Highly Sensitive Detection of Microstructure Variation Using a Thickness Resonant Transducer and Pulse-Echo Third Harmonic Generation
Abstract
1. Introduction
2. Absolute and Relative Nonlinear Parameters
3. Third Harmonic Generation Measurement and Effect of Various Corrections
3.1. Materials and Experimental Setup
3.2. Frequency Response of Transmitter and Receiver
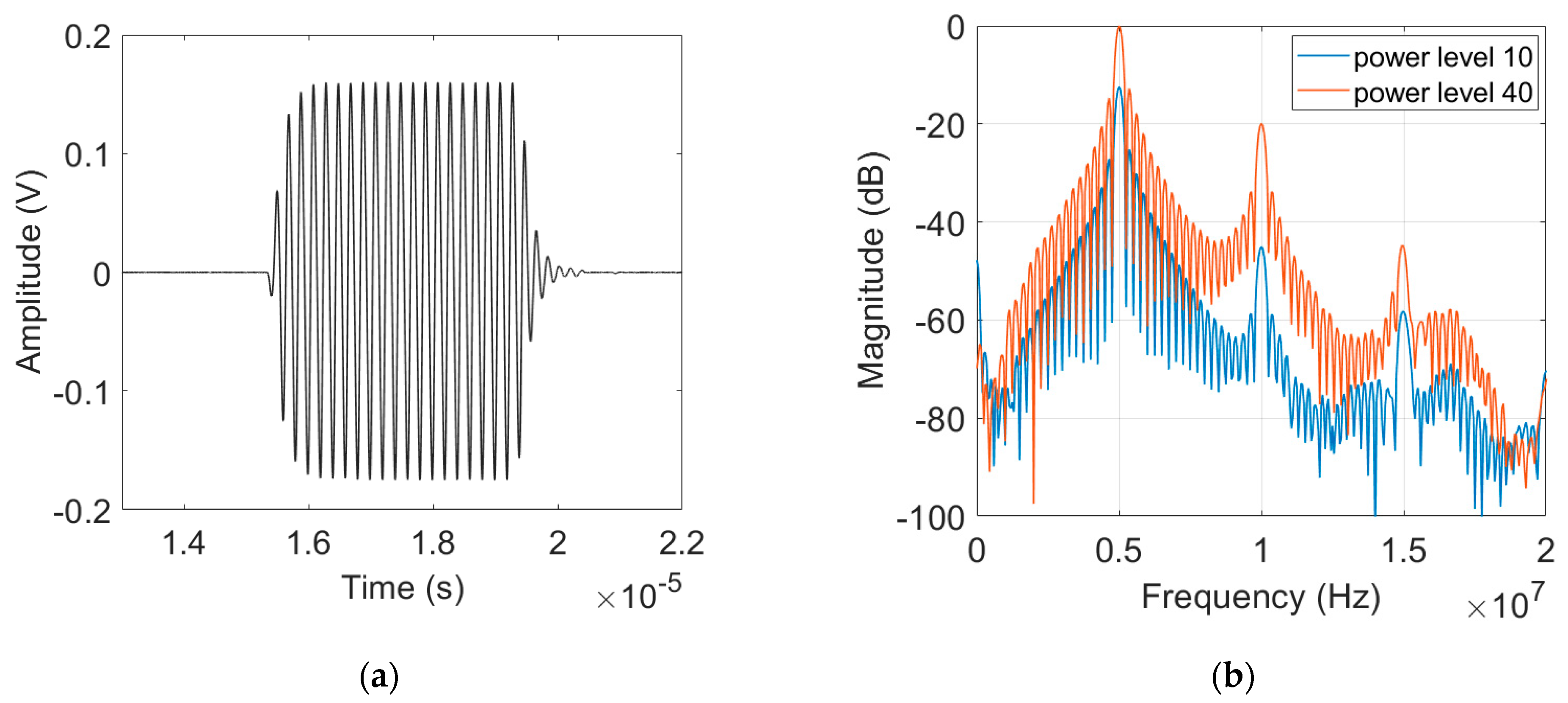
3.3. Received Output Signal and Magnitude Spectrum
3.4. Results of , and Combined Effect of Corrections
3.5. Comparison of and
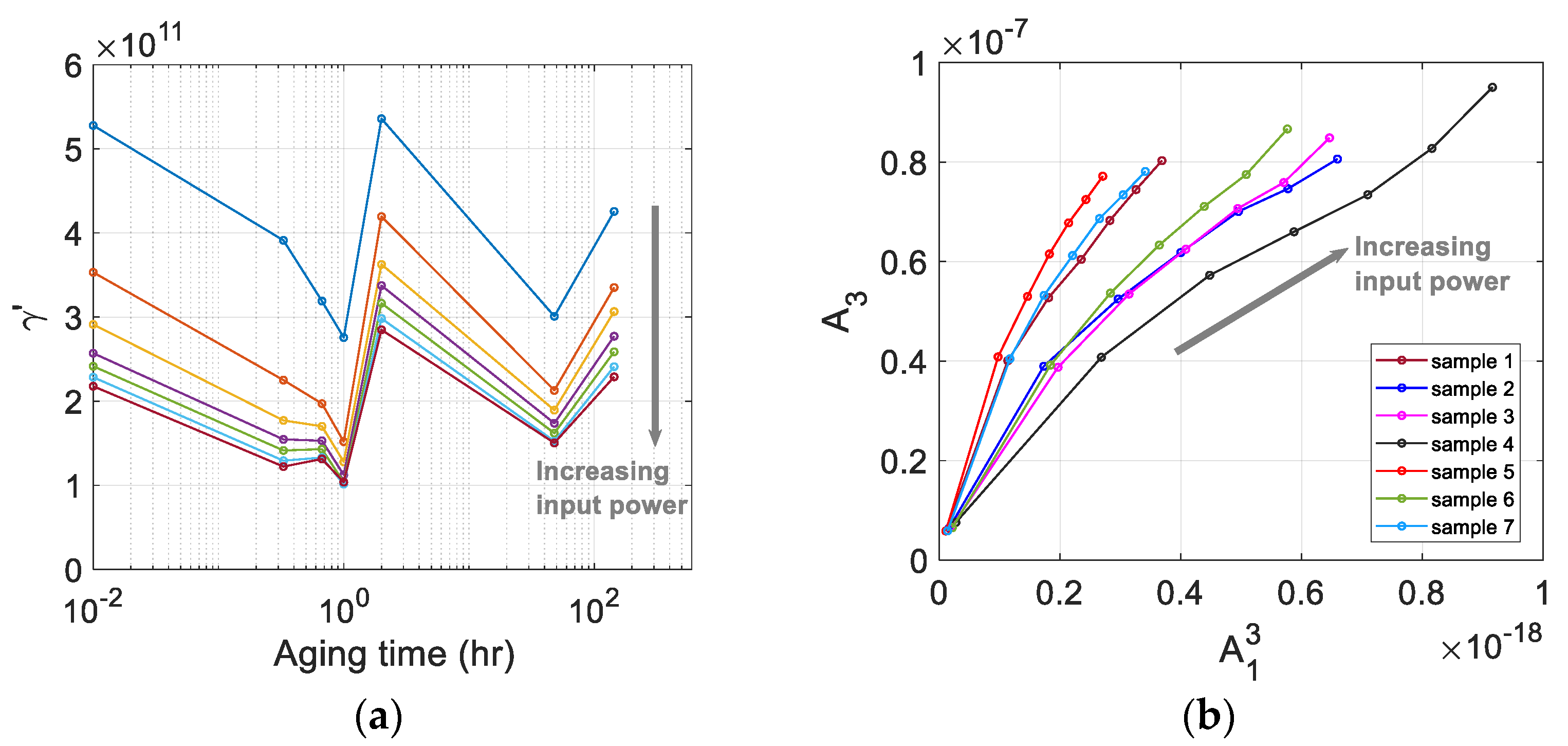
3.6. Plot of vs. and Source Nonlinearity Check

4. Thickness Resonant Transducer for THG Measurement in Pulse-Echo Mode
4.1. Specimens and Experimental Setup
4.2. Results of Uncorrected
4.3. Source Nonlinearity Correction
4.4. Comparison of Sensitivity and Overall Discussion
5. Conclusions
Author Contributions
Funding
Institutional Review Board Statement
Informed Consent Statement
Data Availability Statement
Conflicts of Interest
References
- Zhu, B.; Lee, J. A Study on Fatigue State Evaluation of Rail by the Use of Ultrasonic Nonlinearity. Materials 2019, 12, 2698. [Google Scholar] [CrossRef] [PubMed]
- Zhang, L.; Oskoe, S.K.; Li, H.; Ozevin, D. Combined Damage Index to Detect Plastic Deformation in Metals Using Acoustic Emission and Nonlinear Ultrasonics. Materials 2018, 11, 2151. [Google Scholar] [CrossRef]
- Kawashima, K. Harmonic Imaging of Plastic Deformation in Thin Metal Plates Using Nonlinear Ultrasonic Method. Jpn. J. Appl. Phys. 2011, 50, 07HC14. [Google Scholar] [CrossRef]
- Ren, G.; Kim, G.; Jhang, K. Relationship between second and third-order acoustic nonlinear parameters in relative measurement. Ultrasonics 2015, 56, 539–544. [Google Scholar] [CrossRef]
- Kamali, N.; Mahdav, A.; Chi, S.-W. Numerical study on how heterogeneity affects ultrasound high harmonics generation. Nondestruct. Test. Eval. 2020, 35, 158–176. [Google Scholar] [CrossRef]
- Shah, A.A.; Ribakov, Y. Non-linear ultrasonic evaluation of damaged concrete based on higher order harmonic generation. Mater. Des. 2009, 30, 4095–4102. [Google Scholar] [CrossRef]
