Next Article in Journal
Environmental and Economic Benefits of Using Pomegranate Peel Waste for Insulation Bricks
Next Article in Special Issue
Application of Metal Shielding Materials to Protect Buildings Occupants from Exposure to the Electromagnetic Fields
Previous Article in Journal
Investigations on Stability of Polycarboxylate Superplasticizers in Alkaline Activators for Geopolymer Binders
Previous Article in Special Issue
Development of an Instantaneous Loading Impact Test System for Containment of a Nuclear Power Plant during Aircraft Impact on Steel Bar Joints
 
 
Font Type:
Arial Georgia Verdana
Font Size:
Aa Aa Aa
Line Spacing:
Column Width:
Background:
Article

Investigation of the Cutting Fluid Incidence Angle Direction in Turning Grade 5 ELI Titanium Alloy under High-Pressure Cooling Conditions

by
Grzegorz Struzikiewicz
Faculty of Mechanical Engineering and Robotics, AGH University of Science and Technology, 30-059 Cracow, Poland
Materials 2023, 16(15), 5371; https://doi.org/10.3390/ma16155371
Submission received: 4 July 2023 / Revised: 22 July 2023 / Accepted: 27 July 2023 / Published: 31 July 2023
(This article belongs to the Special Issue Manufacturing Technology, Materials and Methods)

Abstract

The use of high-pressure cooling (HPC) in machining can increase the efficiency and improve process stability through more effective breaking and chip evacuation. Turning tests of the Grade 5 ELI titanium alloy were carried out using cemented carbide tools and taking into account the direction of feeding of the cutting liquid. Measurements of the components of the total cutting force were carried out for feeds in the range f = <0.08; 0.13> mm/rev and two angular settings (i.e., angle α = <30°; 90°> and β = <0°; 60°>) of the nozzle. The chip breakage coefficient was determined. It was shown that the cutting force values depended on the feed value, and the angle of feeding of the cutting fluid did not significantly affect the values of the cutting forces. Despite the different forms of chips obtained, the applied method of searching for the best conditions was unsuccessful and no significant effect on the values of the chip breaking coefficient Cch was observed. To determine the best nozzle setting, it is useful to determine the working area of the chip breaker. Due to the shape of the chip, the optimal angular setting for the nozzle that supplied the cutting fluid was α = 60° and β = 30°. In addition, it was observed that the angle of incidence of the cutting fluid jet could affect the chip formation process and support the chip cracking process.

