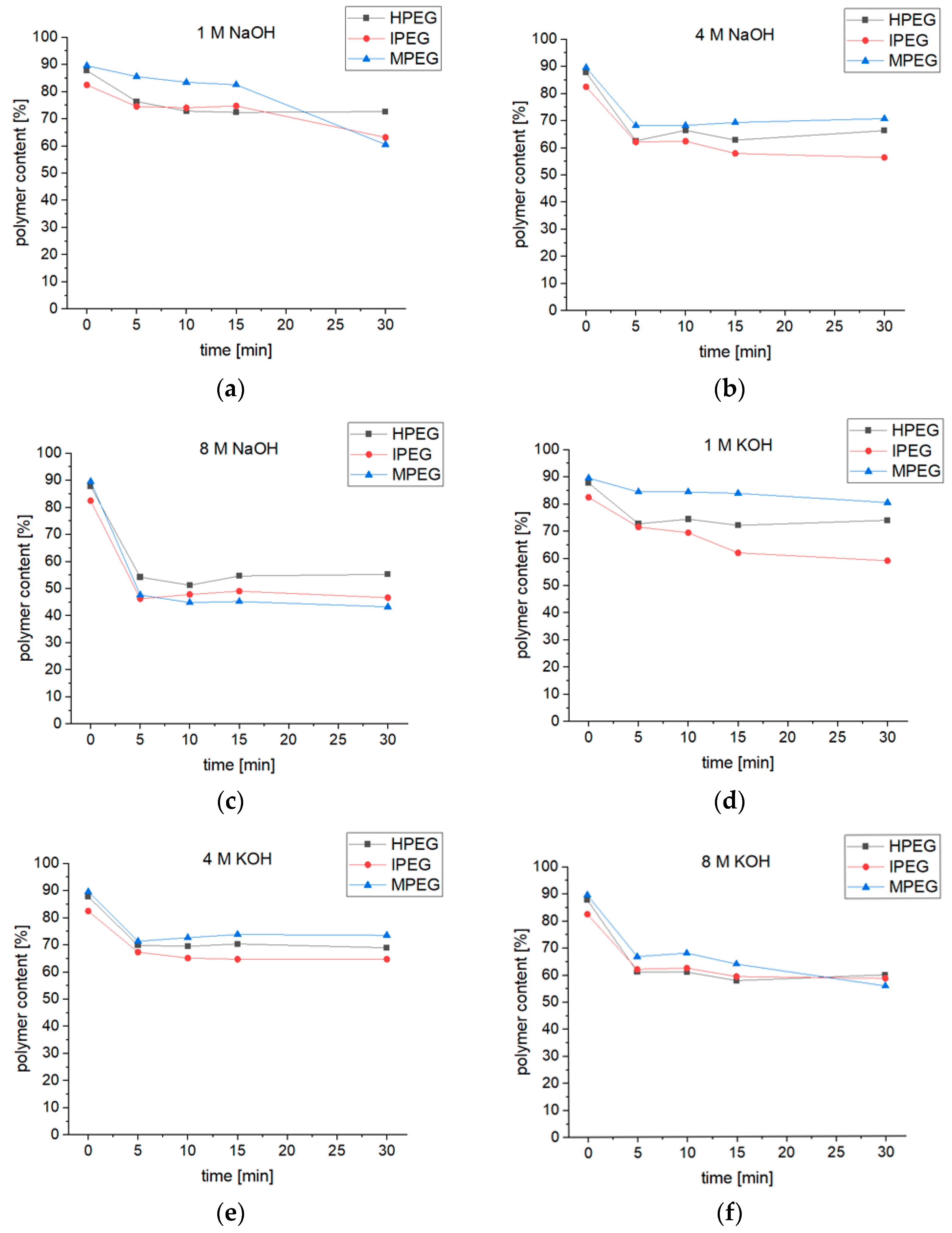
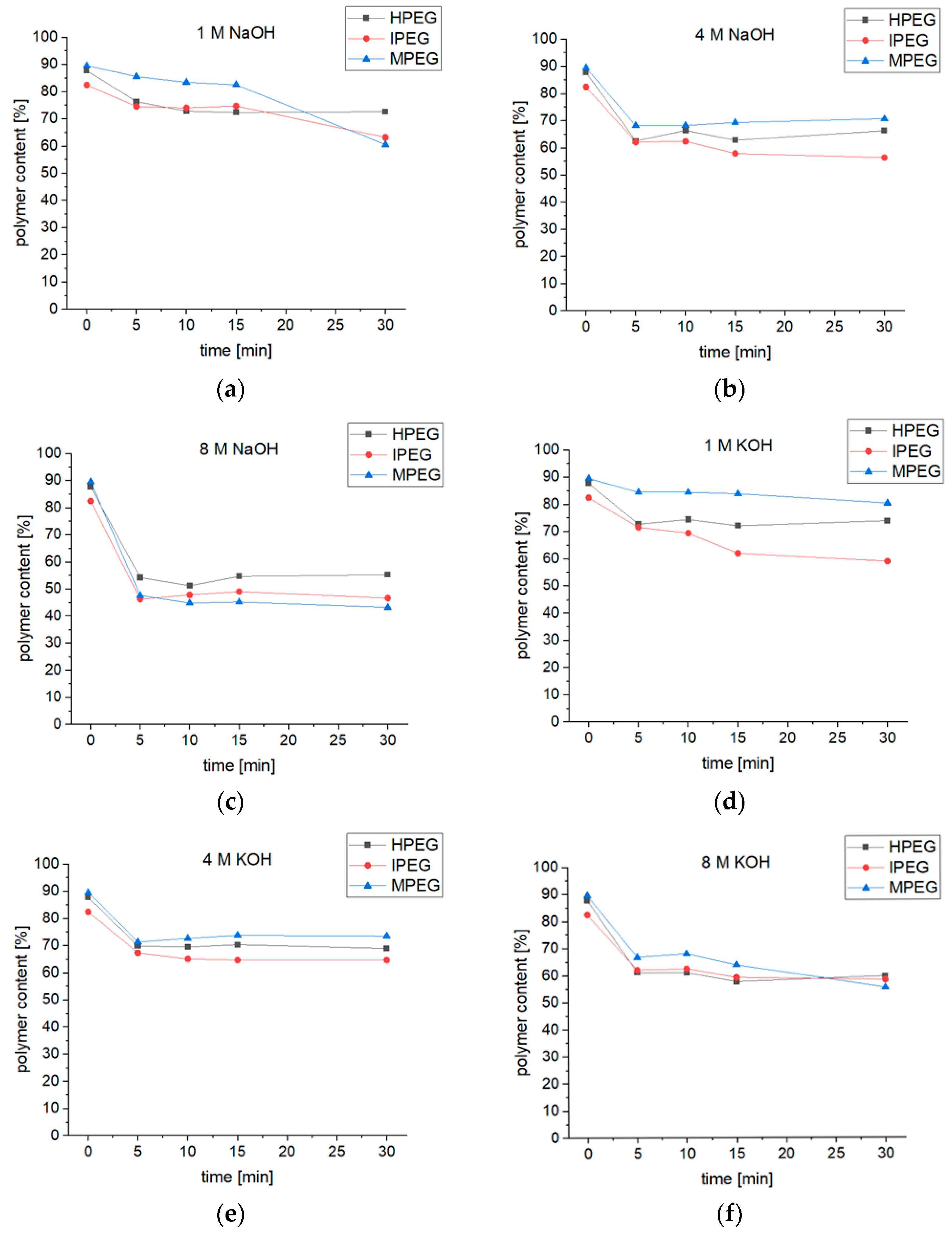
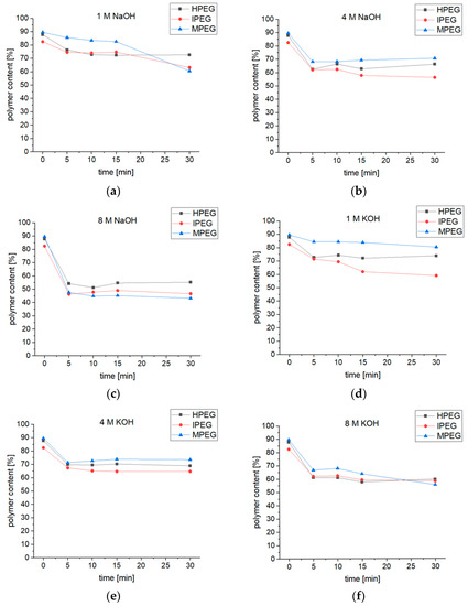
3.3. Degradation in Alkali Hydroxide Solutions
3.4. Degradation in Alkali Silicate Solution
4. Conclusions
Author Contributions
Funding
Institutional Review Board Statement
Informed Consent Statement
Data Availability Statement
Acknowledgments
Conflicts of Interest
References
- Scrivener, K.; Martirena, F.; Bishnoi, S.; Maity, S. Calcined clay limestone cements (LC3). Cem. Concr. Res. 2018, 114, 49–56. [Google Scholar] [CrossRef]
- Schulze, S.E.; Rickert, J. Suitability of natural calcined clays as supplementary cementitious material. Cem. Concr. Compos. 2019, 95, 92–97. [Google Scholar] [CrossRef]
- Alujas Diaz, A.; Almenares Reyes, R.S.; Hanein, T.; Irassar, E.F.; Juenger, M.; Kanavaris, F.; Maier, M.; Marsh, A.T.; Sui, T.; Thienel, K.-C.; et al. Properties and occurrence of clay resources for use as supplementary cementitious materials: A paper of RILEM TC 282-CCL. Mater. Struct. 2022, 55, 139. [Google Scholar] [CrossRef]
- Khalifa, A.Z.; Cizer, Ö.; Pontikes, Y.; Heath, A.; Patureau, P.; Bernal, S.A.; Marsh, A.T. Advances in alkali-activation of clay minerals. Cem. Concr. Res. 2020, 132, 106050. [Google Scholar] [CrossRef]
- Li, C.; Sun, H.; Li, L. A review: The comparison between alkali-activated slag (Si+Ca) and metakaolin (Si+Al) cements. Cem. Concr. Res. 2010, 40, 1341–1349. [Google Scholar] [CrossRef]
- He, C.; Osbaeck, B.; Makovicky, E. Pozzolanic reactions of six principal clay minerals: Activation, reactivity assessments and technological effects. Cem. Concr. Res. 1995, 25, 1691–1702. [Google Scholar] [CrossRef]
- Avet, F.; Snellings, R.; Alujas Diaz, A.; Ben Haha, M.; Scrivener, K. Development of a new rapid, relevant and reliable (R3) test method to evaluate the pozzolanic reactivity of calcined kaolinitic clays. Cem. Concr. Res. 2016, 85, 1–11. [Google Scholar] [CrossRef]
- Davidovits, J. Geopolymer Chemistry and Applications, 5th ed.; Institut Géopolymère: Saint-Quentin, France, 2020; ISBN 9782954453118. [Google Scholar]