- Chillara, V.K.; Lissenden, C.J. On some aspects of material behavior relating microstructure and ultrasonic higher harmonic generation. Int. J. Eng. Sci. 2015, 94, 59–70. [Google Scholar] [CrossRef]
- Hikata, A.; Sewell, F., Jr.; Elbaum, C. Generation of ultrasonic second and third harmonics due to dislocation ii. Phys. Rev. 1966, 151, 035003. [Google Scholar] [CrossRef]
- Best, S.R.; Croxford, A.J.; Neild, S.A. Pulse-Echo Harmonic Generation Measurements for Non-destructive Evaluation. J. Nondestruct. Eval. 2014, 33, 205–215. [Google Scholar] [CrossRef]
- Thompson, D.O.; Tennison, M.A.; Buck, O. Reflections of harmonics generated by finite-amplitude waves. J. Acoust. Soc. Am. 1968, 44, 435–436. [Google Scholar] [CrossRef]
- Bang, S.J.; Song, D.K.; Jhang, K.Y. Comparisons of second- and third-order ultrasonic nonlinearity parameters measured using through-transmission and pulse-echo methods. NDT E Int. 2023, 133, 102757. [Google Scholar] [CrossRef]
- Rasmussen, J.H.; Du, Y.; Jensen, J.A. Third harmonic imaging using pulse inversion. In Proceedings of the IEEE International Ultrasonics Symposium, Orlando, FL, USA, 18–21 October 2011. [Google Scholar]
- Dace, G.E.; Thompson, R.B.; Buck, O. Measurement of the acoustic harmonic generation for materials characterization using contact transducers. Rev. Prog. Quant. Nondestr. Eval. 1992, 11, 2069–2076. [Google Scholar]
- Pantea, C.; Osterhoudt, C.F.; Sinha, D.N. Determination of acoustical nonlinear parameter β of water using the finite amplitude method. Ultrasonics 2013, 53, 1012–1019. [Google Scholar] [CrossRef]
- Chitnalah, A.; Kourtiche, D.; Jakjoud, H.; Nadi, M. Pulse echo method for nonlinear ultrasound parameter measurement. Electron. J. Tech. Acoust. 2007, 13, 134–145. [Google Scholar]
- Zhang, S.; Li, X.; Jeong, H.; Cho, S. Investigation of material nonlinearity measurements using the third harmonic generation. IEEE Trans. Instrum. Meas. 2019, 68, 3635–3646. [Google Scholar] [CrossRef]