1. Introduction

The machining of titanium alloys is a topical issue, especially in the context of their production and operation. The optimisation of existing machining processes and the development of new techniques to ensure the expected machining efficiency with the desired quality and low costs are the main directions of research for difficult-to-cut materials, including titanium alloys [1,2]. Difficult-to-cut materials are materials with special properties, such as mechanical properties, thermal conductivity, or chemical reactivity. This group of materials includes the so-called nickel- and cobalt-based superalloys, titanium alloys, and heat-resistant steels [3,4,5]. Titanium alloys are used most frequently by the chemical and marine industries due to their excellent corrosion resistance [1,2]. Because it is an inert material in contact with biological tissue, it is used in the medical and dental industry for surgical and prosthetic implants [6]. Ti6Al4V-ELI (Extra Low Interstitials), also called Grade 5 ELI titanium alloy, contains less oxygen, nitrogen, carbon, and iron than a typical Ti6Al4V alloy. The increase in the percentage of these elements improves the ductility and fracture resistance of the material. These particular properties mean that this alloy is used in dentistry and medicine, e.g., for orthopaedic implants [6,7,8]. In turn, the high strength-to-weight ratio of titanium alloys allows their use in the auto- and aero-industries [2]. Despite the known causes and difficulties repeatedly described in the literature, research is still being carried out to broaden knowledge in the machining of titanium alloys. The area of research focused on the machining of titanium alloys is mainly concerned with the influence of the cutting parameters on the quality of the machined surface and the determination of the values of the forces and temperature in the cutting zone [3]. Another area of research concerns the issues of the process of chip formation and cracking during machining, as well as their computer simulation [9]. An overview of the listed issues is briefly presented in the text below.
Due to the high temperature values in the cutting zone and the stress concentration at the edge of the cutting edge, approximately 80% of the heat is supplied and transferred by the cutting tool [3,10]. This is because of the low thermal conductivity value, which causes accelerated tool wear during cutting. To improve the machinability of titanium alloys, various cooling machining techniques have been developed: minimum quantity lubrication (MQL) [11,12], high-pressure cooling (HPC) [13,14], or cryo-machining [15,16].
A frequently discussed issue by researchers is machining under the elevated pressure of the cutting fluid fed into the cutting zone. Currently used systems enable the feeding of the cutting fluid with a pressure from 50 to even 1000 bar. Compared to conventional cooling, HPC-based machining can use a higher cutting speed, which increases the production efficiency. Moreover, by reducing the temperature in the cutting zone, the tool life can be increased by 5 to 15 times. However, the basic application of this method is to support the chip breaking process. Not without significance is also the increase in chip removal efficiency outside the machining zone [17,18].
In the field of turning titanium alloys, Palanisamy et al. [18] described a series of experiments at different cutting parameters and pressure levels for carbide insert machining. Studies have shown that the use of a high-pressure cutting fluid improves the process of breaking and removing chips from the cutting zone. The reason is the mechanical impact of the liquid stream on the chips formed. They also found that HPC machining increases the tool life by almost three times compared to conventional cooling. In turn, Ezugwu et al. [19] comparatively analysed the machinability of a titanium alloy under conventional and high-pressure cooling conditions in the machining zone. They analysed the influence of different cutting parameters using tools made of cemented carbides coated with different coatings. The use of a high pressure reduces the cutting force components, ensures the desired brittleness of the chip, and results in less wear to the cutting tool. Stolf et al. [20] also analysed the wear mechanism in terms of tool–chip contact conditions when machining Ti6Al4V with HPC supply. They concluded that the coolant pressure and the maximum flank wear were inversely proportional to each other, indicating an influence of the heat directed towards the flank face of the cutting tool on the abrasion process. The experiments also showed a tool temperature reduction and a positive impact on the chip breakability process for HPC machining. Others have discussed and analysed the issue of the mechanism of tool wear during the high-speed machining of titanium alloys [21]. They showed that the tool life decreased with increasing cutting speed and improved productivity was achieved during high-pressure cooling. The high pressure of the cutting fluid causes the fluid to enter the slip zone, reducing the friction and temperature. A high-pressure coolant jet causes chip lifting, resulting in a reduced tool contact time and chip curl radius [19].
Attention is also paid to the aspect of the direction of the fluid supply to the cutting zone. Liang et al. [22] investigated the surface integrity of Ti6Al4V at different cooling pressures and injection positions. The researchers examined three injection positions, i.e., only the rake face injection, only the flank face injection, and both rake/flank face injection. They observed that, compared dry with HPC cutting conditions, the 3D surface roughness parameters decreased under high-pressure jet-assisted machining. Furthermore, Masek et al. [23] analysed the influence of the direction of the liquid supply to the cutting zone when machining with PCD tools. The investigation showed that when machining titanium alloys, dual cooling, at both the rake and the flank face, is highly recommended, and also the results illustrated that the appropriate HPC intensity was around 60 bar. The tool wear was reduced and the cutting edge was preserved. This resulted in an increase in the efficiency of the chip breaking process. In the literature, there are not enough research results on the effect of different values of the liquid delivery angle on the rake face of the insert in HPC turning.
Several described studies have focused on the optimisation and simulation of titanium alloy machining. For example, Grzesik et al. [24] presented an analysis of the tribological issues of the machining of the Ti6Al4V alloy, taking into account tool wear. Çolak [25] carried out the optimisation of HPC treatment using genetic algorithms due to the desired surface roughness. In addition, the finite element method for the titanium alloy machining simulation and optimisation process was described, taking into account the cutting force (Fc), tool life (T), surface roughness (Ra), material removal rate, and breakage of the chips [9,26,27,28]. Surface roughness and chip breakage were selected as optimisation criteria due to their importance to the finishing turning process. Physical difficulties in the machining of titanium alloys also translate into the complexity of computer simulation. The most frequently undertaken work in this area is related to the description of the calculation method or the adopted material model [29]. In turn, Moaz et al. [9] discussed the issues of the simulation of titanium alloy machining using various computer programs.
Due to the problems described above in obtaining the effective machining of titanium alloys, turning tests were carried out under HPC conditions. It should be noted that the presented research is a continuation of work [30] on the machinability of the Grade 5 ELI titanium alloy. The main aim of the previous analysis was to determine the areas of correct work of the chip breaker. In the current research, the direction of the cutting fluid was taken into account in the experiments. The aim was to increase our knowledge about the possibilities of improving the productivity and the chip breaking process when turning titanium alloys. The novelty was the analysis of the influence of the angle of liquid supply on the rake face of the cutting insert. The research plan was designed according to the Taguchi method and consisted of 18 test systems for different feed values (f) and directions (two angles α and β) of injection of the liquid stream on the rake face of the cutting tool. During the cutting force experiments, the cutting forces (Fc, Fp, Ff) were recorded and microscopic analysis of the chips form was carried out at a constant pressure value p = 150 bar.

