On Relationships between Plasma Chemistry and Surface Reaction Kinetics Providing the Etching of Silicon in CF4, CHF3, and C4F8 Gases Mixed with Oxygen
Abstract
1. Introduction
2. Experimental and Modeling Details
2.1. Experimental Setup and Methods
- Processing times up to 5 min surely provide nearly linear kinetic curves , like those obtained in [27] in given reactor and close range of processing conditions. This points out on the steady-state etching regime as well as allowed one to obtain etching rates simply as .
- There are no differences in etching kinetics for Si samples situated at different radial positions, except weakly decreasing etching rates toward camber walls. Therefore, one can speak about the spatially independent etching mechanism while the last effect is due to nonuniform radial profiles for densities and fluxes of plasma active species [4]. The latter is kind of fundamental phenomenon for any plasma etching reactor caused by both faster generation of active species in the axial region and their effective losses on chamber walls [2,4].
- There are no noticeable changes in Si etching rate with increasing amount of simultaneously loaded samples. The absence of loading effect means an excess of active species participating in the chemical etching pathway [4], so that the dependence of etching rate on processing conditions reflects the real heterogeneous process kinetics.
- There are no differences in Langmuir probe diagnostics data obtained without and with sample loading. Therefore, one can neglect the influence of etching products on gas-phase plasma characteristics as well as to assume plasma to be the undisturbed source of active species.
2.2. Approaches for the Analysis of Plasma Chemistry
- The electron energy distribution function may be approximated by Maxwellian one. The applicability of such an assumption for the given set of plasma excitation conditions is surely supported by direct measurements of EEDF in CF4− based plasmas [12,28] as well as indirectly follows from the quite acceptable agreement between model-predicted and measured plasma parameters in CHF3− [21,29] and C4F8− [18,19] based plasmas. A similar conclusion can also be made for O2 plasma in the absence of fluorocarbon components [33,34]. The common reason is the high ionization degree for neutral species ( > 10−4, where is the total density of positive ions) that causes the essential role equilibrium electron–electron collisions in the overall electron energy balance. Accordingly, rate coefficients for electron-impact reactions (R1–R9 in Table 1, R25–R29 in Table 2 and R40–R44 in Table 3) may be obtained using fitting expressions [12,18,28,29,33].
- The gas temperature is mainly controlled by gas pressure (since it determines gas density, collision frequency and heat transfer coefficient) and input power (since it represents a gas heating source) [4,35,36] as well as exhibits rather close values for many molecular gases [34]. In experiments, we found that the temperature of external chamber wall is almost not sensitive to variations in both gas mixing ratios and the type of the fluorocarbon components for any fixed “plasma on” time. The latter confirms that = const really provides ≈ const. Similarly to our previous works [11,14], we took the value of 600 K (as it was measured for both CF4 and O2 plasmas for given gas pressure and input power density of ~0.7 W/cm3 [35]) and then obtained rate coefficients for gas-phase atom–molecular reactions (R10–R21 in Table 1, R30–R36 in Table 2 and R45–R47 in Table 3) using Arrhenius-like expressions from [36].
- The decay of atoms and radicals on chamber walls (R22–R24 in Table 1, R37–R39 in Table 2, and R48 in Table 3) follows the Eley–Rideal (the first-order in respect to gas-phase species) recombination kinetics. In this case, corresponding rate coefficients are , where and are radial and axial dimensions of the reactor chamber, respectively, is the thermal velocity for the particle with a mass of , and is the recombination probability [12,18,28,29,30]. For simplicity, we assumed all recombination probabilities to be not sensitive to both type of fluorocarbon component and gas mixing ratios due to thermally stable chamber wall conditions. Definitely, the last assumption looks to be arguable because the fraction of O2 may influence chamber wall conditions through the transition between polymer-rich and polymer-free states. Unfortunately, there is no reasonable theoretical approach to account for this phenomenon, and the available experimental data on recombination probabilities are for polymer-free surfaces. Therefore, one can refer only for several evidence sources that the postulation of = const does not make a problem, at least for given gas systems and processing conditions. For instance, Kimura et al. [12] reported the acceptable agreement between model-predicted and measured F atoms densities in CF4 + O2 plasma in the range of 0–80% O2. The same or even the better result was produced by our model using Kimura’s plasma diagnostics data as inputs [13]. In addition, the model of Rauf et al. [19] as well as our model [13] demonstrated the good agreement with measured densities of CF2 and CF radicals as functions of input power in the C4F8 plasma. Obviously, this parameter also influences the polymer deposition rate and thus affects the chamber wall condition. Finally, we obtained the evident similarity between measured and calculated F atom densities in CF4 + CHF3 + Ar and CF4 + C4F8 + Ar plasmas as functions of fluorocarbon gas ratios [11]. As corresponding components are featured by different polymerizing abilities, the transition between polymer-rich and polymer-free chamber wall condition surely took place.
