Preparation and Characterization of Carbazole-Based Luminogen with Efficient Emission in Solid and Solution States
Abstract
1. Introduction
2. Results and Discussion
2.1. Synthesis
2.2. Photophysical Properties in Solution
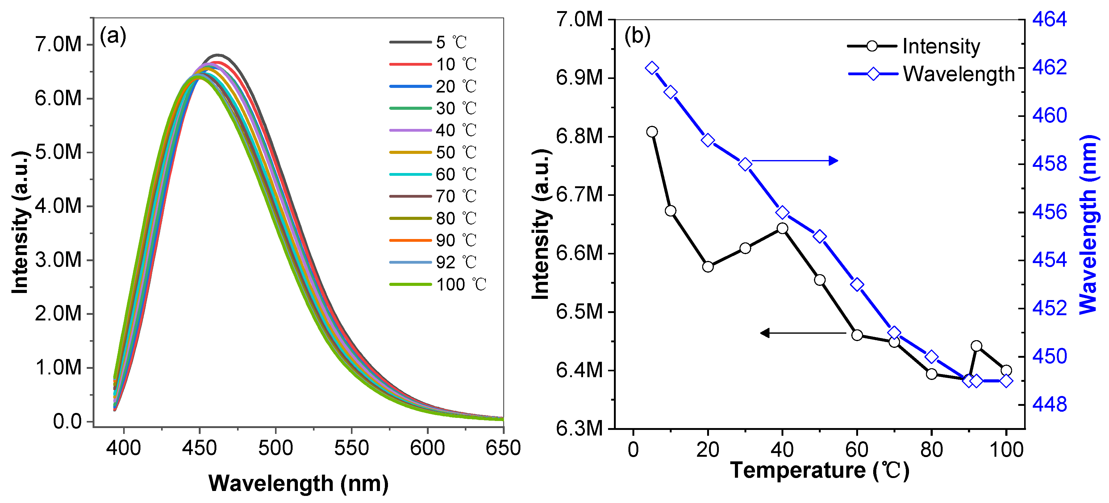
2.3. The Effect of Temperature on the Optical Properties in Solutions
2.4. Optical Properties CZ-BT at Solid States
2.5. Single Crystals and Theory Calculations
2.6. Explosive Detection
3. Conclusions
Supplementary Materials
Author Contributions
Funding
Institutional Review Board Statement
Informed Consent Statement
Data Availability Statement
Conflicts of Interest
References
- Belmonte-Vázquez, J.L.; Amador-Sánchez, Y.A.; Rodríguez-Cortés, L.A.; Rodríguez-Molina, B. Dual-State Emission (DSE) in Organic Fluorophores: Design and Applications. Chem. Mater. 2021, 33, 7160–7184. [Google Scholar] [CrossRef]
- Rodríguez-Cortés, L.A.; Hernández, F.J.; Rodríguez, M.; Toscano, R.A.; Jiménez-Sánchez, A.; Crespo-Otero, R.; Rodríguez-Molina, B. Conformational emissive states in dual-state emitters with benzotriazole acceptors. Matter 2023, 6, 1140–1159. [Google Scholar] [CrossRef]
- Stoerkler, T.; Pariat, T.; Laurent, A.D.; Jacquemin, D.; Ulrich, G.; Massue, J. Excited-State Intramolecular Proton Transfer Dyes with Dual-State Emission Properties: Concept, Examples and Applications. Molecules 2022, 27, 2443. [Google Scholar] [CrossRef] [PubMed]
- Qiu, Q.; Xu, P.; Zhu, Y.; Yu, J.; Wei, M.; Xi, W.; Feng, H.; Chen, J.; Qian, Z. Rational Design of Dual-State Emission Luminogens with Solvatochromism by Combining a Partially Shared Donor–Acceptor Pattern and Twisted Structures. Chem. Eur. J. 2019, 25, 15983–15987. [Google Scholar] [CrossRef] [PubMed]
- Chen, X.; Zhuang, X.-M.; Wang, Z.-Y.; Zhu, J.-J.; Tang, S.-S.; Zheng, X.-H.; Liu, Y.; Tong, Q.-X. A multifunctional bipolar host material based on phenanthroimidazole for efficient green and red PhOLEDs with low turn-on voltage. Org. Electron. 2019, 69, 85–91. [Google Scholar] [CrossRef]
- Berdnikova, D.V.; Steup, S.; Bolte, M.; Suta, M. Design of Aurone-Based Dual-State Emissive (DSE) Fluorophores. Chem. Eur. J. 2023, 29, e202300356. [Google Scholar] [CrossRef]
- Rodríguez-Cortés, L.A.; Navarro-Huerta, A.; Rodríguez-Molina, B. One molecule to light it all: The era of dual-state emission. Matter 2021, 4, 2622–2624. [Google Scholar] [CrossRef]
- Chen, G.; Li, W.; Zhou, T.; Peng, Q.; Zhai, D.; Li, H.; Yuan, W.Z.; Zhang, Y.; Tang, B.Z. Conjugation-Induced Rigidity in Twisting Molecules: Filling the Gap Between Aggregation-Caused Quenching and Aggregation-Induced Emission. Adv. Mater. 2015, 27, 4496–4501. [Google Scholar] [CrossRef]
- Lv, H.; Wei, L.; Guo, S.; Zhang, X.; Chen, F.; Qin, X.; Wei, C.; Jiang, B.; Gong, Y. Ionic Rigid Organic Dual-State Emission Compound With Rod-Shaped and Conjugated Structure for Sensitive Al3+ Detection. Front. Chem. 2022, 10, 807088. [Google Scholar] [CrossRef]
