Damage Assessment of Glass-Fibre-Reinforced Plastic Structures under Quasi-Static Indentation with Acoustic Emission
Abstract
1. Introduction
2. Experimental Procedure
2.1. Materials and Manufacturing Methods
2.2. Quasi-Static Indentation Tests
2.3. Acoustic Emission
2.3.1. Experimental Setup
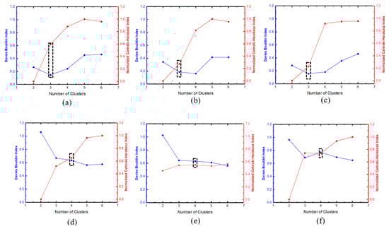
2.3.2. Data Standardisation, Feature Selection, and Cluster Analysis
2.4. Damage Characterisation
2.4.1. X-ray μ-CT
2.4.2. SEM Analysis
3. Results and Discussion
3.1. Load–Displacement Results
3.2. Energy-Absorption Properties
3.3. Acoustic Emission
3.3.1. Feature Analysis
3.3.2. Pattern-Recognition Analysis
3.4. Damage and Failure Morphology
3.4.1. X-ray μ-CT Results
3.4.2. SEM Analysis
4. Conclusions
Author Contributions
Funding
Institutional Review Board Statement
Data Availability Statement
Conflicts of Interest
References
- Balıkoğlu, F.; Arslan, N.; Demircioğlu, T.K.; İnal, O.; İren, M.; Ataş, A. Improving Four-Point Bending Performance of Marine Composite Sandwich Beams by Core Modification. J. Compos. Mater. 2020, 54, 1049–1066. [Google Scholar] [CrossRef]
- Altin Karataş, M.; Gökkaya, H. A Review on Machinability of Carbon Fiber Reinforced Polymer (CFRP) and Glass Fiber Reinforced Polymer (GFRP) Composite Materials. Def. Technol. 2018, 14, 318–326. [Google Scholar] [CrossRef]
- Le Duigou, A.; Davies, P.; Baley, C. Seawater Ageing of Flax/Poly(Lactic Acid) Biocomposites. Polym. Degrad. Stab. 2009, 94, 1151–1162. [Google Scholar] [CrossRef]
- Kausar, A.; Ahmad, I.; Rakha, S.A.; Eisa, M.H. State-Of-The-Art of Sandwich Composite Structures: Manufacturing-to-High Performance Applications. J. Compos. Sci. 2023, 7, 102. [Google Scholar] [CrossRef]
- Osa-uwagboe, N.; Silberschimdt, V.V.; Aremi, A.; Demirci, E. Mechanical Behaviour of Fabric-Reinforced Plastic Sandwich Structures: A State-of-the-Art Review. J. Sandw. Struct. Mater. 2023, 25, 591–622. [Google Scholar] [CrossRef]
- Fan, Y.; Wang, Y. The Effect of Negative Poisson’s Ratio on the Low-Velocity Impact Response of an Auxetic Nanocomposite Laminate Beam. Int. J. Mech. Mater. Des. 2021, 17, 153–169. [Google Scholar] [CrossRef]
- Sutherland, L.S.; Guedes Soares, C. The Use of Quasi-Static Testing to Obtain the Low-Velocity Impact Damage Resistance of Marine GRP Laminates. Compos. B Eng. 2012, 43, 1459–1467. [Google Scholar] [CrossRef]
- Wagih, A.; Maimí, P.; Blanco, N.; Costa, J. A Quasi-Static Indentation Test to Elucidate the Sequence of Damage Events in Low Velocity Impacts on Composite Laminates. Compos. Part A Appl. Sci. Manuf. 2016, 82, 180–189. [Google Scholar] [CrossRef]
- Zniker, H.; Ouaki, B.; Bouzakraoui, S.; EbnTouhami, M.; Mezouara, H. Energy Absorption and Damage Characterization of GFRP Laminated and PVC-Foam Sandwich Composites under Repeated Impacts with Reduced Energies and Quasi-Static Indentation. Case Stud. Constr. Mater. 2022, 16, e00844. [Google Scholar] [CrossRef]