- The electronegativity of CF4, CHF3, C4F8, and O2 plasmas at < 20 mTorr is low enough to equalize densities of electrons () and positive ions () as well as to neglect the effect of negative ions on the ion Bohm velocity [9,14,34]. In this case, the total density of positive ions may be extracted from measured simply aswhere is the effective ion mass while and are partial ion masses and fractions, respectively. For each type of positive ion, the last parameter may be evaluated as [11,14], where is the fraction of corresponding neutral particle with the ionization rate coefficient of [12,18,19,34].
| Process | Process | ||||
|---|---|---|---|---|---|
| 1. | CFx + e → CFx−1 + F + e | 17. | FO + O/O(1D) → O2 + F | ||
| 2. | CFx + e → CFx−1+ + F + 2e | 18. | F2 + O/O(1D) → FO + F | ||
| 3. | CFx + e → CFx−2 + 2F + e | 19. | CF + O2 → CFO + O | ||
| 4. | F2 + e → 2F + e | 20. | C + O2 → CO + O | ||
| 5. | O2 + e → O + O/O(1D) + e | 21. | CO + F → CFO | ||
| 6. | O + e → O(1D) + e | 22. | CFx → CFx(s) | ||
| 7. | CFxO + e → CFx−1O + F + e | CFx(s) + F → CFx+1 | |||
| 8. | FO + e → F + O + e | CFx(s) + O → CFxO | |||
| 9. | COx + e → COx−1 + O + e | 23. | F → F(s) | ||
| 10. | F2 + CFx → CFx+1 + F | F(s) + F → F2 | |||
| 11. | CFx + F → CFx+1 | F(s) + CFx → CFx+1 | |||
| 12. | CFx + O/O(1D) → CFx−1O + F | F(s) + O → FO | |||
| 13. | CFx + CFO → CF2O + CFx−1 | 24. | O → O(s) | ||
| 14. | 2CFO → CF2O + CO | O(s) + CFx → CFxO | |||
| 15. | CFO + F → CF2O | O(s) + O → O2 | |||
| 16. | CFxO + O/O(1D) → Fx + CO2 | O(s) + F → FO | |||
| Process | Process | ||||
|---|---|---|---|---|---|
| 25. | CHFx + e → CHFx−1 + F + e | 35. | CHFx + O → CFxO + H | ||
| 26. | CHFx + e → CFx + H + e | 36. | CHFx + O → CFx−1O + HF | ||
| 27. | CHFx + e → CFx−1 + HF + e | 37. | CFx → CFx(s) | ||
| 28. | H2 + e → 2H + e | CFx(s) + H → CHFx | |||
| 29. | HF+ e → H + F + e | 38. | F → F(s) | ||
| 30. | F2 + H → HF + F | F(s) + CHFx → CHFx+1 | |||
| 31. | H2 + F → HF + H | 39. | H → H(s) | ||
| 32. | CFx + H → CFx−1 + HF | H(s) + CFx → CHFx | |||
| 33. | CHFx + F → CFx + HF | H(s) + H → H2 | |||
| 34. | CHFx + H → CHFx−1 + HF | H(s) + F → HF | |||
| Process | Process | ||||
|---|---|---|---|---|---|
| 40. | C4F8 + e → 2C2F4 + e | 45. | C2F4 + F → CF2 + CF3 | ||
| 41. | C4F8 + e → C3F6 + CF2 + e | 46. | C2F4 + O → CFO + CF3 | ||
| 42. | C2F4 + e → 2CF2 + e | 47. | C2F4 + O → CF2O + CF2 | ||
| 43. | C2F4 + e → C2F3 + F + e | 48. | F → F(s) | ||
| 44. | C2F3 + e → CF2 + CF + e | F(s) + C2F3 → C2F4 | |||
2.3. Approaches for the Analysis of Etching/Polymerization Kinetics
- When the ion bombardment energy exceeds the sputtering threshold, the total etching rate may be represented as a combination of two summands, [40], where and are rates of physical sputtering and heterogeneous chemical reaction supplied by neutral etchant species. Since the latter sometimes exhibits the nonzero energy threshold and/or leads to the formation of low volatile reaction products, the dependence of on processing conditions may be sensitive to energy fluxes coming with nonreactive species, in particular with positive ions. Such processes are known as the ion-assisted chemical reaction.
