Interfacial Bonding and Fracture Behaviors of AZ63 Magnesium Alloy Sheet Processed by Accumulative Roll Bonding
Abstract
1. Introduction
2. Experimental Section
2.1. Materials
2.2. Principle of Material Processing
2.3. Experimental Schemes
3. Results and Discussion
3.1. Effects of Rolling Temperature on the Microstructure of the ARB-Processed Sheet
3.2. Effects of Rolling Passes on Microstructure of the ARB-Processed Sheet
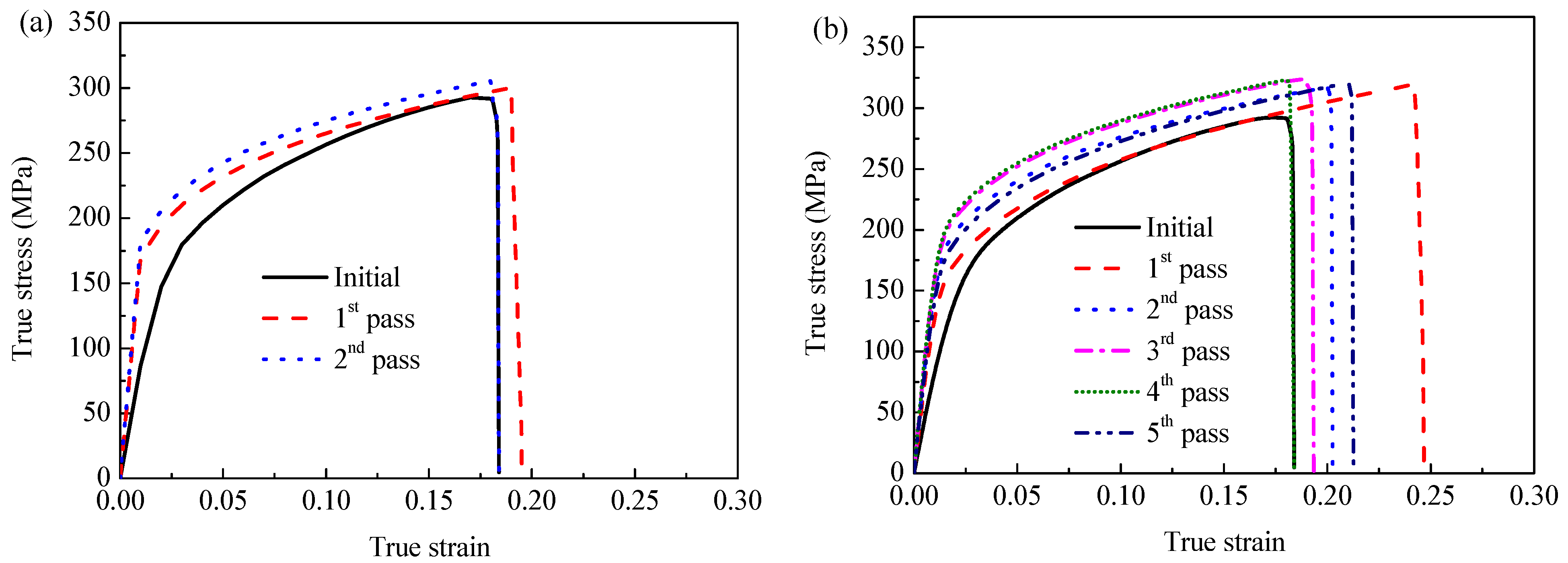
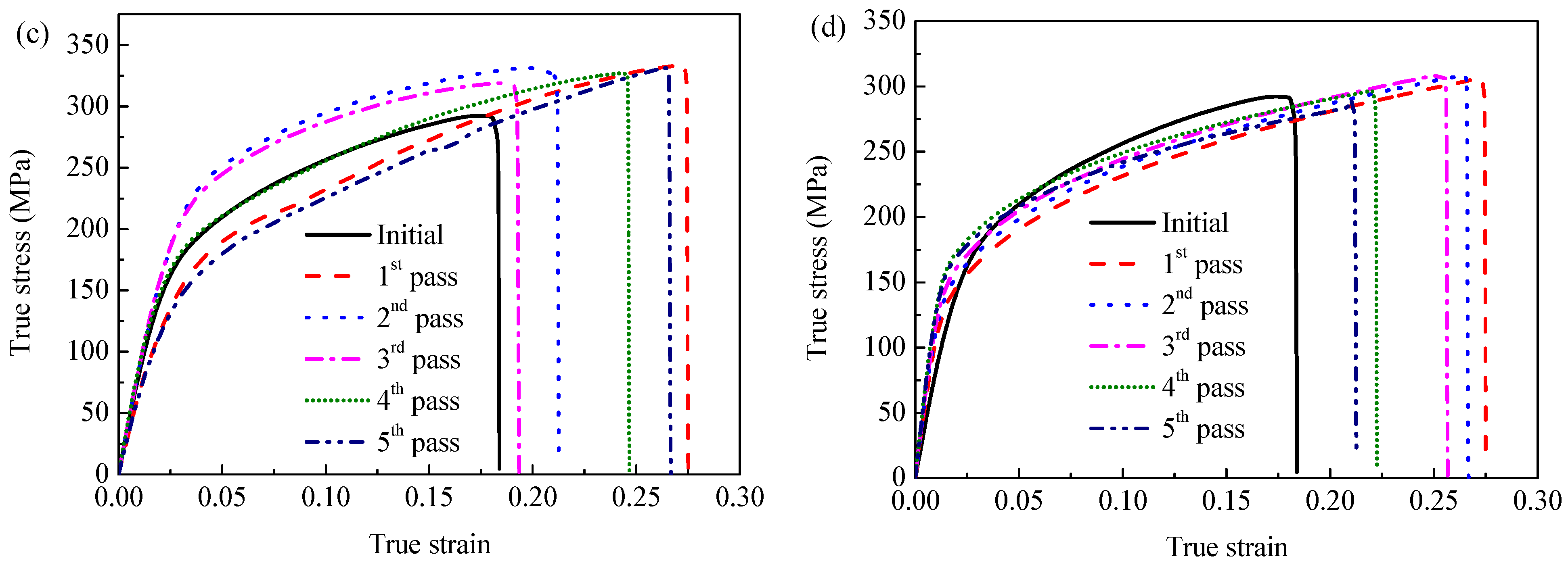
3.3. Interfacial Bonding Behaviors of the ARB-Processed Sheet
3.4. Twin-Induced Recrystallization and Grain Refinement during the ARB Process
3.5. Fracture Behaviors of the ARB-Processed Sheet in Uniaxial Tensile Stress State
4. Conclusions
Author Contributions
Funding
Institutional Review Board Statement
Informed Consent Statement
Data Availability Statement
Conflicts of Interest
References
- Jin, S.; Liu, H.; Wu, R.; Zhong, F.; Hou, L.; Zhang, J. Combination effects of Yb addition and cryogenic-rolling on microstructure and mechanical properties of LA141 alloy. Mater. Sci. Eng. A 2020, 788, 139611. [Google Scholar] [CrossRef]
- Ma, R.; Zhao, Y.; Wang, Y. Grain refinement and mechanical properties improvement of AZ31 Mg alloy sheet obtained by two-stage rolling. Mater. Sci. Eng. A 2017, 691, 81–87. [Google Scholar] [CrossRef]
- Wang, Y.; Zhang, S.; Wu, R.; Turakhodjaev, N.; Hou, L.; Zhang, J.; Betsofen, S. Coarsening kinetics and strengthening mechanisms of core-shell nanoscale precipitates in Al-Li-Yb-Er-Sc-Zr alloy. J. Mater. Sci. Technol. 2021, 61, 197–203. [Google Scholar] [CrossRef]
- Rnh, A.; Vmk, B.; Bsb, C. Severe plastic deformation—A review. Mater. Today Proc. 2018, 5, 22340–22349. [Google Scholar]
- Jafarian, H.R.; Zeng, Y.; Anijdan, S.; Eivani, A.R. The effect of accumulative roll bonding on the precipitation behavior of a single step artificially aged Al–Ag-Sc alloy. Mater. Sci. Eng. A 2021, 823, 141769. [Google Scholar] [CrossRef]