2. Materials and Methods

The mechanical properties and chemical composition of the workpiece (based on the technical data of the material supplier) are shown in Table 1. The longitudinal turning process under the conditions of cooling with increased pressure was analysed. Cutting tests were carried out for different directions of the coolant jet fed to the rake face of the cutting tool. The tests were conducted in longitudinal turning on a conventional lathe, equipped with a high-pressure plunger pump of 150 MPa pressure. A single nozzle of a specially adapted external machining feeding system was used. The angular position of the nozzle and the distance from the rake face were manually set with accuracy of ±2 degrees. A separate nozzle connected to the high-pressure hose was prepared. Clamps were used to ensure the position of the nozzle in the holder.
In the cutting tests, grade 1115 CNGG120404 cutting inserts with the SGF chip breaker and the Sandvik Coromant PCLNR2020K12HP toolholder were used. The radius of the corner of the cutting insert rε = 0.4 mm was selected. The material was machined with a roller with a diameter of Dc = 50 mm. A constant cutting fluid pressure of p = 150 bar was used, and Blaser’s 10% Blasocut 2000 universal emulsion was used as the cutting fluid. A constant value of the cutting speed vc = 70 m/min and the cutting depth ap = 0.5 mm was assumed. The selected cutting parameters were within the range of those of finishing titanium alloys. The experimental research plan was developed according to the Taguchi method [31,32] for three variables, namely the feed f and two incidence angle values (α and β) of feeding for a jet of liquid onto the rake face of the cutting tool. The 18 test systems were designated. Each cutting test was repeated three times. Table 2 shows the accepted ranges of the cutting data values. The values of the cutting parameters were within the ranges of the cutting parameters recommended by the tool manufacturer.
The S/N ratio analysis strategy was adopted as “the lowest-best” according to Formula (1) [31,32].
S / N = 10 · log ( 1 n i = 1 n y i 2 )
Table 3 presents the test plan with the real values of the parameters used in the individual cutting tests.
During the research, measurements of the components of the total cutting force and microscopic measurements of the chip dimensions were carried out. To record and analyse the components of the cutting forces, a measuring track based on the 9257B dynamometer and the 5070B Kistler amplifier was used. A diagram of the measuring track together with the shape of the SGF chip breaker and an example of the recorded cutting forces are presented in Figure 1. Microscopic chip analysis was carried out using Keyence’s VHX-7000 3D, Keyence Corporation, Osaka, Japan microscope with dedicated measurement software.
It should be noted that the characteristics and classification of chips are inherently unclear or fuzzy [17]. In general, factors that affect the formation and shape of the chips are the cutting parameters, the shape of the rake surface of the cutting tool, and the way that the cutting fluid is delivered to the cutting zone. For this reason, an attempt was made to determine chips using geometric characteristics in accordance with their practical acceptability in industry [33,34]. In practice, a typical approach is to describe chips using terms such as excellent, good, weak, etc.
The paper assumes modified characteristics of chips as presented by the authors of [33,35]. In general, chips can be described both linguistically and numerically according to rule (2), i.e.,
C h i p _ f o r m = S N d f 1 , d f 2
where N = 1……4 represents four different types of chip shapes, i.e., arc/mass, spiral/circular, spiral/tubular, and ribbon, and df1, df2 represent the two main dimensional characteristics of the chip, respectively. On the other hand, dimensional features converted into numerical values can be used to classify chips and determine their breakage coefficients [35,36]. In the research, the chip breakage index Cch (Figure 2) takes values from 0 to 1 and is described by the relationship (3). Lower Cch values represent better chip breakability.
C c h D i m e n s i o n = D i m c h       i f   0 < D i m c h < D i m c h _ l i m i t   2   1            i f   D i m c h D i m c h _ l i m i t   2
During the research, the analysis of the chip forms and their classification and evaluation were carried out. Over the research, only two forms of chips obtained during the machining tests were observed, i.e., arc- and spiral-type chips. For these types of chips, the dimensional characteristics were adopted according to Table 4. Based on the measured dimensions of the chips obtained, the chip breakage coefficient was determined according to Formulas (4)–(7).
D i m c h = W c h ¯ + H c h ¯ = 1 n i = 1 n W c h i + i = 1 n H c h i
D i m c h = L c h ¯ + D c h ¯ = 1 n i = 1 n L c h i + i = 1 n D c h i
where n is the number of chips.
C c h W c h , H c h = 0.01 · W c h ¯ + H c h ¯       i f   W c h ¯ + H c h ¯ 1    1   c o n s t a n s              i f   W c h ¯ + H c h ¯ > 1
C c h L c h , D c h = 0.01 · L c h ¯ + D c h ¯       i f   L c h ¯ + D c h ¯ 1    1   c o n s t a n s              i f   L c h ¯ + D c h ¯ > 1
In the cutting tests carried out, only long spiral or short arc chips were obtained. The main criterion for the assessment of chip form was the chip dimensions, i.e., length and height for arc chips or length and spiral diameter for helical chips. A three-stage assessment of the chip form was assumed, i.e., correct chips up to 5 mm long, acceptable chips up to 5–20 mm long, and unacceptable chips over 20 mm long. The following markings were adopted when assessing the form of the chips: “+”—chips correct (good); “−”—chips incorrect (poor); “0”—chips acceptable (fair). Examples of photographs of chips obtained during the cutting tests are shown in Figure 3. Figure 4 presents examples of the measurements of the dimensional features obtained in the chip tests.