- The rate of physical sputtering [40,41], where ~ [9,10,11] is the sputter yield, is the effective (ion-type-averaged) ion molar mass, is the ion bombardment energy, is the floating potential, and is the flux of positive ions. Accordingly, the parameter adequately traces the behavior of with variation of processing conditions [9,11,12]. The similar rule can also be applied to other ion-driven effects on the etched surface, such as the removal of the fluorocarbon polymer film, the destruction of chemical bonds between surface atoms, and the ion-stimulated desorption of low volatile reaction products.
- The rate of heterogeneous chemical reaction [22,23,32,40], where is the fluorine atom flux, is the effective reaction probability [9,10,11], is the fraction of adsorption sites occupied by chemically inert species, is the fraction of vacant adsorption sites, and is the sticking coefficient of etchant species to the vacant adsorption site. That is why the parameter is not only the exponential function of surface temperature (as it typically takes place for the spontaneous reaction mechanism) but also depends on many plasma-related factors that retard or accelerate the chemical reaction through the change in . For instance, in strongly polymerizing plasmas, decreases with increasing polymer film thickness, as the latter becomes to be enough to provide << 1, where is the flux of F atoms on the polymer film/etched surface interface. As such, the correlation of with fluxes of plasma active species at = const provides useful information on the mechanism of chemical etching pathway.
- The formation of the fluorocarbon polymer film is provided by nonsaturated CHxFy (x + y < 3) radicals while the polymerization ability increases under the fluorine-poor conditions [6,7,8]. Accordingly, the ratio, where is the total flux of polymerizing radicals, traces the polymer deposition rate while parameters and reflect relative changes in the polymer film thickness due to physical (destruction by ion bombardment) and chemical (etching by O atoms) mechanisms [9,11,14].
3. Results and Discussion
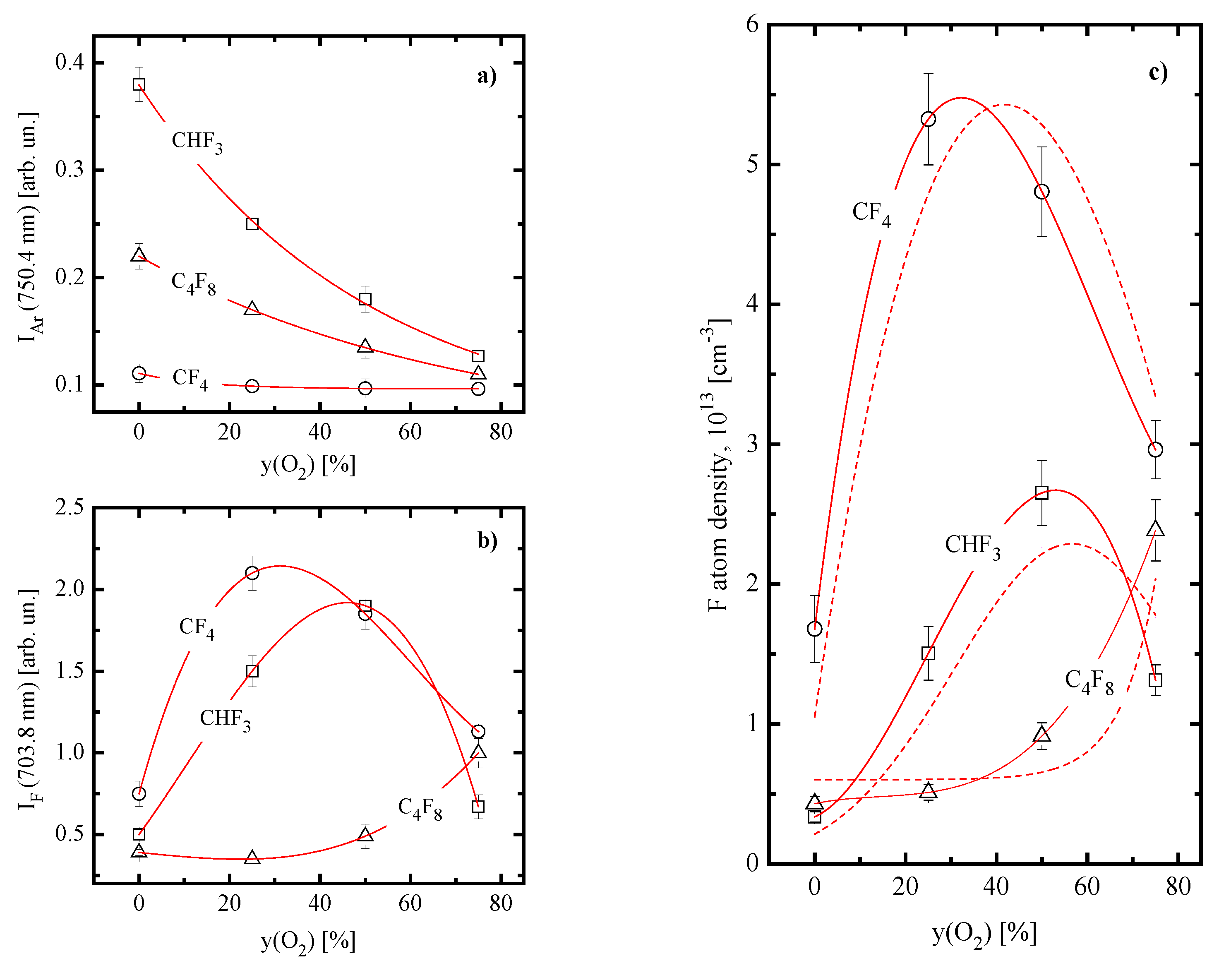
- Electron temperature (Figure 1a) exhibits a weak growth in the CF4 + O2 plasma (3.6–4.0 eV for 0–75% O2) but decreases gradually in both CHF3 + O2 (5.2–4.3 eV for 0–75% O2) and C4F8 + O2 (4.7–4.2 eV for 0–75% O2) plasmas. Perhaps, the first phenomenon is caused by increasing fraction of atomic species, as shown in Figure 2a. As collisions with molecules surely provide higher electron energy losses for both excitation (due to