- Raju, K.S.; Smith, B.L.; Tomblin, J.S.; Liew, K.H.; Guarddon, J.C. Impact Damage Resistance and Tolerance of Honeycomb Core Sandwich Panels. J. Compos. Mater. 2008, 42, 385–412. [Google Scholar] [CrossRef]
- Daniel, I.M.; Abot, J.L.; Schubel, P.M.; Luo, J.J. Response and Damage Tolerance of Composite Sandwich Structures under Low Velocity Impact. Exp. Mech. 2012, 52, 37–47. [Google Scholar] [CrossRef]
- Schubel, P.M.; Luo, J.J.; Daniel, I.M. Impact and Post Impact Behavior of Composite Sandwich Panels. Compos. Part A Appl. Sci. Manuf. 2007, 38, 1051–1057. [Google Scholar] [CrossRef]
- Zhu, F.; Lu, G.; Ruan, D.; Wang, Z. Plastic Deformation, Failure and Energy Absorption of Sandwich Structures with Metallic Cellular Cores. Int. J. Prot. Struct. 2010, 1, 507–541. [Google Scholar] [CrossRef]
- Liu, P.F.; Yang, J.; Peng, X.Q. Delamination Analysis of Carbon Fiber Composites under Hygrothermal Environment Using Acoustic Emission. J. Compos. Mater. 2017, 51, 1557–1571. [Google Scholar] [CrossRef]
- Zhou, W.; Qin, R.; Han, K.N.; Wei, Z.Y.; Ma, L.H. Progressive Damage Visualization and Tensile Failure Analysis of Three-Dimensional Braided Composites by Acoustic Emission and Micro-CT. Polym. Test. 2021, 93, 106881. [Google Scholar] [CrossRef]
- Verma, L.; Andrew, J.J.; Sivakumar, S.M.; Balaganesan, G.; Vedantam, S.; Dhakal, H.N. Evaluation of Quasi-Static Indentation Response of Superelastic Shape Memory Alloy Embedded GFRP Laminates Using AE Monitoring. Polym. Test. 2021, 93, 106942. [Google Scholar] [CrossRef]
- Dikshit, V.; Nagalingam, A.P.; Goh, G.D.; Agarwala, S.; Yeong, W.Y.; Wei, J. Quasi-Static Indentation Analysis on Three-Dimensional Printed Continuous-Fiber Sandwich Composites. J. Sandw. Struct. Mater. 2021, 23, 385–404. [Google Scholar] [CrossRef]
- Hajikhani, M.; Ahmadi, M.; Farjpour, M.; Oskouei, A.R.; Sharifi, A. Strain Energy Release Rate Assessment in Mode i Delamination of Foam Core Sandwich Composites by Acoustic Emission. J. Compos. Mater. 2011, 45, 2271–2277. [Google Scholar] [CrossRef]
- Ben Ammar, I.; Karra, C.; El Mahi, A.; El Guerjouma, R.; Haddar, M. Mechanical Behavior and Acoustic Emission Technique for Detecting Damage in Sandwich Structures. Appl. Acoust. 2014, 86, 106–117. [Google Scholar] [CrossRef]
- Guo, Y.; Zhu, S.; Chen, Y.; Li, D. Analysis and Identification of the Mechanism of Damage and Fracture of High-Filledwood Fiber/Recycled High-Density Polyethylene Composites. Polymers 2019, 11, 170. [Google Scholar] [CrossRef]
- Tang, J.; Soua, S.; Mares, C.; Gan, T.H. A Pattern Recognition Approach to Acoustic Emission Data Originating from Fatigue of Wind Turbine Blades. Sensors 2017, 17, 2507. [Google Scholar] [CrossRef] [PubMed]