- Provis, J.L. Alkali-activated materials. Cem. Concr. Res. 2018, 114, 40–48. [Google Scholar] [CrossRef]
- Habert, G.; d’Espinose de Lacaillerie, J.B.; Roussel, N. An environmental evaluation of geopolymer based concrete production: Reviewing current research trends. J. Clean. Prod. 2011, 19, 1229–1238. [Google Scholar] [CrossRef]
- Mayhoub, O.A.; Mohsen, A.; Alharbi, Y.R.; Abadel, A.A.; Habib, A.O.; Kohail, M. Effect of curing regimes on chloride binding capacity of geopolymer. Ain Shams Eng. J. 2021, 12, 3659–3668. [Google Scholar] [CrossRef]
- Favier, A.; Habert, G.; d’Espinose de Lacaillerie, J.B.; Roussel, N. Mechanical properties and compositional heterogeneities of fresh geopolymer pastes. Cem. Concr. Res. 2013, 48, 9–16. [Google Scholar] [CrossRef]
- Kashani, A.; Provis, J.L.; Qiao, G.G.; van Deventer, J.S. The interrelationship between surface chemistry and rheology in alkali activated slag paste. Constr. Build. Mater. 2014, 65, 583–591. [Google Scholar] [CrossRef]
- Lei, L.; Chan, H.-K. Investigation into the molecular design and plasticizing effectiveness of HPEG-based polycarboxylate superplasticizers in alkali-activated slag. Cem. Concr. Res. 2020, 136, 106150. [Google Scholar] [CrossRef]
- Lei, L.; Zhang, Y. Preparation of isoprenol ether-based polycarboxylate superplasticizers with exceptional dispersing power in alkali-activated slag: Comparison with ordinary Portland cement. Compos. Part B Eng. 2021, 223, 109077. [Google Scholar] [CrossRef]
- Habbaba, A.; Plank, J. Interaction Between Polycarboxylate Superplasticizers and Amorphous Ground Granulated Blast Furnace Slag. J. Am. Ceram. Soc. 2010, 93, 2857–2863. [Google Scholar] [CrossRef]
- Li, R.; Lei, L.; Sui, T.; Plank, J. Effectiveness of PCE superplasticizers in calcined clay blended cements. Cem. Concr. Res. 2021, 141, 106334. [Google Scholar] [CrossRef]
- Ng, S.; Plank, J. Interaction mechanisms between Na montmorillonite clay and MPEG-based polycarboxylate superplasticizers. Cem. Concr. Res. 2012, 42, 847–854. [Google Scholar] [CrossRef]