the low-threshold vibrational and electronic states) and ionization (due to generally higher ionization cross-sections for bigger-sized particles), a decrease in the overall electron energy loss takes place. Accordingly, the opposite situation in the CHF3 + O2 plasma reflects increasing electron energy losses, since decreasing tendency for originally dominating HF molecules meets the growth of multiatomic reaction products, such as FO, CFxO, and COx (Figure 2b). For instance, CO2 has three vibrational modes [42], and corresponding cross-sections are featured by higher absolute values and wider maximum compared with those for HF [42,43]. Probably, the similar mechanism also does work in the C4F8 + O2 plasma, where an increase in changes the dominant gas-phase component from CF2 radicals to CF4, CO, CO2, and CF2O (Figure 2c).
- Plasma density (Figure 1b) exhibits decreasing tendencies vs. in all three gas systems. In the case of CF4 + O2 plasma, the evident reason is the 10-times lower rate coefficients for the ionization of F (~5.8 × 10−11 cm3/s at = 3 eV) and F2 (~1.5 × 10−11 cm3/s at = 3 eV) compared with CFx (~1.5 × 10−10 cm3/s for x = 4 and ~5.0 × 10−10 cm3/s for x = 3 at = 4 eV). Therefore, one can easily imagine that an increases in suppresses the total ionization frequency (and thus production rates for electrons and positive ions) despite weakly increasing . Similar situations for CHF3 + O2 and C4F8 + O2 plasmas probably result from decreasing ionization rate coefficients for all neutral species. The indirect proof is the deeper fall of in the CHF3 + O2 plasma, where the stronger decrease in takes place. An additional reason may relate to increasing densities of more electronegative oxygen-containing species that accelerates losses of positive ions and electrons through ion–ion recombination and dissociative attachment, respectively.
- Negative dc bias voltage (Figure 1c) demonstrates the monotonic growth vs. in all three gas systems. This is because the decreasing ion flux (as it directly follows from the change in ) weakens the compensation for an excess negative charge under the condition of = const. At the same time, weak increase in ion bombardment energies (= 285–303 eV for CF4 + O2, 262–302 eV for CHF3 + O2, and 306–309 eV for C4F8 + O2 at 0–75% O2) is overcompensated by opposite tendencies of both and effective ion masses. As a result, the parameter always demonstrates the monotonic decrease toward O2-rich plasmas (Figure 1d). As such, the common feature is that the addition of O2 reduces the ion bombardment intensity.