- Šofer, M.; Cienciala, J.; Fusek, M.; PavlíCek, P.; Moravec, R. Damage Analysis of Composite Cfrp Tubes Using Acoustic Emission Monitoring and Pattern Recognition Approach. Materials 2021, 14, 786. [Google Scholar] [CrossRef] [PubMed]
- Li, L.; Lomov, S.V.; Yan, X.; Carvelli, V. Cluster Analysis of Acoustic Emission Signals for 2D and 3D Woven Glass/Epoxy Composites. Compos. Struct. 2014, 116, 286–299. [Google Scholar] [CrossRef]
- Eltaher, M.A.; Alsulami, R.; Wagih, A. On the Evolution of Energy Dissipation in Dispersed Composite Laminates under Out-of-Plane Loading. Compos. B Eng. 2021, 216, 108864. [Google Scholar] [CrossRef]
- Dikshit, V.; Nagalingam, A.P.; Yap, Y.L.; Sing, S.L.; Yeong, W.Y.; Wei, J. Investigation of Quasi-Static Indentation Response of Inkjet Printed Sandwich Structures under Variousindenter Geometries. Materials 2017, 10, 290. [Google Scholar] [CrossRef]
- EASYCell 75 Closed-Cell PVC Foam Specifications Datasheet. Available online: https://www.easycomposites.co.uk (accessed on 20 June 2023).
- Reis, J.M.L.; Coelho, J.L.V.; Monteiro, A.H.; Da Costa Mattos, H.S. Tensile Behavior of Glass/Epoxy Laminates at Varying Strain Rates and Temperatures. Compos. B Eng. 2012, 43, 2041–2046. [Google Scholar] [CrossRef]
- Jefferson Andrew, J.; Arumugam, V.; Ramesh, C.; Poorani, S.; Santulli, C. Quasi- Static Indentation Properties of Damaged Glass/Epoxy Composite Laminates Repaired by the Application of Intra-Ply Hybrid Patches. Polym. Test. 2017, 61, 132–145. [Google Scholar] [CrossRef]
- Geren, N.; Acer, D.C.; Uzay, C.; Bayramoglu, M. The Effect of Boron Carbide Additive on the Low-Velocity Impact Properties of Low-Density Foam Core Composite Sandwich Structures. Polym. Compos. 2021, 42, 2037–2049. [Google Scholar] [CrossRef]
- ASTM International. D6264/D6264M-17; Standard Test Method for Measuring the Damage Resistance of a Fiber-Reinforced Polymer-Matrix Composite to a Concentrated Quasi-Static Indentation Force. ASTM International: West Conshohocken, PA, USA, 2018; Volume 98, pp. 1–12. [CrossRef]
- Cai, J.; Luo, J.; Wang, S.; Yang, S. Feature Selection in Machine Learning: A New Perspective. Neurocomputing 2018, 300, 70–79. [Google Scholar] [CrossRef]
- Li, J.; Cheng, K.; Wang, S.; Morstatter, F.; Trevino, R.P.; Tang, J.; Liu, H. Feature Selection: A Data Perspective. ACM Comput. Surv. 2017, 50, 1–45. [Google Scholar] [CrossRef]
- Chandrashekar, G.; Sahin, F. A Survey on Feature Selection Methods. Comput. Electr. Eng. 2014, 40, 16–28. [Google Scholar] [CrossRef]
- Joseph, R.; Bhuiyan, Y.; Giurgiutiu, V. Acoustic Emission from Vibration of Cracked Sheet-Metal Samples. Eng. Fract. Mech. 2019, 217, 106544. [Google Scholar] [CrossRef]
- Liu, Y.; Zhang, L.; Li, Z.; Chen, Z.; Huang, K.; Guo, L. Investigation on Damage Evolution of Open-Hole Plain Woven Composites under Tensile Load by Acoustic Emission Signal Analysis. Compos. Struct. 2022, 305, 116481. [Google Scholar] [CrossRef]