- Takeuchi, S.; Zaabi, M.R.A.A.; Sato, T.; Kawashima, N. Development of Ultrasound Transducer with Double-Peak-Type Frequency Characteristics for Harmonic Imaging and Subharmonic Imaging. Jpn. J. Appl. Phys. 2002, 41, 3619. [Google Scholar] [CrossRef]
- Adachi, H.; Wakabayashi, K.; Mizuno, H.; Nishio, M.; Ogawa, H.; Kamakura, T. Highly sensitive detection of the third harmonic signals using a separately arranged transmitter/receiver ultrasonic transducer. Acoust. Sci. Technol. 2002, 23, 53–56. [Google Scholar] [CrossRef]
- Lee, J.; Moon, J.Y.; Chang, J.H. A 35 MHz/105 MHz Dual-Element Focused Transducer for Intravascular Ultrasound Tissue Imaging Using the Third Harmonic. Sensors 2018, 18, 2290. [Google Scholar] [CrossRef]
- Jeong, H.; Cho, S.; Shin, H.; Zhang, S.; Li, X. Optimization and Validation of Dual Element Ultrasound Transducers for Im-proved Pulse-Echo Measurements of Material Nonlinearity. IEEE Sens. J. 2020, 20, 13596–13696. [Google Scholar] [CrossRef]
- Frijlink, M.E.; Løvstakken, L.; Torp, H. Investigation of transmit and receive performance at the fundamental and third harmonic resonance frequency of a medical ultrasound transducer. Ultrasonics 2009, 49, 601–604. [Google Scholar] [CrossRef]
- Thompson, R.B.; Tiersten, H.F. Harmonic generation of longitudinal elastic waves. J. Acoust. Soc. Am. 1977, 62, 33–37. [Google Scholar]
- Kube, C.M.; Arguelles, A.P. Ultrasonic harmonic generation from materials with up to cubic nonlinearity. J. Acoust. Soc. Am. 2017, 142, EL224–EL230. [Google Scholar]
- Jeong, H.; Shin, H.; Zhang, S.; Li, X. Measurement and in-depth analysis of higher harmonic generation in aluminum alloys with consideration of source nonlinearity. Materials 2023, 16, 4453. [Google Scholar] [CrossRef]
- Chakrapani, S.C.; Barnard, D.J. A Calibration Technique for Ultrasonic Immersion Transducers and Challenges in Moving Towards Immersion Based Harmonic Imaging. J. Nondestruct. Eval. 2019, 38, 76. [Google Scholar] [CrossRef]
- Best, S.R.; Croxford, A.J.; Neild, S.A. Modelling harmonic generation measurements in solids. Ultrasonics 2014, 54, 442–450. [Google Scholar] [CrossRef]