3. Results and Discussion

According to the adopted research plan, the components of the total cutting force and the dimensions of the chips obtained were measured. The influence of the assumed variables, i.e., feed values f (mm/rev) and angles of the nozzle feeding the cutting fluid α (deg.), β (deg.) on the values of the components of the total cutting force, i.e., cutting Fc (N), feed Ff (N) and passive Fp (N), was analysed. Table 5 presents the results of the average values of the peripheral component of Fc_mean and the breakage coefficient of Cch_mean chips, as well as the values of the SN parameter obtained in individual test systems. Table 6 and Table 7 present a statistical analysis of the test results.
Analysis of the measurement results showed a dominant linear dependence of the values of all components of the total cutting force on the feed value f when HPC was used to turn the Grade 5 ELI titanium alloy. Increasing the feed f = 0.08 mm/rev by 0.05 mm/rev caused an increase in the mean value of the Fc component by approximately 77%. However, the angle of the nozzle applied to the feed liquid to the cutting insert rake face did not have a significant impact on the values of the components of the total cutting force.
Figure 5 graphically shows the influence of individual variables on the average value of the main cutting force Fc for the case of the longitudinal turning of titanium alloy Grade 5 ELI.
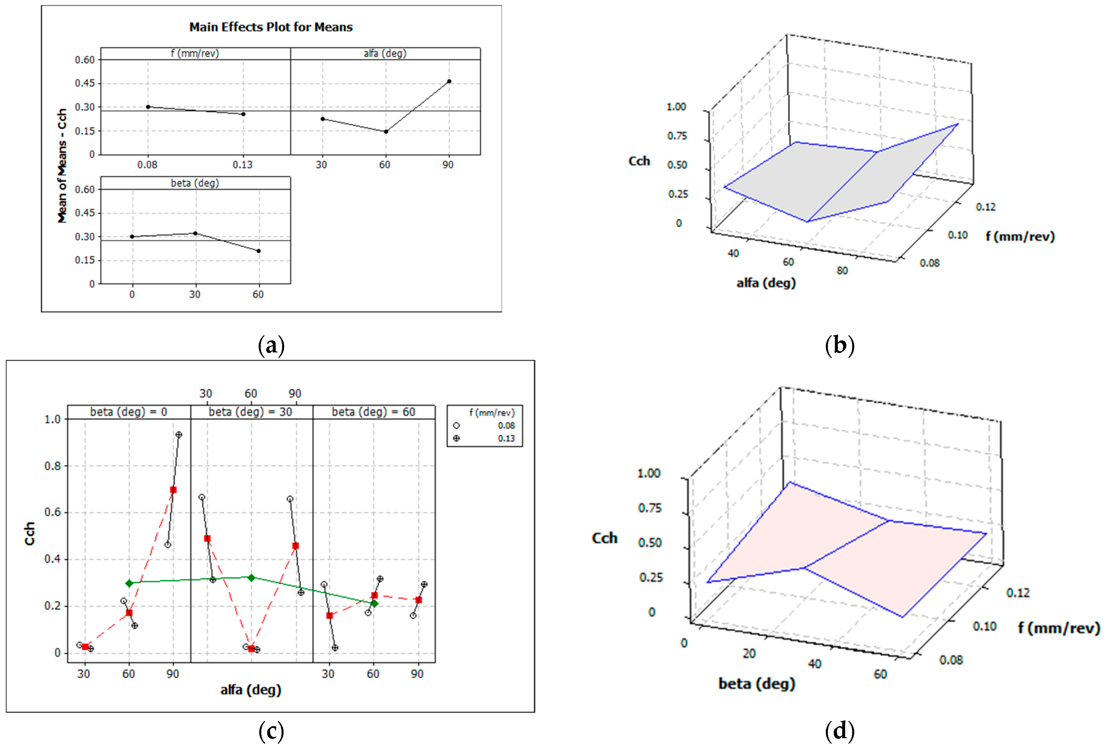
Figure 6 graphically shows the influence of individual variables on the average value of the chip breakage coefficient Cch for the case of the longitudinal turning of titanium alloy Grade 5 ELI.
The analysis of the results of the data presented in Figure 6 and Table 7 does not indicate a clear influence of the angle of incidence of the cutting fluid on the chip breaking coefficient Cch. This can be explained by the fact that the use of the Taguchi method to find the best solution can be difficult. However, on the other hand, the measurements of the dimensions of the chips obtained and their form were varied. Therefore, to correctly interpret the results obtained, additional analyses were necessary, such as determining the chip breaker work area. Table 8 presents the evaluation of the form of the chips obtained in the experimental tests for the finishing range of the turning of Grade 5 ELI alloy.
The analysis of the data (Table 8) obtained showed that the form of the chips in the longitudinal turning process was significantly influenced by the values of the angle of incidence of the liquid stream fed into the cutting zone. For feed f = 0.08 mm/rev, a favourable and acceptable chip form was obtained at an angle of α = 60° and angle values of β = 30° and β = 60°. Furthermore, a correct or acceptable chip form was obtained for angles α = 30° and β = 0° and α = 90° and β = 60°. On the other hand, for a higher feed value of f = 0.13 mm/rev, and thus a higher cross-sectional value of the cutting layer, more cases of obtaining a corrected chip form (more fine arc chips) were observed. The unacceptable form of the chips was obtained more often for increasing values of the α and β angles (generally for α = 90° and β = 60°). It could be seen that the form of the chips depended on the feed value. This was probably related to the increase in the strength of chips with a larger cross-section. Furthermore, for a higher feed value, the change in chip form could be influenced by an increase in the filling rate of the chip groove (chip reel) on the rake surface and an increasing contribution of the lift angle and height of the back wall of the chip breaker in the chip breaking process. The profile of the chip breaker used in the tests is shown in Figure 1c. For small feed rates, the chip groove may not be adequately filled with the workpiece material. This can cause a change in the mechanism of cracking and chip breaking. This process can also depend on the pressure of the liquid or the direction of its entry into the cutting zone. The cutting fluid fed to the outer surface of the chip causes the cracking of the chip by increasing the twisting of the chip, as well as flattening in the initial period of chip formation. Chip cracking occurs at the weakest points of the chip segments to be formed. Figure 7 shows an example the chip cracking process for different cutting fluid angles obtained from a computer simulation and photographs of chips with marked cracks and chip flattening area. To determine the influence of the angle of incidence of the cutting fluid on the cutting zone and the chip formation method, the turning process was simulated. The Johnson–Cook Equation (8) was used as the constitutive model. Table 9 presents the main model parameters and mechanical and thermal coefficients for the workpiece material.
σ α ,   α , ˙ T = ( A + B α n ) ( 1 + C l n α ˙ α 0 ˙ ) ( 1 T T r o o m T m e l t T r o o m m
where A is the yield stress, B is the strain hardening coefficient, C is the strain rate dependence coefficient, n is the strain hardening exponent, and m is the material parameters of the temperature dependence coefficient. Tmelt is the melting temperature for the material, α ˙ is an equivalent plastic strain rate, and α 0 ˙ is the reference strain rate.
HPC was modelled in the FEM software as a boundary condition in the form of the coolant pressure acting with different directions on the chip. In the simulation, a constant cutting fluid pressure was set: p = 150 bar. This is shown schematically in Figure 7a,b. The simulation showed the significant influence of the angle of incidence of the cutting fluid on the cracking mechanism of the chip and that the most vulnerable area of the formed chip was its segmentation sites. It should be noted, however, that the cutting process simulation was a 2D simulation and did not take into account the variable shape of the chip breaker profile. However, analysis of the simulation results showed that the chip breaking process occurred most often as a result of chips hitting the untreated surface. Similar conclusions were presented in [30]. The pressure acting on the outside of the formed chip and the direction of the treated fluid affect the change in the direction of the chip flow. This supports the chip cracking process. Chip breakage can occur in the area of chip flattening caused by the cutting fluid jet. Figure 7c,d show microscopic photographs of chips obtained from the research with marked fracture locations along chip segmentation and areas of chip flattening due to the working fluid pressure.