- Lei, L.; Plank, J. A study on the impact of different clay minerals on the dispersing force of conventional and modified vinyl ether based polycarboxylate superplasticizers. Cem. Concr. Res. 2014, 60, 1–10. [Google Scholar] [CrossRef]
- Alrefaei, Y.; Wang, Y.-S.; Dai, J.-G. The effectiveness of different superplasticizers in ambient cured one-part alkali activated pastes. Cem. Concr. Compos. 2019, 97, 166–174. [Google Scholar] [CrossRef]
- Alrefaei, Y.; Dai, J.-G. Effects of delayed addition of polycarboxylate ether on one-part alkali-activated fly ash/slag pastes: Adsorption, reaction kinetics, and rheology. Constr. Build. Mater. 2022, 323, 126611. [Google Scholar] [CrossRef]
- Alrefaei, Y.; Wang, Y.-S.; Dai, J.-G.; Xu, Q.-F. Effect of superplasticizers on properties of one-part Ca(OH)2/Na2SO4 activated geopolymer pastes. Constr. Build. Mater. 2020, 241, 117990. [Google Scholar] [CrossRef]
- Marchon, D.; Sulser, U.; Eberhardt, A.; Flatt, R.J. Molecular design of comb-shaped polycarboxylate dispersants for environmentally friendly concrete. Soft Matter 2013, 9, 10719–10728. [Google Scholar] [CrossRef]
- Kashani, A.; Provis, J.L.; Xu, J.; Kilcullen, A.R.; Qiao, G.G.; van Deventer, J.S.J. Effect of molecular architecture of polycarboxylate ethers on plasticizing performance in alkali-activated slag paste. J. Mater. Sci. 2014, 49, 2761–2772. [Google Scholar] [CrossRef]
- Sposito, R.; Beuntner, N.; Thienel, K.-C. Characteristics of components in calcined clays and their influence on the efficiency of superplasticizers. Cem. Concr. Compos. 2020, 110, 103594. [Google Scholar] [CrossRef]
- Lu, C.; Zhang, Z.; Shi, C.; Li, N.; Jiao, D.; Yuan, Q. Rheology of alkali-activated materials: A review. Cem. Concr. Compos. 2021, 121, 104061. [Google Scholar] [CrossRef]
- Nematollahi, B.; Sanjayan, J. Efficacy of Available Superplasticizers on Geopolymers. Res. J. Appl. Sci. Eng. Technol. 2014, 7, 1464–1468. [Google Scholar] [CrossRef]