- Luo, J.; Xie, Z.; Lam, J.W.; Cheng, L.; Chen, H.; Qiu, C.; Kwok, H.S.; Zhan, X.; Liu, Y.; Zhu, D. Aggregation-induced emission of 1-methyl-1, 2, 3, 4, 5-pentaphenylsilole. Chem. Commun. 2001, 1740–1741. [Google Scholar] [CrossRef]
- Zheng, Z.; Li, D.; Liu, Z.; Peng, H.-Q.; Sung, H.H.Y.; Kwok, R.T.K.; Williams, I.D.; Lam, J.W.Y.; Qian, J.; Tang, B.Z. Aggregation-Induced Nonlinear Optical Effects of AIEgen Nanocrystals for Ultradeep In Vivo Bioimaging. Adv. Mater. 2019, 31, 1904799. [Google Scholar] [CrossRef] [PubMed]
- Feng, X.; Zhang, J.; Hu, Z.; Wang, Q.; Islam, M.M.; Ni, J.-S.; Elsegood, M.R.J.; Lam, J.W.Y.; Zhou, E.; Tang, B.Z. Pyrene-based aggregation-induced emission luminogens (AIEgen): Structure correlated with particle size distribution and mechanochromism. J. Mater. Chem. C 2019, 7, 6932–6940. [Google Scholar] [CrossRef]
- Gong, Y.; Liu, J.; Zhang, Y.; He, G.; Lu, Y.; Fan, W.B.; Yuan, W.Z.; Sun, J.Z.; Zhang, Y. AIE-active, highly thermally and morphologically stable, mechanochromic and efficient solid emitters for low color temperature OLEDs. J. Mater. Chem. C 2014, 2, 7552–7560. [Google Scholar] [CrossRef]
- Chen, Y.; Lam, J.W.; Kwok, R.T.; Liu, B.; Tang, B.Z. Aggregation-induced emission: Fundamental understanding and future developments. Mater. Horiz. 2019, 6, 428–433. [Google Scholar] [CrossRef]
- Cai, X.; Liu, B. Aggregation-induced emission: Recent advances in materials and biomedical applications. Angew. Chem. Int. Ed. 2020, 59, 9868–9886. [Google Scholar] [CrossRef]
- Chen, F.; Jin, Y.; Wei, L.; Jiang, B.; Guo, S.; Wei, C.; Gong, Y. Poly-L-aspartic acid based nonconventional luminescent biomacromolecules with efficient emission in dilute solutions for Al3+ detection. Int. J. Biol. Macromol. 2023, 226, 1387–1395. [Google Scholar] [CrossRef]
- Wang, J.; Liu, Z.; Yang, S.; Lin, Y.; Lin, Z.; Ling, Q. Large Changes in Fluorescent Color and Intensity of Symmetrically Substituted Arylmaleimides Caused by Subtle Structure Modifications. Chem. Eur. J. 2018, 24, 322–326. [Google Scholar] [CrossRef]
- Price, J.; Albright, E.; Decken, A.; Eisler, S. Thioarylmaleimides: Accessible, tunable, and strongly emissive building blocks. Org. Biomol. Chem. 2019, 17, 9562–9566. [Google Scholar] [CrossRef]
- Cai, Z.; Lei, Y.; Liu, Q.; Dong, L.; Shi, J.; Zhi, J.; Tong, B.; Dong, Y. The Dual-State Luminescent Mechanism of 2, 3, 4, 5-Tetraphenyl-1H-Pyrrole. Chem. Eur. J. 2018, 24, 14269–14274. [Google Scholar]
- Reig, M.; Gozálvez, C.; Bujaldón, R.; Bagdziunas, G.; Ivaniuk, K.; Kostiv, N.; Volyniuk, D.; Grazulevicius, J.V.; Velasco, D. Easy accessible blue luminescent carbazole-based materials for organic light-emitting diodes. Dyes Pigments 2017, 137, 24–35. [Google Scholar] [CrossRef]
- Yang, J.; Fang, M.; Li, Z. Organic luminescent materials: The concentration on aggregates from aggregation-induced emission. Aggregate 2020, 1, 6–18. [Google Scholar] [CrossRef]
- Zhao, M.; Zhang, H.; Gu, C.; Ma, Y. Electrochemical polymerization: An emerging approach for fabricating high-quality luminescent films and super-resolution OLEDs. J. Mater. Chem. C 2020, 8, 5310–5320. [Google Scholar] [CrossRef]