- Mei, X.M.; Mei, Q.S.; Li, J.Y.; Li, C.L.; Wan, L.; Chen, F.; Chen, Z.H.; Xu, T.; Wang, Y.C.; Tan, Y.Y. Solid-state alloying of al-mg alloys by accumulative roll-bonding: Microstructure and properties. J. Mater. Sci. Technol. 2022, 125, 238–251. [Google Scholar] [CrossRef]
- Ana, A.; Popovic, M.; Bajat, J.; Romhanji, E. Mechanical and corrosion properties of AA5083 alloy sheets produced by accumulative roll bonding (ARB) and conventional cold rolling (CR). Mater. Corros. 2018, 69, 858–869. [Google Scholar]
- Wang, Z.J.; Ma, M.; Qiu, Z.X.; Zhang, J.X.; Liu, W.C. Microstructure, texture and mechanical properties of AA1060 aluminum alloy processed by cryogenic accumulative roll bonding. Mater. Charact. 2018, 139, 269–278. [Google Scholar] [CrossRef]
- Ikeda, K.I.; Yamada, K.; Takata, N.; Yoshida, F.; Nakashima, H.; Tsuji, N. Grain boundary structure of ultrafine grained pure copper fabricated by accumulative roll bonding. Mater. Trans. 2016, 49, 24–30. [Google Scholar] [CrossRef]
- Carpenter, J.S.; Nizolek, T.; McCabe, R.J.; Knezevic, M.S.; Zheng, J.; Eftink, B.P.; Scott, J.E.; Vogel, S.C.; Pollock, T.M.; Mara, N.A.; et al. Bulk texture evolution of nanolamellar Zr–Nb composites processed via accumulative roll bonding. Acta Mater. 2015, 92, 97–108. [Google Scholar] [CrossRef]
- Mehr, V.Y.; Toroghinejad, M.R.; Rezaeian, A.; Asgari, H.; Szpunar, J.A. A texture study of nanostructured Al–Cu multi-layered composite manufactured via the accumulative roll bonding (ARB). J. Mater. Res. Technol. 2021, 14, 2909–2919. [Google Scholar] [CrossRef]
- Jiang, X.; Gao, S.; Zhang, L.; Wu, G.; Huang, X.; Tsuji, N. Microstructure, texture and mechanical properties of sandwiched ARB6/2/6 2N Al fabricated by accumulative roll bonding. Mater. Sci. Eng. A 2021, 817, 141356. [Google Scholar] [CrossRef]
- Jiang, S.; Peng, R.L.; Hegeds, Z.; Gnupel-Herold, T.; Moverare, J.J.; Lienert, U.; Fang, F.; Zhao, X.; Zuo, L.; Jia, N. Micromechanical behavior of multilayered Ti/Nb composites processed by accumulative roll bonding: An in-situ synchrotron X-ray diffraction investigation. Acta Mater. 2021, 205, 116546. [Google Scholar] [CrossRef]