- Zuhua, Z.; Xiao, Y.; Huajun, Z.; Yue, C. Role of water in the synthesis of calcined kaolin-based geopolymer. Appl. Clay Sci. 2009, 43, 218–223. [Google Scholar] [CrossRef]
- Favier, A.; Hot, J.; Habert, G.; Roussel, N.; d’Espinose de Lacaillerie, J.-B. Flow properties of MK-based geopolymer pastes. A comparative study with standard Portland cement pastes. Soft Matter 2014, 10, 1134–1141. [Google Scholar] [CrossRef]
- Bakharev, T.; Sanjayan, J.; Cheng, Y.-B. Effect of admixtures on properties of alkali-activated slag concrete. Cem. Concr. Res. 2000, 30, 1367–1374. [Google Scholar] [CrossRef]
- Collins, F.; Sanjayan, J.G. Early age strength and workability of slag pastes activated by sodium silicates. Mag. Concr. Res. 2001, 53, 321–326. [Google Scholar] [CrossRef]
- Verma, M.; Dev, N. Effect of SNF-Based Superplasticizer on Physical, Mechanical and Thermal Properties of the Geopolymer Concrete. Silicon 2022, 14, 965–975. [Google Scholar] [CrossRef]
- Palacios, M.; Puertas, F. Effect of superplasticizer and shrinkage-reducing admixtures on alkali-activated slag pastes and mortars. Cem. Concr. Res. 2005, 35, 1358–1367. [Google Scholar] [CrossRef]
- Palacios, M.; Houst, Y.F.; Bowen, P.; Puertas, F. Adsorption of superplasticizer admixtures on alkali-activated slag pastes. Cem. Concr. Res. 2009, 39, 670–677. [Google Scholar] [CrossRef]
- Luukkonen, T.; Abdollahnejad, Z.; Ohenoja, K.; Kinnunen, P.; Illikainen, M. Suitability of commercial superplasticizers for one-part alkali-activated blast-furnace slag mortar. J. Sustain. Cem. Based Mater. 2019, 8, 244–257. [Google Scholar] [CrossRef]
- Palacios, M.; Banfill, P.F.; Puertas, F. Rheology and Setting of Alkali-Activated Slag Pastes and Mortars: Effect of Organic Admixture. ACI Mater. J. 2008, 105, 140. [Google Scholar] [CrossRef]
- Yilmaz, V.T.; Odaba¢oǧlu, M.; İçbudak, H.; Ölmez, H. The degradation of cement superplasticizers in a high alkaline solution. Cem. Concr. Res. 1993, 23, 152–156. [Google Scholar] [CrossRef]