4. Conclusions

The purpose of this experimental research was to analyse the machinability of the Grade 5 ELI titanium alloy with tools made of cemented carbides under the conditions of finishing machining with the increased pressure of the cutting fluid. The main area of analysis was to determine the influence of the direction of the cutting fluid on the values of the cutting forces and the form of the chips obtained. The results of the analysis showed the following.
-
The values of the components of the total cutting force depended linearly on the feed and did not significantly depend on the direction of feeding of the cutting fluid. The lowest cutting force values Fc were obtained for the feed f = 0.08 mm/rev. The angular direction of the cutting fluid feed caused a slight change in the cutting force Fc value, i.e., on average, of several percent.
-
The form of chips obtained (correct, acceptable, and unacceptable) depend on the range of feed values used and the angle of feeding of the cutting fluid to the cutting zone. The results indicate that the liquid feed angle does not have a significant effect on the value of the chip breaking coefficient and the low usefulness of the Taguchi method in finding the optimal nozzle setting. In practice, it seems to be a better solution to determine the working area of the chip breaker. Due to the form of the chips under the conditions assumed in the test, the optimal angular settings of the nozzle that fed the cutting liquid were α = 60° and β = 30°.
-
Under HPC machining conditions, the process of forming and breaking chips depends mainly on the feed value. The chip breaker mechanism can also be influenced by the shape and degree of filling of the chip breaker on the rake face. The direction and method of feeding of the cutting fluid support both the winding and the breaking of the chips. Cutting fluid fed with an elevated strait on the outside of the formed chip can initiate the cracking and breaking process of the formed chip. There is synergistic action among the factors affecting the obtained form of chips, i.e., the assumed values of the cutting parameters (in particular, the feed), the degree of filling of the shape of the chip groove, and the direction and pressure of the cutting fluid. The direction of the liquid can support the cracking process of the chip. The set liquid pressure supports the chip breaking process by changing the direction of the chip flow. This results in the correct chip breaking cycle. Determining the correct angular position of the cutting fluid nozzle can be important for designers and tool holder manufacturers. Users of the currently used solutions can only slightly adjust (position) the nozzle dosing the cutting liquid (e.g., Iscar holders).

Funding

This research received no external funding.

Institutional Review Board Statement

Not applicable.

Informed Consent Statement

Not applicable.

Data Availability Statement

Data available in a publicly accessible repository.

Conflicts of Interest

The author declares no conflict of interest.