- Zuo, R.; Wang, S.; Pang, Y.; Xiao, Y.; Jiang, Z. Synthesis and characterization of AIE-active and photo-active α-cyanostilbene-containing carbazole-based hexacatenars. Dyes Pigments 2021, 188, 109153. [Google Scholar] [CrossRef]
- Zhan, Y.; Yang, Z.; Tan, J.; Qiu, Z.; Mao, Y.; He, J.; Yang, Q.; Ji, S.; Cai, N.; Huo, Y. Synthesis, aggregation-induced emission (AIE) and electroluminescence of carbazole-benzoyl substituted tetraphenylethylene derivatives. Dyes Pigments 2020, 173, 107898. [Google Scholar] [CrossRef]
- Venkatramaiah, N.; Kumar, G.D.; Chandrasekaran, Y.; Ganduri, R.; Patil, S. Efficient Blue and Yellow Organic Light-Emitting Diodes Enabled by Aggregation-Induced Emission. ACS Appl. Mater. Interfaces 2018, 10, 3838–3847. [Google Scholar] [CrossRef]
- Prusti, B.; Chakravarty, M. Carbazole-Anthranyl π-Conjugates as Small and Stable Aggregation-Induced Emission-Active Fluorogens: Serving as a Reusable and Efficient Platform for Anticounterfeiting Applications with an Acid Key and Multicolor Ink for a Quill Pen. ACS Omega 2019, 4, 16963–16971. [Google Scholar] [CrossRef]
- Zhou, J.; Huang, M.; Zhu, X.; Wan, Y. One-pot synthesis of dual-state emission (DSE) luminogens containing the V-shape furo[2,3-b]furan scaffold. Chin. Chem. Lett. 2021, 32, 445–448. [Google Scholar] [CrossRef]
- Boccolini, A.; Marques-Hueso, J.; Richards, B.S. Self-absorption in upconverter luminescent layers: Impact on quantum yield measurements and on designing optimized photovoltaic devices. Opt. Lett. 2014, 39, 2904–2907. [Google Scholar] [CrossRef]
- Luo, J.; Guo, S.; Chen, F.; Jiang, B.; Wei, L.; Gong, Y.; Zhang, B.; Liu, Y.; Wei, C.; Tang, B.Z. Rational design strategies for nonconventional luminogens with efficient and tunable emission in dilute solution. Chem. Eng. J. 2023, 454, 140469. [Google Scholar] [CrossRef]
- Akhmadeev, B.S.; Gerasimova, T.P.; Gilfanova, A.R.; Katsyuba, S.A.; Islamova, L.N.; Fazleeva, G.M.; Kalinin, A.A.; Daminova, A.G.; Fedosimova, S.V.; Amerhanova, S.K.; et al. Temperature-sensitive emission of dialkylaminostyrylhetarene dyes and their incorporation into phospholipid aggregates: Applicability for thermal sensing and cellular uptake behavior. Spectrochim. Acta A 2022, 268, 120647. [Google Scholar] [CrossRef]
- Jiang, Y.; Liu, Y.-Y.; Liu, X.; Lin, H.; Gao, K.; Lai, W.-Y.; Huang, W. Organic solid-state lasers: A materials view and future development. Chem. Soc. Rev. 2020, 49, 5885–5944. [Google Scholar] [CrossRef] [PubMed]
- Frisch, M.J.; Trucks, G.W.; Schlegel, H.B.; Scuseria, G.E.; Robb, M.A.; Cheeseman, J.R.; Scalmani, G.; Barone, V.; Petersson, G.A.; Nakatsuji, H.; et al. Gaussian 16 Rev. B.01; Gaussian, Inc.: Wallingford, CN, USA, 2016. [Google Scholar]
- Lu, T.; Chen, Q. Interaction Region Indicator: A Simple Real Space Function Clearly Revealing Both Chemical Bonds and Weak Interactions. Chem. Methods 2021, 1, 231–239. [Google Scholar] [CrossRef]