- In weakly-polymerizing CF4 + O2 plasma (as it combines lowest polymer deposition rate and the highest polymer etching rate by oxygen atoms, as follows from Figure 5c,d), the behavior of contradicts with decreasing polymer film thickness but demonstrates the similar change with the parameter . At the same time, such correlation seems to be the formal thing, since the spontaneous mechanism of R49 must be lowly sensitive to the ion bombardment intensity [4,45]. Moreover, an increase in the ion bombardment intensity may even lower the Si + F reaction probability due to the ion-stimulated desorption of etchant species [46,47,48]. Therefore, when assuming the rather thin or the noncontinuous fluorocarbon polymer film which does not influence the etching kinetics, the most realistic reason is the passivation of etched surface by oxygen atoms. The latter may either work through the oxidation of silicon as R50: Si(s.) + O → SiO(s.) or appear due to the transformation of reaction products into lower volatile compounds in R51: SiFx(s.) + yO → SiFxOy(s.). In particular, the first mechanism suppresses the silicon etching rate in the O2-rich SF6 + O2 plasmas [49,50] while the second phenomenon produces the side-wall passivation layer in cryogenic etching processes [51,52]. Therefore, even if SiFxOy still exhibits the spontaneous desorption at nearly room temperatures [52], the corresponding resorption yield is expected to be lower compared with that for the nonoxidized SiFx. Anyway, it is clear that an increase in accelerates R50 and R51 but reduces the efficiency of ion-assisted reverse processes, such as R52: SiO(s.) → Si(s.) + O and R53: SiFxOy(s.) → SiFxOy. That is why an increase in suppresses through decreasing fraction of free adsorption sites for F atoms. It is important to mention that our model-predicted for pure CF4 plasma (~0.034, see Figure 5b) surely fits the range obtained in experiments with the independent sources of fluorine atoms in the absence of ion bombardment [53]. In fact, this confirms the above conclusions on the polymer-film-independent etching regime as well as on the domination of the chemical etching pathway in a form of the mainly spontaneous R49.
- In moderately polymerizing CHF3 + O2 plasma (as it is characterized by intermediate values for both polymer deposition rate and the polymer etching rate by oxygen atoms), the condition of ~25–30% probably corresponds to the transition from the polymer-film-dependent to the polymer-film-independent etching regime. In particular, in the CHF3− rich plasma, the polymer film may be thick enough to limit the rate of R49 through the transport of F atoms to the etched surface. Accordingly, an increase in up to 25–30% O2 reflects the opposite change in the polymer film thickness due to decreasing polymer deposition rate (Figure 5c) and increasing polymer removal rate (Figure 5d). From Figure 5c, it can be understood that the addition of 30% O2 lowers the polymer deposition rate down to the value obtained in pure CF4 plasma. As such, the similarly thin polymer film on the Si surface does remain, and the further decrease in the amount of residual polymer does not influence . Simultaneously, the increasing flux of oxygen atoms stimulates R50 and R51 and thus lowers the effective reaction probability for F atoms through the decreasing fraction of free adsorption sites. Therefore, the nonmonotonic shape of is due to the change in the process limiting stage.
- In strongly polymerizing C4F8 + O2 plasma (as it combines the highest polymer deposition rate and the lowest polymer etching rate by oxygen atoms), the thick polymer film expectedly exists even at higher values. Accordingly, the bend point on the curve at ~ 50% O2 also corresponds to the transition between two etching regimes where the effective probability of R49 is controlled by different factors. Similarly, to the previous case, these are either the transport of F atoms through the thick polymer film or the passivation of the etched surface by the cumulative action of R50 and R51.
4. Conclusions
Author Contributions
Funding
Institutional Review Board Statement
Informed Consent Statement
Data Availability Statement
Conflicts of Interest
References
- Wolf, S.; Tauber, R.N. Silicon Processing for the VLSI Era. In Process Technology; Lattice Press: New York, NY, USA, 2000; Volume 1, p. 416. [Google Scholar]