- Saeedifar, M.; Zarouchas, D. Damage Characterization of Laminated Composites Using Acoustic Emission: A Review. Compos. B Eng. 2020, 195, 108039. [Google Scholar] [CrossRef]
- Wisner, B.; Mazur, K.; Perumal, V.; Baxevanakis, K.P.; An, L.; Feng, G.; Kontsos, A. Acoustic Emission Signal Processing Framework to Identify Fracture in Aluminum Alloys. Eng. Fract. Mech. 2019, 210, 367–380. [Google Scholar] [CrossRef]
- Wu, Y.; Pastor, M.L.; Perrin, M.; Casari, P.; Gong, X. A New Methodology to Predict Moisture Effects on Mechanical Behaviors of GFRP-BALSA Sandwich by Acoustic Emission and Infrared Thermography. Compos. Struct. 2022, 287, 115342. [Google Scholar] [CrossRef]
- Wu, Y.; Pastor, M.-L.; Perrin, M.; Casari, P.; Gong, X. Characterisation of Damage Mechanisms of GFRP-Balsa Sandwich under 4-Point Bending Based on Two-Step Clustering Process in Acoustic Emission Analysis. Compos. B Eng. 2023, 260, 110774. [Google Scholar] [CrossRef]
- Jefferson Andrew, J.; Arumugam, V.; Bull, D.J.; Dhakal, H.N. Residual Strength and Damage Characterization of Repaired Glass/Epoxy Composite Laminates Using A.E. and D.I.C. Compos. Struct. 2016, 152, 124–139. [Google Scholar] [CrossRef]
- Pashmforoush, F.; Khamedi, R.; Fotouhi, M.; Hajikhani, M.; Ahmadi, M. Damage Classification of Sandwich Composites Using Acoustic Emission Technique and K-Means Genetic Algorithm. J. Nondestr. Eval. 2014, 33, 481–492. [Google Scholar] [CrossRef]
- Andrew, J.J.; Arumugam, V.; Ramesh, C. Acoustic Emission Characterization of Local Bending Behavior for Adhesively Bonded Hybrid External Patch Repaired Glass/Epoxy Composite Laminates. Struct. Health Monit. 2019, 18, 739–756. [Google Scholar] [CrossRef]
- Elamin, M.; Li, B.; Tan, K.T. Impact Damage of Composite Sandwich Structures in Arctic Condition. Compos. Struct. 2018, 192, 422–433. [Google Scholar] [CrossRef]
- Aktay, L.; Johnson, A.F.; Holzapfel, M. Prediction of Impact Damage on Sandwich Composite Panels. Comput. Mater. Sci. 2005, 32, 252–260. [Google Scholar] [CrossRef]
- Adeniran, O.; Osa-Uwagboe, N.; Cong, W.; Ramoni, M. Fabrication Temperature-Related Porosity Effects on the Mechanical Properties of Additively Manufactured CFRP Composites. J. Compos. Sci. 2023, 7, 12. [Google Scholar] [CrossRef]
- Gholami, M.; Afrasiab, H.; Baghestani, A.M.; Fathi, A. Mechanical and Failure Analysis of Thick Composites under Hygrothermal Conditions by a Novel Coupled Hygro-Thermo-Mechanical Multiscale Algorithm. Compos. Sci. Technol. 2022, 230, 109773. [Google Scholar] [CrossRef]



















| Material | Young’s Modulus (GPa) | Shear Modulus (GPa) | Tensile Strength (MPa) | Poisson Ratio | Density (g/cm3) |
|---|---|---|---|---|---|
| E | G12 | ||||
| E-glass fabric | 72.39 | 8.27 | 3100–3800 | 0.26 | 2.25 |
| PVC foam | 0.075 | 0.028 | 1.89 | - | 0.075 |
| Epoxy matrix | 3.2–3.5 | - | 70–80 | 0.29 | 1.16 |