- Schmid, M.; Plank, J. Dispersing performance of different kinds of polycarboxylate (PCE) superplasticizers in cement blended with a calcined clay. Constr. Build. Mater. 2020, 258, 119576. [Google Scholar] [CrossRef]
- Refaie, M.; Mohsen, A.; Nasr, E.-S.A.R.; Kohail, M. The Effect of Structural Stability of Chemical Admixtures on the NaOH Alkali-Activated Slag Properties. J. Mater. Civ. Eng. 2023, 35, 04022367. [Google Scholar] [CrossRef]
- Zhang, D.-W.; Sun, X.-M.; Xu, Z.-Y.; Xia, C.-L.; Li, H. Stability of superplasticizer on NaOH activators and influence on the rheology of alkali-activated fly ash fresh pastes. Constr. Build. Mater. 2022, 341, 127864. [Google Scholar] [CrossRef]
- Tutal, A.; Partschefeld, S.; Schneider, J.; Osburg, A. Effects of bio-based plasticizers, made from starch, on the properties of fresh and hardened metakaolin-geopolymer mortar: Basic investigations. Clays Clay Miner. 2020, 68, 413–427. [Google Scholar] [CrossRef]
- Ferraz, E.; Andrejkovičová, S.; Hajjaji, W.; Velosa, A.L.; Silva, A.S.; Rocha, F. Pozzolanic activity of metakaolins by the French standard of the modified Chapelle test: A direct methology. Acta Geodyn. Geomater. 2015, 12, 289–298. [Google Scholar] [CrossRef]
- van der Donck, J.C.J.; Stein, H.N. Viscosity of silicate solutions. Langmuir 1993, 9, 2276–2280. [Google Scholar] [CrossRef]
- Yang, X.; Zhu, W.; Yang, Q. The Viscosity Properties of Sodium Silicate Solutions. J. Solut. Chem. 2008, 37, 73–83. [Google Scholar] [CrossRef]
- Palacios, M.; Puertas, F. Estabilidad de aditivos superplastificantes y reductores de la retracción en medios fuertemente básicos. Mater. Construcc. 2004, 54, 65–86. [Google Scholar] [CrossRef]










| HPEG-PCE | IPEG-PCE | MPEG-PCE | |
|---|---|---|---|
| Mn [kDa] | 25.0 ± 0.3 | 19.4 ± 0.5 | 28.1 ± 0.6 |
| Mw [kDa] | 39.6 ± 0.3 | 31.6 ± 0.3 | 46.6 ± 0.5 |
| PDI | 1.59 ± 0.0 | 1.63 ± 0.0 | 1.66 ± 0.0 |
| polymer content [%] | 87.7 | 82.4 | 89.5 |
| HPEG-PCE Mn/Mw [kDa] | IPEG-PCE Mn/Mw [kDa] | MPEG-PCE Mn/Mw [kDa] | |