- Nojiri, K. Dry Etching Technology for Semiconductors; Springer International Publishing: Tokyo, Japan, 2015; p. 116. [Google Scholar]
- Advanced Plasma Technology; John Wiley & Sons Inc.: New York, NY, USA, 2008; p. 479.
- Lieberman, M.A.; Lichtenberg, A.J. Principles of Plasma Discharges and Materials Processing; John Wiley & Sons Inc.: New York, NY, USA, 2005; p. 757. [Google Scholar]
- Donnelly, V.M.; Kornblit, A. Plasma etching: Yesterday, today, and tomorrow. J. Vac. Sci. Technol. A 2013, 31, 050825. [Google Scholar]
- Standaert, T.E.F.M.; Hedlund, C.; Joseph, E.A.; Oehrlein, G.S.; Dalton, T.J. Role of fluorocarbon film formation in the etching of silicon, silicon dioxide, silicon nitride, and amorphous hydrogenated silicon carbide. J. Vac. Sci. Technol. A 2004, 22, 53. [Google Scholar] [CrossRef]
- Kastenmeier, B.E.E.; Matsuo, P.J.; Oehrlein, G.S. Highly selective etching of silicon nitride over silicon and silicon dioxide. J. Vac. Sci. Technol. A 1999, 17, 3179. [Google Scholar] [CrossRef]
- Schaepkens, M.; Standaert, T.E.F.M.; Rueger, N.R.; Sebel, P.G.M.; Oehrlein, G.S.; Cook, J.M. Study of the SiO2−to-Si3N4 etch selectivity mechanism in inductively coupled fluorocarbon plasmas and a comparison with the SiO2−to-Si mechanism. J. Vac. Sci. Technol. A 1999, 17, 26. [Google Scholar] [CrossRef]
- Efremov, A.; Murin, D.; Kwon, K.-H. Concerning the Effect of Type of Fluorocarbon Gas on the Output Characteristics of the Reactive-Ion Etching Process. Russ. Microelectron. 2020, 49, 157. [Google Scholar] [CrossRef]
- Efremov, A.; Lee, B.J.; Kwon, K.-H. On Relationships Between Gas-Phase Chemistry and Reactive-Ion Etching Kinetics for Silicon-Based Thin Films (SiC, SiO2 and SixNy) in Multi-Component Fluorocarbon Gas Mixtures. Materials 2021, 14, 1432. [Google Scholar]
- Efremov, A.; Son, H.J.; Choi, G.; Kwon, K.-H. On Mechanisms Influencing Etching/Polymerization Balance in Multi-Component Fluorocarbon Gas Mixtures. Vacuum 2022, 206, 111518. [Google Scholar] [CrossRef]
- Kimura, T.; Noto, M. Experimental study and global model of inductively coupled CF4/O2 discharges. J. Appl. Phys. 2006, 100, 063303. [Google Scholar] [CrossRef]
- Chun, I.; Efremov, A.; Yeom, G.Y.; Kwon, K.-H. A comparative study of CF4/O2/Ar and C4F8/O2/Ar plasmas for dry etching applications. Thin Solid Films 2015, 579, 136. [Google Scholar] [CrossRef]
- Lim, N.; Efremov, A.; Kwon, K.-H. A comparison of CF4, CHF3 and C4F8 + Ar/O2 Inductively Coupled Plasmas for Dry Etching Applications. Plasma Chem. Plasma Process. 2021, 41, 1671. [Google Scholar] [CrossRef]
- Beenakker, C.I.M.; van Dommelen, J.H.J.; van de Poll, R.P.J. Decomposition and product formation in CF4–O2 plasma etching silicon in the afterglow. J. Appl. Phys. 1981, 52, 480. [Google Scholar] [CrossRef]
- Mogab, C.; Adams, A.; Flamm, D. Plasma Etching of Si and SiO2—The Effect of Oxygen Additions to CF4 Plasmas. J. Appl. Phys. 1978, 49, 3796. [Google Scholar] [CrossRef]
- Son, J.; Efremov, A.; Chun, I.; Yeom, G.Y.; Kwon, K.-H. On the LPCVD-Formed SiO2 Etching Mechanism in CF4/Ar/O2 Inductively Coupled Plasmas: Effects of Gas Mixing Ratios and Gas Pressure. Plasma Chem. Plasma Process. 2014, 34, 239. [Google Scholar] [CrossRef]
- Kokkoris, G.; Goodyear, A.; Cooke, M.; Gogolides, E. A global model for C4F8 plasmas coupling gas phase and wall surface reaction kinetics. J. Phys. D Appl. Phys. 2008, 41, 195211. [Google Scholar] [CrossRef]
- Rauf, S.; Ventzek, P.L. Model for an inductively coupled Ar/c-C4F8 plasma discharge. J. Vac. Sci. Technol. A 2002, 20, 14. [Google Scholar] [CrossRef]
- Lee, J.; Efremov, A.; Yeom, G.Y.; Lim, N.; Kwon, K.-H. Application of Si and SiO2 Etching Mechanisms in CF4/C4F8/Ar Inductively Coupled Plasmas for Nanoscale Patterns. J. Nanosci. Nanotechnol. 2015, 15, 8340. [Google Scholar] [CrossRef]
- Proshina, O.; Rakhimova, T.V.; Zotovich, A.; Lopaev, D.V.; Zyryanov, S.M.; Rakhimov, A.T. Multifold study of volume plasma chemistry in Ar/CF4 and Ar/CHF3 CCP discharges. Plasma Sources Sci. Technol. 2017, 26, 075005. [Google Scholar] [CrossRef]
- Efremov, A.M.; Murin, D.B.; Sobolev, A.M.; Kwon, K.-H. Kinetics of the Volumetric and Heterogeneous Processes in the Plasma of a C4F8 + O2 + Ar Mixture. Russ. Microelectron. 2021, 50, 24. [Google Scholar] [CrossRef]