- Jiang, S.; Peng, R.L.; Jia, N.; Zhao, X.; Zuo, L. Microstructural and textural evolutions in multilayered Ti/Cu composites processed by accumulative roll bonding. J. Mater. Sci. Technol. 2019, 35, 1165–1174. [Google Scholar] [CrossRef]
- Liu, X.R.; Wei, D.J.; Zhuang, L.M.; Cai, C.; Zhao, Y.H. Fabrication of high-strength graphene nanosheets/Cu composites by accumulative roll bonding. Mater. Sci. Eng. A 2015, 642, 1–6. [Google Scholar] [CrossRef]
- Del Valle, J.A.; Perez-Prado, M.T.; Ruano, O.A. Accumulative roll bonding of a Mg-based AZ61 alloy. Mater. Sci. Eng. A 2005, 410, 353–357. [Google Scholar] [CrossRef]
- Perez-Prado, M.T.; Del Valle, J.A.; Ruano, O.A. Grain refinement of Mg–Al–Zn alloys via accumulative roll bonding. Scr. Mater. 2004, 51, 1093–1097. [Google Scholar] [CrossRef]
- Perez-Prado, M.T.; Del Valle, J.A.; Ruano, O.A. Achieving high strength in commercial Mg cast alloys through large strain rolling. Mater. Lett. 2005, 59, 3299–3303. [Google Scholar] [CrossRef]
- Li, X.; Al-Sammana, T.; Gottsteina, G. Microstructure development and texture evolution of ME20 sheets processed by accumulative roll bonding. Mater. Lett. 2011, 65, 1907–1910. [Google Scholar] [CrossRef]
- Zhan, M.Y.; Zhang, W.W.; Zhang, D.T. Production of Mg-Al-Zn magnesium alloy sheets with ultrafine-grain microstructure by accumulative roll-bonding. Trans. Nonferrous Met. Soc. China 2011, 21, 991–997. [Google Scholar] [CrossRef]
- Wei, Z.; Zheng, H.P.; Wu, R.Z.; Zhang, J.H.; Wu, H.J.; Jin, S.Y.; Jiao, Y.L.; Hou, L.G. Interface behavior and tensile properties of Mg-14Li-3Al-2Gd sheets prepared by four-layer accumulative roll bonding. J. Manuf. Process. 2021, 61, 254–260. [Google Scholar] [CrossRef]
- Zuzanka, T.; Dzugan, J.; Kristyna, H.; Nemeth, M.; Minarik, P.; Lukac, P.; Bohlen, J. Influence of accumulative roll bonding on the texture and tensile properties of an AZ31 magnesium alloy sheets. Materials 2018, 11, 73. [Google Scholar]