- Vander Meulena, F.; Haumesser, L. Evaluation of B/A nonlinear parameter using an acoustic self-calibrated pulse-echo method. Appl. Phys. Lett. 2008, 92, 214106. [Google Scholar] [CrossRef]
- Chitnalah, A.; Kourtiche, D.; Allies, L.; Nadi, M. Nonlinear ultrasound parameter measurement in pulse echo mode including diffraction effect. Phys. Chem. News 2005, 26, 27–31. [Google Scholar]
- Ozturk, F.; Sisman, A.; Toros, S.; Kilic, S.; Picu, R.C. Influence of aging treatment on mechanical properties of 6061 aluminum alloy. Mater. Des. 2010, 31, 972–975. [Google Scholar] [CrossRef]
- Callister, W.D., Jr.; Rethwisch, D.G. Materials Science and Engineering: An Introduction, 9th ed.; Wiley: Hoboken, NJ, USA, 2013; pp. 453–458. [Google Scholar]
- Chen, Z.; Qu, J. Dislocation-induced acoustic nonlinearity parameter in crystalline solids. J. Appl. Phys. 2013, 114, 164906. [Google Scholar] [CrossRef]
- Lyu, W.; Wu, X.; Xu, W. Nonlinear acoustic modeling and measurements during the fatigue process in metals. Metals 2019, 12, 607. [Google Scholar] [CrossRef]
- Kim, J.; Jhang, K.Y.; Kim, C. Dependence of nonlinear ultrasonic characteristic on second-phase precipitation in heat-treated Al 6061-T6 alloy. Ultrasonics 2018, 82, 84–90. [Google Scholar] [CrossRef]
- Metya, A.; Ghosh, M.; Parida, N.; Sagar, S.P. Higher harmonic analysis of ultrasonic signal for ageing behavior study of C-250 grade maraging steel. NDT E Int. 2008, 41, 484–489. [Google Scholar] [CrossRef]
- Cantrell, J.H.; Yost, W.T. Determination of precipitate nucleation and growth rates from ultrasonic harmonic generation. Appl. Phys. Lett. 2000, 77, 1952–1954. [Google Scholar] [CrossRef]
- Cantrell, J.H.; Zhang, X.G. Nonlinear acoustic response from precipitate-matrix misfit in a dislocation network. J. Appl. Phys. 1998, 84, 5469–5472. [Google Scholar] [CrossRef]
- Cantrell, J.H.; Yost, W.T. Effect of precipitate coherency strains on acoustic harmonic generation. J. Appl. Phys. 1997, 81, 2957–2962. [Google Scholar] [CrossRef]
- Edwards, G.A.; Stiller, K.; Dunlop, G.L.; Couper, M.J. The Precipitation Sequence in Al-Mg-Si Alloys. Acta Mater. 1998, 46, 3893–3904. [Google Scholar] [CrossRef]