- Efremov, A.; Lee, J.; Kim, J. On the Control of Plasma Parameters and Active Species Kinetics in CF4 + O2 + Ar Gas Mixture by CF4/O2 and O2/Ar Mixing Ratios. Plasma Chem. Plasma Process. 2017, 37, 1445. [Google Scholar] [CrossRef]
- Shun’ko, E.V. Langmuir Probe in Theory and Practice; Universal Publishers: Boca Raton, FL, USA, 2008; p. 245. [Google Scholar]
- Lopaev, D.V.; Volynets, V.A.; Zyryanov, S.M.; Zotovich, A.I.; Rakhimov, A.T. Actinometry of O, N and F atoms. J. Phys. D Appl. Phys. 2017, 50, 075202. [Google Scholar] [CrossRef]
- Herman, I.P. Optical Diagnostics for Thin Film Processing; Academic Press: San Diego, CA, USA, 1996; p. 739. [Google Scholar]
- Lee, J.; Kwon, K.-H.; Efremov, A. On the Relationships Between Plasma Chemistry, Etching Kinetics and Etching Residues in CF4 + C4F8 + Ar and CF4 + CH2F2 + Ar Plasmas with Various CF4/C4F8 and CF4/CH2F2 Mixing Ratios. Vacuum 2018, 148, 214. [Google Scholar] [CrossRef]
- Kimura, T.; Ohe, K. Probe measurements and global model of inductively coupled Ar/CF4 discharges. Plasma Sources Sci. Technol. 1999, 8, 553. [Google Scholar] [CrossRef]
- Ho, P.; Johannes, J.E.; Buss, R.J. Modeling the plasma chemistry of C2F6 and CHF3 etching of silicon dioxide, with comparisons to etch rate and diagnostic data. J. Vac. Sci. Technol. B 2001, 19, 2344. [Google Scholar] [CrossRef]
- Vasenkov, A.V.; Li, X.; Oehlein, G.S.; Kushner, M.J. Properties of c-C4F8 inductively coupled plasmas. II. Plasma chemistry and reaction mechanism for modeling of Ar/c-C4F8/O2 discharges. J. Vac. Sci. Technol. A 2004, 22, 511. [Google Scholar] [CrossRef]
- Efremov, A.M.; Murin, D.B.; Kwon, K.-H. Plasma Parameters and Kinetics of Active Particles in the Mixture CHF3 + O2 + Ar. Russ. Microelectron. 2020, 49, 233. [Google Scholar] [CrossRef]
- Lee, B.J.; Efremov, A.; Kwon, K.-H. Gas-Phase Chemistry and Reactive-Ion Etching Kinetics for Silicon-Based Materials in C4F8 + O2 + Ar Plasma. Plasma Process. Polym. 2021, 18, e2000249. [Google Scholar] [CrossRef]
- Lee, C.; Lieberman, M.A. Global model of Ar, O2, Cl2, and Ar/O2 high density plasma discharges. J. Vac. Sci. Technol. A 1995, 13, 368. [Google Scholar] [CrossRef]
- Hsu, C.C.; Nierode, M.A.; Coburn, J.W.; Graves, D.B. Comparison of model and experiment for Ar, Ar/O2 and Ar/O2/Cl2 inductively coupled plasmas. J. Phys. D Appl. Phys. 2006, 39, 3272. [Google Scholar] [CrossRef]
- Cunge, G.; Ramos, R.; Vempaire, D.; Touzeau, M.; Neijbauer, M.; Sadeghi, N. Gas temperature measurement in CF4, SF6, O2, Cl2, and HBr inductively coupled plasmas. J. Vac. Sci. Technol. A 2009, 27, 471. [Google Scholar] [CrossRef]
- Celik, Y.; Aramaki, M.; Luggenholscher, D.; Czarnetzki, U. Determination of electron densities diode-laser absorption spectroscopy in a pulsed ICP. Plasma Sources Sci. Technol. 2011, 20, 015022. [Google Scholar] [CrossRef]
- NIST Chemical Kinetics Database. Available online: https://kinetics.nist.gov/kinetics/ (accessed on 10 March 2023).
- Coburn, J. Plasma Etching and Reactive Ion Etching; AVS Monograph Series; American Vacuum Society: New York, NY, USA, 1982; p. 87. [Google Scholar]
- Winters, H.F.; Coburn, J.; Chuang, T. Surface processes in plasma-assisted etching environments. J. Vac. Sci. Technol. B 1983, 1, 469. [Google Scholar] [CrossRef]
- Gray, D.C.; Tepermeister, I.; Sawin, H.H. Phenomenological modeling of ion-enhanced surface kinetics in fluorine-based plasma etching. J. Vac. Sci. Technol. A 1993, 11, 1243. [Google Scholar] [CrossRef]
- Chapman, B. Glow Discharge Processes: Sputtering and Plasma Etching; Willey-Interscience: New York, NY, USA, 2008; p. 432. [Google Scholar]
- Christophorou, L.G.; Olthoff, J.K. Fundamental Electron Interactions with Plasma Processing Gases; Springer Science & Business Media: New York, NY, USA, 2012; p. 781. [Google Scholar]
- Raju, G.G. Gaseous electronics. In Tables, Atoms and Molecules; CRC Press: Boca Raton, FL, USA, 2017; p. 822. [Google Scholar]
- Hayashi, S.; Kawashima, K.; Ozawa, N.; Tsuboi, H.; Tatsumi, T.; Sekine, M. Stidies of CF2 radical and O atom in oxygen/fluorocarbon plasmas by laser-induced fluorescence. Sci. Technol. Adv. Mater. 2001, 2, 555. [Google Scholar] [CrossRef]
- A Simple Sputter Yield Calculator. Available online: https://www.iap.tuwien.ac.at/www/surface/sputteryield (accessed on 20 March 2023).