- Tayyebi, M.; Adhami, M.; Karimi, A.; Rahmatabadi, D.; Alizadeh, M.; Hashemi, R. Effects of strain accumulation and annealing on interfacial microstructure and grain structure (Mg and Al3Mg2 layers) of Al/Cu/Mg multilayered composite fabricated by ARB process. J. Mater. Res. Technol. 2021, 14, 392–406. [Google Scholar] [CrossRef]
- Wang, T.; Zheng, H.; Wu, R.; Yang, J.L.; Ma, X.D.; Zhang, M.L. Preparation of fine-grained and high-strength Mg-8Li-3Al-1Zn alloy by accumulative roll bonding. Adv. Eng. Mater. 2015, 18, 304–311. [Google Scholar] [CrossRef]
- Roostaei, A.; Hanzaki, A.Z.; Abedi, H.R.; Rokni, R. An investigation into the mechanical behavior and microstructural evolution of the accumulative roll bonded AZ31 Mg alloy upon annealing. Mater. Des. 2011, 32, 2963–2968. [Google Scholar] [CrossRef]
- Seleznev, M.; Kaden, N.; Renzing, C.; Schmidtchen, M.; Prahl, U.; Biermann, H.; Weidner, A. Microstructural evolution of the bonding zone in TRIP-TWIP laminate produced by accumulative roll bonding. Mater. Sci. Eng. A 2022, 840, 142866. [Google Scholar] [CrossRef]
- Luo, X.; Huang, T.L.; Wang, Y.H.; Xin, Y.C.; Wu, G.L. Strong and ductile AZ31 Mg alloy with a layered bimodal structure. Sci. Rep. 2019, 9, 5428. [Google Scholar] [CrossRef]
- Rahmatabadi, D.; Pahlavani, M.; Delshad Gholami, M.; Marzbanradb, J.; Hashemi, R. Production of Al/Mg-Li composite by the accumulative roll bonding process. J. Mater. Res. Technol. 2020, 9, 7880–7886. [Google Scholar] [CrossRef]
- Agnew, S.R.; Duygulu, O. Plastic anisotropy and the role of non-basal slip in magnesium alloy AZ31B. Int. J. Plast. 2005, 21, 1161–1193. [Google Scholar] [CrossRef]
- Wu, X.L.; Zhu, Y.T. Heterogeneous materials: A new class of materials with unprecedented mechanical properties. Mater. Res. Lett. 2017, 5, 527–532. [Google Scholar] [CrossRef]
- Wu, X.L.; Yang, M.X.; Yuan, F.P.; Wu, G.L.; Wei, Y.J.; Huang, X.X.; Zhu, Y.T. Heterogeneous lamella structure unites ultrafine-grain strength with coarse-grain ductility. Proc. Nat. Acad. Sci. USA 2015, 112, 14501–14505. [Google Scholar] [CrossRef] [PubMed]

















| Elements | Al | Zn | Mn | Si | Cu | Ni | Fe | Mg |