|---|---|---|---|
| Reference | 25.0/39.6 | 19.4/31.6 | 28.1/46.6 |
| 1 M NaOH | 21.4/37.5 | 17.3/27.9 | 20.0/33.0 |
| 4 M NaOH | 19.2/36.7 | 14.9/23.9 | 17.6/31.5 |
| 8 M NaOH | 16.7/31.2 | 13.0/23.0 | 14.0/22.8 |
| 1 M KOH | 22.2/38.6 | 17.8/25.3 | 26.8/43.9 |
| 4 M KOH | 20.2/31.8 | 15.1/24.2 | 24.7/40.1 |
| 8 M KOH | 17.9/28.8 | 13.6/22.4 | 16.4/27.6 |
Disclaimer/Publisher’s Note: The statements, opinions and data contained in all publications are solely those of the individual author(s) and contributor(s) and not of MDPI and/or the editor(s). MDPI and/or the editor(s) disclaim responsibility for any injury to people or property resulting from any ideas, methods, instructions or products referred to in the content. |
© 2023 by the authors. Licensee MDPI, Basel, Switzerland. This article is an open access article distributed under the terms and conditions of the Creative Commons Attribution (CC BY) license (https://creativecommons.org/licenses/by/4.0/).
Share and Cite
Partschefeld, S.; Tutal, A.; Halmanseder, T.; Schneider, J.; Osburg, A. Investigations on Stability of Polycarboxylate Superplasticizers in Alkaline Activators for Geopolymer Binders. Materials 2023, 16, 5369. https://doi.org/10.3390/ma16155369
Partschefeld S, Tutal A, Halmanseder T, Schneider J, Osburg A. Investigations on Stability of Polycarboxylate Superplasticizers in Alkaline Activators for Geopolymer Binders. Materials. 2023; 16(15):5369. https://doi.org/10.3390/ma16155369
Chicago/Turabian StylePartschefeld, Stephan, Adrian Tutal, Thomas Halmanseder, Jens Schneider, and Andrea Osburg. 2023. "Investigations on Stability of Polycarboxylate Superplasticizers in Alkaline Activators for Geopolymer Binders" Materials 16, no. 15: 5369. https://doi.org/10.3390/ma16155369
APA StylePartschefeld, S., Tutal, A., Halmanseder, T., Schneider, J., & Osburg, A. (2023). Investigations on Stability of Polycarboxylate Superplasticizers in Alkaline Activators for Geopolymer Binders. Materials, 16(15), 5369. https://doi.org/10.3390/ma16155369