References

  1. Pramanik, A.; Littlefair, G. Machining of Titanium Alloy (Ti-6Al-4V)—Theory to Application. Mach. Sci. Technol. 2015, 19, 1–49. [Google Scholar] [CrossRef]
  2. Saini, A.; Pabla, B.S.; Dhami, S.S. Developments in cutting tool technology in improving machinability of Ti6Al4V alloy: A review. Proc. Inst. Mech. Eng. J. Eng. Manuf. 2016, 230, 1977–1989. [Google Scholar] [CrossRef]
  3. Arrazola, P.J.; Garaya, A.; Iriarte, L.M.; Armendia, M.; Marya, S.; Le Maître, F. Machinability of titanium alloys (Ti6Al4V and Ti555.3). J. Mater. Process. Technol. 2009, 209, 2223–2230. [Google Scholar] [CrossRef]
  4. Zębala, W.; Struzikiewicz, G.; Rumian, K. Cutting Forces and Tool Wear Investigation during Turning of Sintered Nickel-Cobalt Alloy with CBN Tools. Materials 2021, 14, 1623. [Google Scholar] [CrossRef]
  5. Liu, L.; Thangaraj, M.; Karmiris-Obratański, P.; Zhou, Y.; Annamalai, R.; Machnik, R.; Elsheikh, A.; Markopoulos, A.P. Optimization of Wire EDM Process Parameters on Cutting Inconel 718 Alloy with Zinc-Diffused Coating Brass Wire Electrode Using Taguchi-DEAR Technique. Coatings 2021, 12, 1612. [Google Scholar] [CrossRef]
  6. Froes, F.H.; Qian, M. Titanium in Medical and Dental Applications, 1st ed.; Woodhead Publishing: Sawston Cambridge, UK, 2018. [Google Scholar] [CrossRef]
  7. Kent, D.; Rashid, R.R.; Bermingham, M.; Attar, H.; Sun, S.; Dargusch, M. Insights into Machining of a Titanium Biomedical Alloy from Chip Microstructures. Metals 2018, 8, 710. [Google Scholar] [CrossRef]
  8. Festas, A.; Ramos, A.; Davim, J.P. Machining of titanium alloys for medical application—A review. Proc. Inst. Mech. Eng. J. Eng. Manuf. 2021, 236, 309–318. [Google Scholar] [CrossRef]
  9. Moaz, H.A.; Ansari, M.N.M.; Khidhir, B.A.; Bashir, M.; Oshkour, A.A. Simulation machining of titanium alloy (Ti-6Al-4V) based on the finite element modeling. J. Braz. Soc. Mech. Sci. Eng. 2014, 36, 315–324. [Google Scholar]
  10. Hosokawa, A.; Kosugi, K.; Ueda, T. Turning characteristics of titanium alloy Ti-6Al-4V with high-pressure cutting fluid. CIRP Ann. 2022, 71, 81–84. [Google Scholar] [CrossRef]
  11. Pimenov, D.Y.; Mia, M.; Gupta, M.K.; Machado, A.R.; Tomaz, I.V.; Sarikaya, M.; Wojciechowski, S.; Mikołajczyk, T.; Kapłonek, W. Improvement of machinability of Ti and its alloys using cooling-lubrication techniques: A review and future prospect. J. Mater. Res. Technol. 2021, 11, 719–753. [Google Scholar] [CrossRef]
  12. Kumari, S.; Shah, M.; Modi, Y.; Bandhu, D.; Zadafiya, K.; Abhishek, K.; Saxena, K.K.; Msomi, V.; Mohammed, K.A. Effect of Various Lubricating Strategies on Machining of Titanium Alloys: A State-of-the-Art Review. Coatings 2022, 12, 1178. [Google Scholar] [CrossRef]
  13. Liu, W.; Liu, Z. High-pressure coolant effect on the surface integrity of machining titanium alloy Ti-6Al-4V: A review. Mater. Res. Express 2018, 5, 032001. [Google Scholar] [CrossRef]
  14. Singh, J.; Gill, S.S.; Dogra, M.; Singh, R. A review on cutting fluids used in machining processes. Eng. Res. Express 2021, 3, 012002. [Google Scholar] [CrossRef]
  15. Khanna, N.; Agrawal, C.; Pimenov, D.Y.; Singla, A.K.; Machado, A.R.; da Silva, L.R.R.; Gupta, M.K.; Sarikaya, M.; Krolczyk, G.M. Review on design and development of cryogenic machining setups for heat resistant alloys and composites. J. Manuf. Process. 2021, 61, 398–422. [Google Scholar] [CrossRef]
  16. Shi, L.; Wang, T.; Liu, E.; Wang, R. Lubrication Mechanism of scCO2-MQL in the Assisted Machining of Titanium Alloys. Machines 2023, 11, 291. [Google Scholar] [CrossRef]
  17. Gao, Y.; Wang, G.; Liu, B. Chip formation characteristics in the machining of titanium alloys: A review. Int. J. Mach. Mach. Mater. 2016, 18, 155–184. [Google Scholar] [CrossRef]
  18. Palanisamy, S.; McDonald, S.D.; Dargush, M.S. Effects of coolant pressure on chip formation while turning Ti6AlV alloy. Int. J. Mach. Tools Manuf. 2009, 49, 739–743. [Google Scholar] [CrossRef]
  19. Ezugwu, E.O.; Bonney, J.; Da Silva, R.B.; Machado, A.R.; Ugwoha, E. High productivity rough turning of Ti-6Al-4V alloy with flood and high-pressure cooling. Soc. Tribol. Lubr. Eng. Tribol. Trans. 2009, 52, 95–400. [Google Scholar] [CrossRef]
  20. Stolf, P.; Paiva, J.M.; Ahmed, Y.S.; Endrino, J.L.; Goel, S.; Veldhuis, S.C. The role of high-pressure coolant in the wear characteristics of WC-Co tools during the cutting of Ti-6Al-4V. Wear 2019, 440–441, 203090. [Google Scholar] [CrossRef]
  21. Da Silva, R.B.; Machado, Á.R.; Ezugwu, E.O.; Bonney, J.; Sales, W.F. Tool life and wear mechanisms in high speed machining of Ti-6Al-4V alloy with PCD tools under various coolant pressures. J. Mater. Process. Technol. 2013, 213, 1459–1464. [Google Scholar] [CrossRef]
  22. Liang, X.; Liu, Z.; Liu, W.; Wang, B.; Yao, G. Surface integrity analysis for high-pressure jet assisted machined Ti-6Al-4V considering cooling pressures and injection positions. J. Manuf. Process. 2019, 40, 149–159. [Google Scholar] [CrossRef]
  23. Masek, P.; Maly, J.; Zeman, P.; Heinrich, P.; Alagan, N.T. Turning of titanium alloy with PCD tool and high-pressure cooling. J. Manuf. Process. 2022, 84, 871–885. [Google Scholar] [CrossRef]
  24. Grzesik, W.; Niesłony, P.; Habrat, W. Investigation of the tribological performance of AlTiN coated cutting tools in the machining of Ti6Al4V titanium alloy in terms of demanded tool life. Eksploat. I Niezawodn.—Maint. Reliab. 2019, 21, 153–158. [Google Scholar] [CrossRef]
  25. Çolak, O. Optimization of machining performance in high-pressure assisted turning of Ti6Al4V alloy. J. Mech. Eng. 2014, 60, 675–681. [Google Scholar] [CrossRef]
  26. Kluz, R.; Habrat, W.; Bucior, M.; Krupa, K.; Sęp, J. Multi-criteria optimization of the turning parameters of Ti-6Al-4V titanium alloy using the Response Surface Methodology. Eksploat. I Niezawodn.—Maint. Reliab. 2022, 24, 668–676. [Google Scholar] [CrossRef]
  27. Ren, Z.; Qu, S.; Zhang, Y.; Li, X.; Yang, C. Machining Performance of TiAlN-Coated Cemented Carbide Tools with Chip Groove in Machining Titanium Alloy Ti-6Al-0.6Cr-0.4Fe-0.4Si-0.01B. Metals 2018, 8, 850–866. [Google Scholar] [CrossRef]
  28. Wang, X.; Da, Z.J.; Balaji, A.K.; Jawahir, I.S. Performance-based predictive models and optimization methods for turning operations and applications: Part 3—Optimum cutting conditions and selection of cutting tools. J. Manuf. Process. 2007, 9, 61–74. [Google Scholar] [CrossRef]
  29. Mohd Hadzley, A.B.; Izamshah, R.; Siti Sarah, A.; Nurul Fatin, N. Finite Element Model of Machining with High Pressure Coolant for Ti-6Al-4V alloy. Procedia Eng. 2013, 53, 624–631. [Google Scholar] [CrossRef]
  30. Słodki, B.; Zębala, W.; Struzikiewicz, G. Turning titanium alloy, Grade 5 ELI, with the implementation of High Pressure Coolant. Materials 2019, 12, 768. [Google Scholar] [CrossRef]
  31. Sureban, R.; Kulkarni, V.N.; Gaitonde, V.N. Modern Optimization Techniques for Advanced Machining Processes—A Review. Mater. Today Proc. 2019, 18, 3034–3042. [Google Scholar] [CrossRef]
  32. Mitra, A. The Taguchi method. WIREs Comput. Stat. 2011, 3, 385–481. [Google Scholar] [CrossRef]
  33. Fei, J.; Jawahir, I.S. A new approach for chip-form characterization in metal machining. In Proceedings of the North American Manufacturing Research Conference, Evanston, IL, USA, 25–27 May 1994; pp. 11–17. [Google Scholar]
  34. Yılmaz, B.; Karabulut, S.; Güllü, A. A review of the chip breaking methods for continuous chips in turning. J. Manuf. Process. 2020, 49, 50–69. [Google Scholar] [CrossRef]
  35. Fang, X.D.; Fei, J.; Jawahir, I.S. A hybrid algorithm for predicting chip form/chip breakability in machining. Int. J. Mach. Tools Manuf. 1996, 36, 1093–1107. [Google Scholar] [CrossRef]