|---|---|---|---|---|---|---|---|---|
| Wt.% | 6.37 | 2.96 | 0.44 | 0.007 | 0.005 | 0.002 | 0.001 | Bal. |
| No. | Number of Cycles | Number of Layers | Number of Bonded Boundaries | Layer Interval (μm) | Total Reduction (%) | Equivalent Strain |
|---|---|---|---|---|---|---|
| ARB1 | 1 | 2 | 1 | 500 | 50 | 0.8 |
| ARB2 | 2 | 4 | 3 | 250 | 75 | 1.6 |
| ARB3 | 3 | 8 | 7 | 125 | 87.5 | 2.4 |
| ARB4 | 4 | 16 | 15 | 62.5 | 93.75 | 3.2 |
| ARB5 | 5 | 32 | 31 | 31.2 | 96.875 | 4.0 |
| n | 2n | 2n− 1 | H0/2n | (1 − 2n) × 100 | 0.8n |
Disclaimer/Publisher’s Note: The statements, opinions and data contained in all publications are solely those of the individual author(s) and contributor(s) and not of MDPI and/or the editor(s). MDPI and/or the editor(s) disclaim responsibility for any injury to people or property resulting from any ideas, methods, instructions or products referred to in the content. |
© 2023 by the authors. Licensee MDPI, Basel, Switzerland. This article is an open access article distributed under the terms and conditions of the Creative Commons Attribution (CC BY) license (https://creativecommons.org/licenses/by/4.0/).
Share and Cite
Guo, J.; Sun, W.; Xiang, N.; Chen, F. Interfacial Bonding and Fracture Behaviors of AZ63 Magnesium Alloy Sheet Processed by Accumulative Roll Bonding. Materials 2023, 16, 4981. https://doi.org/10.3390/ma16144981
Guo J, Sun W, Xiang N, Chen F. Interfacial Bonding and Fracture Behaviors of AZ63 Magnesium Alloy Sheet Processed by Accumulative Roll Bonding. Materials. 2023; 16(14):4981. https://doi.org/10.3390/ma16144981
Chicago/Turabian StyleGuo, Junqing, Wanting Sun, Nan Xiang, and Fuxiao Chen. 2023. "Interfacial Bonding and Fracture Behaviors of AZ63 Magnesium Alloy Sheet Processed by Accumulative Roll Bonding" Materials 16, no. 14: 4981. https://doi.org/10.3390/ma16144981
APA StyleGuo, J., Sun, W., Xiang, N., & Chen, F. (2023). Interfacial Bonding and Fracture Behaviors of AZ63 Magnesium Alloy Sheet Processed by Accumulative Roll Bonding. Materials, 16(14), 4981. https://doi.org/10.3390/ma16144981