- Flamm, D.L. Mechanisms of silicon etching in fluorine- and chlorine-containing plasmas. Pure Appl. Chem. 1990, 62, 1709. [Google Scholar] [CrossRef]
- Donnelly, V.M. Reactions of fluorine atoms with silicon, revisited, again. J. Vac. Sci. Technol. A 2017, 35, 05C202. [Google Scholar] [CrossRef]
- Ninomiya, K.; Suzuki, K.; Nishimatsu, S.; Okada, O. Reaction of atomic fluorine with silicon. J. Appl. Phys. 1985, 58, 1117. [Google Scholar] [CrossRef]
- d’Agostino, R.; Flamm, D.L. Plasma etching of Si and SiO2 in SF6—O2 mixtures. J. Appl. Phys. 1981, 52, 162. [Google Scholar] [CrossRef]
- Knizikevicius, R. Simulations of Si and SiO2 Etching in SF6 + O2 Plasma. Acta Phys. Pol. A 2010, 117, 478. [Google Scholar] [CrossRef]
- Mellhaoui, X.; Dussarta, R.; Tillocher, T.; Lefaucheux, P.; Ranson, P. SiOxFy passivation layer in silicon cryoetching. J. Appl. Phys. 2005, 98, 104901. [Google Scholar] [CrossRef]
- Pereira1, J.; Pichon, L.E.; Dussart, R.; Cardinaud, C.; Duluard, C.Y.; Oubensaid, E.H.; Lefaucheux, P.; Boufnichel, M.; Ranson, P. In situ X-ray photoelectron spectroscopy analysis of SiOxFy passivation layer obtained in a SF6/O2 cryoetching process. Appl. Phys. Lett. 2009, 94, 071501. [Google Scholar] [CrossRef]
- Mullins, C.B.; Coburn, J.W. Lon-beam-assisted etching of Si with fluorine at low temperatures. J. Appl. Phys. 1994, 76, 7562. [Google Scholar] [CrossRef]





Disclaimer/Publisher’s Note: The statements, opinions and data contained in all publications are solely those of the individual author(s) and contributor(s) and not of MDPI and/or the editor(s). MDPI and/or the editor(s) disclaim responsibility for any injury to people or property resulting from any ideas, methods, instructions or products referred to in the content. |
© 2023 by the authors. Licensee MDPI, Basel, Switzerland. This article is an open access article distributed under the terms and conditions of the Creative Commons Attribution (CC BY) license (https://creativecommons.org/licenses/by/4.0/).
Share and Cite
Baek, S.Y.; Efremov, A.; Bobylev, A.; Choi, G.; Kwon, K.-H. On Relationships between Plasma Chemistry and Surface Reaction Kinetics Providing the Etching of Silicon in CF4, CHF3, and C4F8 Gases Mixed with Oxygen. Materials 2023, 16, 5043. https://doi.org/10.3390/ma16145043
Baek SY, Efremov A, Bobylev A, Choi G, Kwon K-H. On Relationships between Plasma Chemistry and Surface Reaction Kinetics Providing the Etching of Silicon in CF4, CHF3, and C4F8 Gases Mixed with Oxygen. Materials. 2023; 16(14):5043. https://doi.org/10.3390/ma16145043
Chicago/Turabian StyleBaek, Seung Yong, Alexander Efremov, Alexander Bobylev, Gilyoung Choi, and Kwang-Ho Kwon. 2023. "On Relationships between Plasma Chemistry and Surface Reaction Kinetics Providing the Etching of Silicon in CF4, CHF3, and C4F8 Gases Mixed with Oxygen" Materials 16, no. 14: 5043. https://doi.org/10.3390/ma16145043
APA StyleBaek, S. Y., Efremov, A., Bobylev, A., Choi, G., & Kwon, K.-H. (2023). On Relationships between Plasma Chemistry and Surface Reaction Kinetics Providing the Etching of Silicon in CF4, CHF3, and C4F8 Gases Mixed with Oxygen. Materials, 16(14), 5043. https://doi.org/10.3390/ma16145043