| Designation | Thickness (mm) | Description |
|---|---|---|
| GLH | 2 | Laminate/hemispherical punch |
| GLC | 2 | Laminates/conical punch |
| GLS | 2 | Laminate/square punch |
| GSH | 5 | Sandwich/hemispherical punch |
| GSC | 5 | Sandwich/conical punch |
| GSS | 5 | Sandwich/square punch |
| Specimen | PCC | |
|---|---|---|
| DBI | CHI | |
| GLH | 0.147 | 0.595 |
| GLC | 0.185 | 0.277 |
| GLS | 0.156 | 0.230 |
| GSH | 0.635 | 0.649 |
| GSC | 0.631 | 0.550 |
| GSS | 0.770 | 0.739 |
| Specimen | Peak Load (N) | Max Energy (J) | Area (mm2) | Perimeter (mm) | d/t |
|---|---|---|---|---|---|
| GSH | 2259.38 ± 71.88 | 12.07 ± 0.33 | 150.96 ± 16.94 | 47.09 ± 2.03 | 1.49 ± 0.02 |
| GSC | 589.60 ± 22.91 | 2.14 ± 0.10 | 37.61 ± 1.58 | 23.77 ± 0.15 | 1.34 ± 0.02 |
| GSS | 2774.60 ± 59.17 | 15.20 ± 0.71 | 119.59 ± 9.03 | 48.42 ± 1.12 | 1.80 ± 0.05 |
| GLH | 1488.40 ± 24.98 | 4.58 ± 0.19 | 48.04 ± 5.03 | 26.55 ± 1.17 | 1.48 ± 0.13 |
| GLC | 499.93 ± 7.58 | 1.28 ± 0.02 | 10.23 ± 1.46 | 13.67 ± 0.39 | 1.5 ± 0.09 |
| GLS | 2259.83 ± 71.88 | 9.70 ± 0.27 | 76.70 ± 9.44 | 32.59 ± 1.74 | 2.02 ± 0.08 |
Disclaimer/Publisher’s Note: The statements, opinions and data contained in all publications are solely those of the individual author(s) and contributor(s) and not of MDPI and/or the editor(s). MDPI and/or the editor(s) disclaim responsibility for any injury to people or property resulting from any ideas, methods, instructions or products referred to in the content. |
© 2023 by the authors. Licensee MDPI, Basel, Switzerland. This article is an open access article distributed under the terms and conditions of the Creative Commons Attribution (CC BY) license (https://creativecommons.org/licenses/by/4.0/).
Share and Cite
Osa-uwagboe, N.; Udu, A.G.; Silberschmidt, V.V.; Baxevanakis, K.P.; Demirci, E. Damage Assessment of Glass-Fibre-Reinforced Plastic Structures under Quasi-Static Indentation with Acoustic Emission. Materials 2023, 16, 5036. https://doi.org/10.3390/ma16145036
Osa-uwagboe N, Udu AG, Silberschmidt VV, Baxevanakis KP, Demirci E. Damage Assessment of Glass-Fibre-Reinforced Plastic Structures under Quasi-Static Indentation with Acoustic Emission. Materials. 2023; 16(14):5036. https://doi.org/10.3390/ma16145036
Chicago/Turabian StyleOsa-uwagboe, Norman, Amadi Gabriel Udu, Vadim V. Silberschmidt, Konstantinos P. Baxevanakis, and Emrah Demirci. 2023. "Damage Assessment of Glass-Fibre-Reinforced Plastic Structures under Quasi-Static Indentation with Acoustic Emission" Materials 16, no. 14: 5036. https://doi.org/10.3390/ma16145036
APA StyleOsa-uwagboe, N., Udu, A. G., Silberschmidt, V. V., Baxevanakis, K. P., & Demirci, E. (2023). Damage Assessment of Glass-Fibre-Reinforced Plastic Structures under Quasi-Static Indentation with Acoustic Emission. Materials, 16(14), 5036. https://doi.org/10.3390/ma16145036