- Buha, J.; Lumley, R.N.; Crosky, A.G.; Hono, K. Secondary Precipitation in an Al-Mg-Si-Cu Alloy. Acta Mater. 2007, 55, 3015–3024. [Google Scholar] [CrossRef]
- Siddiqui, R.A.; Abdullah, H.A.; Al-Belushi, K.R. Influence of aging parameters on the mechanical properties of 6063 aluminum alloy. J. Mater. Process. Technol. 2000, 102, 234–240. [Google Scholar] [CrossRef]












Disclaimer/Publisher’s Note: The statements, opinions and data contained in all publications are solely those of the individual author(s) and contributor(s) and not of MDPI and/or the editor(s). MDPI and/or the editor(s) disclaim responsibility for any injury to people or property resulting from any ideas, methods, instructions or products referred to in the content. |
© 2023 by the authors. Licensee MDPI, Basel, Switzerland. This article is an open access article distributed under the terms and conditions of the Creative Commons Attribution (CC BY) license (https://creativecommons.org/licenses/by/4.0/).
Share and Cite
Jeong, H.; Shin, H.; Zhang, S.; Li, X. Highly Sensitive Detection of Microstructure Variation Using a Thickness Resonant Transducer and Pulse-Echo Third Harmonic Generation. Materials 2023, 16, 4739. https://doi.org/10.3390/ma16134739
Jeong H, Shin H, Zhang S, Li X. Highly Sensitive Detection of Microstructure Variation Using a Thickness Resonant Transducer and Pulse-Echo Third Harmonic Generation. Materials. 2023; 16(13):4739. https://doi.org/10.3390/ma16134739
Chicago/Turabian StyleJeong, Hyunjo, Hyojeong Shin, Shuzeng Zhang, and Xiongbing Li. 2023. "Highly Sensitive Detection of Microstructure Variation Using a Thickness Resonant Transducer and Pulse-Echo Third Harmonic Generation" Materials 16, no. 13: 4739. https://doi.org/10.3390/ma16134739
APA StyleJeong, H., Shin, H., Zhang, S., & Li, X. (2023). Highly Sensitive Detection of Microstructure Variation Using a Thickness Resonant Transducer and Pulse-Echo Third Harmonic Generation. Materials, 16(13), 4739. https://doi.org/10.3390/ma16134739