  36. Lee, Y.M.; Yang, S.H.; Chang, S.I. Assessment of chip-breaking characteristics using new chip-breaking index. J. Mater. Process. Technol. 2006, 173, 166–171. [Google Scholar] [CrossRef]
Figure 1. Measuring track system (a) general diagram, (b) setting of the nozzle feeding the cutting fluid, (c) dimensions of the SGF chip breaker, (d) example of the components of the total cutting force: f = 0.13 mm/rev, α = 60°, β = 60°.
Figure 1. Measuring track system (a) general diagram, (b) setting of the nozzle feeding the cutting fluid, (c) dimensions of the SGF chip breaker, (d) example of the components of the total cutting force: f = 0.13 mm/rev, α = 60°, β = 60°.
Materials 16 05371 g001
Figure 2. Chip classification method used in research.
Figure 2. Chip classification method used in research.
Materials 16 05371 g002
Figure 3. Sample photographs of chips obtained in cutting tests; constant parameters vc = 70 m/min, ap = 0.5 mm, p = 150 bar.
Figure 3. Sample photographs of chips obtained in cutting tests; constant parameters vc = 70 m/min, ap = 0.5 mm, p = 150 bar.
Materials 16 05371 g003
Figure 4. Examples of chip dimensions (a) for parameters f = 0.13 mm/rev; ap = 0.5 mm; α = 60°; β = 30°; (b) for parameters f = 0.08 mm/rev; ap = 0.5 mm; α = 60°; β = 0°.
Figure 4. Examples of chip dimensions (a) for parameters f = 0.13 mm/rev; ap = 0.5 mm; α = 60°; β = 30°; (b) for parameters f = 0.08 mm/rev; ap = 0.5 mm; α = 60°; β = 0°.
Materials 16 05371 g004
Figure 5. Influence of the analysed factors on the average values of the cutting force Fc: (a,c) feed f, α and β angles, (b) only α angle and feed f, (d) only β angle and feed f.
Figure 5. Influence of the analysed factors on the average values of the cutting force Fc: (a,c) feed f, α and β angles, (b) only α angle and feed f, (d) only β angle and feed f.
Materials 16 05371 g005
Figure 6. Influence of the analysed factors on the average values of the chip breakability index Cch_mean: (a,c) feed f, α and β angles, (b) only α angle and feed f, (d) only β angle and feed f.
Figure 6. Influence of the analysed factors on the average values of the chip breakability index Cch_mean: (a,c) feed f, α and β angles, (b) only α angle and feed f, (d) only β angle and feed f.
Materials 16 05371 g006
Figure 7. Examples of chip shapes obtained from process simulation and under real conditions: (a,b) process simulation for different cutting fluid directions, for feed f = 0.08 mm/rev, ap = 0.5 mm; (c) chip photographs for f = 0.13 mm/rev; ap = 0.5 mm; α = 30°; β = 60°; p = 150 bar; (d) chip photographs for f = 0.13 mm/rev; ap = 0.5 mm; α = 60°; β = 30°; p = 150 bar.
Figure 7. Examples of chip shapes obtained from process simulation and under real conditions: (a,b) process simulation for different cutting fluid directions, for feed f = 0.08 mm/rev, ap = 0.5 mm; (c) chip photographs for f = 0.13 mm/rev; ap = 0.5 mm; α = 30°; β = 60°; p = 150 bar; (d) chip photographs for f = 0.13 mm/rev; ap = 0.5 mm; α = 60°; β = 30°; p = 150 bar.
Materials 16 05371 g007
Table 1. Mechanical properties and chemical composition—Grade 5 ELI.
Table 1. Mechanical properties and chemical composition—Grade 5 ELI.
Mechanical PropertiesChemical Composition (%)
Tensile Strength902 MPaAl6.10
Yield Strength 0.2%815 MPaV4.13
Elongation13%Fe0.05
Reduct. in Area49%C<0.01
Hardness29 HRCN0.01
O0.10
H0.003
TiRemainder
Table 2. The variables’ values in the research plan.
Table 2. The variables’ values in the research plan.
NumberCoded ParameterReal ParameterMinValueMax
1Af (mm/rev)0.08 0.13
2Bα (deg.)306090
3Cβ (deg.)03060
Table 3. Test plan with real values.
Table 3. Test plan with real values.
NumberABCf
(mm/rev)
α
(deg.)
β
(deg.)
11110.08300
21120.083030
31130.083060
41210.08600
51220.086030
61230.086060
71310.08900
81320.089030
91330.139060
102110.13300
112120.133030
122130.133060
132210.13600
142220.136030
152230.136060
162310.13900
172320.139030
182330.139060
Table 4. Dimensional characteristics of chips obtained during cutting tests.
Table 4. Dimensional characteristics of chips obtained during cutting tests.
GroupChip ShapeDimensionChip Index Characterisation
Arc/BulkyMaterials 16 05371 i001Wch
(mm)
Cch (Wch,Hch)
Hch
(mm)
Helical/TubularMaterials 16 05371 i002Lch
(mm)
Cch (Lch,Dch)
Dch
(mm)
Table 5. Results for measurements of cutting force Fc and Cch (mean values).
Table 5. Results for measurements of cutting force Fc and Cch (mean values).
NumberABCf
(mm/rev)
α
(deg.)
β
(deg.)
Fc_mean
(N)
Fc_min
(N)
Fc_max
(N)
S/N_FcCch_meanCch_minCch_maxS/N_Cch
11110.0830064.75570−36.30.030.030.0429.3
21120.08303064.35872−36.20.670.550.823.4
31130.08306067.36174−36.60.290.250.3410.5
41210.0860066.05974−36.40.230.190.2712.9
51220.08603066.76073−36.50.030.020.0331.9
61230.08606071.36479−37.10.170.150.1915.3
71310.0890073.06880−37.30.460.420.516.7
81320.08903082.37490−38.30.660.580.763.5
91330.13906072.36579−37.20.160.110.2215.5
102110.13300101.783121−40.20.020.020.0235.0
112120.133030111.3103119−40.90.310.260.3710.0
122130.133060109.7100119−40.80.020.020.0332.6
132210.13600108.0100118−40.70.120.090.1418.6
142220.136030114.7103127−41.20.010.010.0137.6
152230.136060116.7108125−41.40.320.290.369.9
162310.13900108.0101114−40.70.940.841.030.5
172320.139030123.3113133−41.80.260.220.3011.7
182330.139060115.7108123−41.30.290.230.3610.5
Table 6. Analysis of variance for mean values—main force Fc.
Table 6. Analysis of variance for mean values—main force Fc.
SourceDFSeq SSAdj SSAdj MSFP
f (mm/rev)18064.5 8064.58064.58064.50.000
8064.5 8064.58064.58064.5
8064.508064.508064.508064.50
595.19595.19595.19595.19
α (deg.)2259.6259.6129.689.580.003
259.6259.6259.6259.6259.6
129.80129.80129.80129.80129.80
9.589.589.589.589.58
0.0030.0030.0030.0030.003
β (deg.)3155.8155.877.915.750.018
155.8155.8155.8155.8155.8
77.9177.9177.9177.9177.91
5.755.755.755.755.75
0.0180.0180.0180.0180.018
Residual Error12162.6162.613.55
Total178642.5
Regression EquationFc(f,α,β) = −9.87 + 847·f + 0.155·α + 0.088·β;
R-Sq = 97.3%, R-Sq(adj) = 96.7%
Table 7. Analysis of variance for mean values—chip breakability index Cch.
Table 7. Analysis of variance for mean values—chip breakability index Cch.
SourceDFSeq SSAdj SSAdj MSFP
Regression80.63090.63090.07891.360.326
Linear30.20150.20150.06721.160.377
f30.00950.00950.00950.160.695
α10.16870.16870.16872.910.122
β10.02320.02320.02320.400.542
Square20.17690.17690.08851.530.268
α10.15820.15820.15822.730.133
β10.01870.01870.01870.320.584
Interaction30.25250.25250.08421.450.291
f α10.06030.06030.06031.040.334
f β10.00950.00950.00950.160.695
α β10.18270.18270.18273.160.109
Residual Error90.52110.52110.0579
Total171.1519
Regression EquationCch(f,α,β) = 0.9957 − 5461·f − 0.02745·α + 0.171·β + 0.0002·α2 − 7.6·10−5·β2 + 0.0945·α − 0.0375·β − 1.68·10−4·α·β
R-Sq = 54.8%, R-Sq(adj) = 14.6%
Table 8. SGF chip breaker work area and chip form assessment.
Table 8. SGF chip breaker work area and chip form assessment.
f = 0.08 mm/revf = 0.13 mm/rev
β = 0°β = 30°β = 60°β = 0°β = 30°β = 60°
α = 30°+++
α = 60°+00+
α = 90°0
Table 9. Simulation model parameters and mechanical and thermal coefficients for titanium alloy.
Table 9. Simulation model parameters and mechanical and thermal coefficients for titanium alloy.
Material ConstantsMechanical and Thermal
Coefficients
A997.9 MPaThermal Conductivity6.6 W/m·°C
B653.1 MPaHeat Capacity526 J/Kg·°C
n0.45Density4430 Kg/m3
C0.0198Young’s Modulus1.1 × 1011 Pa
m0.7Poisson’s Ratio0.31
Tmelt1277 °C
Disclaimer/Publisher’s Note: The statements, opinions and data contained in all publications are solely those of the individual author(s) and contributor(s) and not of MDPI and/or the editor(s). MDPI and/or the editor(s) disclaim responsibility for any injury to people or property resulting from any ideas, methods, instructions or products referred to in the content.