- Zou, L.; Guo, S.; Lv, H.; Chen, F.; Wei, L.; Gong, Y.; Liu, Y.; Wei, C. Molecular design for organic luminogens with efficient emission in solution and solid-state. Dyes Pigments 2022, 198, 109958. [Google Scholar] [CrossRef]
- Du, L.-L.; Jiang, B.-L.; Chen, X.-H.; Wang, Y.-Z.; Zou, L.-M.; Liu, Y.-L.; Gong, Y.-Y.; Wei, C.; Yuan, W.-Z. Clustering-triggered Emission of Cellulose and Its Derivatives. Chin. J. Polym. Sci. 2019, 37, 409–415. [Google Scholar] [CrossRef]
- Kathiravan, A.; Gowri, A.; Srinivasan, V.; Smith, T.A.; Ashokkumar, M.; Jhonsi, M.A. A simple and ubiquitous device for picric acid detection in latent fingerprints using carbon dots. Analyst 2020, 145, 4532–4539. [Google Scholar] [CrossRef]
- Liu, W.; Chen, C.; Wu, Z.; Pan, Y.; Ye, C.; Mu, Z.; Luo, X.; Chen, W.; Liu, W. Construction of multifunctional luminescent lanthanide MOFs by hydrogen bond functionalization for picric acid detection and fluorescent dyes encapsulation. ACS Sustain. Chem. Eng. 2020, 8, 13497–13506. [Google Scholar] [CrossRef]
- Kaur, N.; Tiwari, P.; Mate, N.; Sharma, V.; Mobin, S.M. Photoactivatable carbon dots as a label-free fluorescent probe for picric acid detection and light-induced bacterial inactivation. J. Photochem. Photobiol. B 2022, 229, 112412. [Google Scholar] [CrossRef]






Disclaimer/Publisher’s Note: The statements, opinions and data contained in all publications are solely those of the individual author(s) and contributor(s) and not of MDPI and/or the editor(s). MDPI and/or the editor(s) disclaim responsibility for any injury to people or property resulting from any ideas, methods, instructions or products referred to in the content. |
© 2023 by the authors. Licensee MDPI, Basel, Switzerland. This article is an open access article distributed under the terms and conditions of the Creative Commons Attribution (CC BY) license (https://creativecommons.org/licenses/by/4.0/).
Share and Cite
Zhang, B.; Wei, L.; Tang, X.; Jiang, Z.; Guo, S.; Zou, L.; Xie, H.; Gong, Y.; Liu, Y. Preparation and Characterization of Carbazole-Based Luminogen with Efficient Emission in Solid and Solution States. Materials 2023, 16, 4193. https://doi.org/10.3390/ma16114193
Zhang B, Wei L, Tang X, Jiang Z, Guo S, Zou L, Xie H, Gong Y, Liu Y. Preparation and Characterization of Carbazole-Based Luminogen with Efficient Emission in Solid and Solution States. Materials. 2023; 16(11):4193. https://doi.org/10.3390/ma16114193
Chicago/Turabian StyleZhang, Beibei, Lingzhong Wei, Xuansi Tang, Zizhan Jiang, Song Guo, Linmin Zou, Huihong Xie, Yongyang Gong, and Yuanli Liu. 2023. "Preparation and Characterization of Carbazole-Based Luminogen with Efficient Emission in Solid and Solution States" Materials 16, no. 11: 4193. https://doi.org/10.3390/ma16114193
APA StyleZhang, B., Wei, L., Tang, X., Jiang, Z., Guo, S., Zou, L., Xie, H., Gong, Y., & Liu, Y. (2023). Preparation and Characterization of Carbazole-Based Luminogen with Efficient Emission in Solid and Solution States. Materials, 16(11), 4193. https://doi.org/10.3390/ma16114193