Share and Cite

MDPI and ACS Style

Struzikiewicz, G. Investigation of the Cutting Fluid Incidence Angle Direction in Turning Grade 5 ELI Titanium Alloy under High-Pressure Cooling Conditions. Materials 2023, 16, 5371. https://doi.org/10.3390/ma16155371

AMA Style

Struzikiewicz G. Investigation of the Cutting Fluid Incidence Angle Direction in Turning Grade 5 ELI Titanium Alloy under High-Pressure Cooling Conditions. Materials. 2023; 16(15):5371. https://doi.org/10.3390/ma16155371

Chicago/Turabian Style

Struzikiewicz, Grzegorz. 2023. "Investigation of the Cutting Fluid Incidence Angle Direction in Turning Grade 5 ELI Titanium Alloy under High-Pressure Cooling Conditions" Materials 16, no. 15: 5371. https://doi.org/10.3390/ma16155371

APA Style

Struzikiewicz, G. (2023). Investigation of the Cutting Fluid Incidence Angle Direction in Turning Grade 5 ELI Titanium Alloy under High-Pressure Cooling Conditions. Materials, 16(15), 5371. https://doi.org/10.3390/ma16155371

Note that from the first issue of 2016, this journal uses article numbers instead of page numbers. See further details here.

Article Metrics

Back to TopTop