Aero-Engine Blade Cryogenic Cooling Milling Deformation Simulation and Process Parameter Optimization
Abstract
1. Introduction
2. Material and Methods
2.1. Low-Temperature Jet Principle and Device
2.2. Tool-Workpiece Finite Element Model Building
2.3. Settings of Physical Parameters
2.4. Material Ontogeny Equations
3. Blade Milling Deformation Simulation Test and Data Analysis
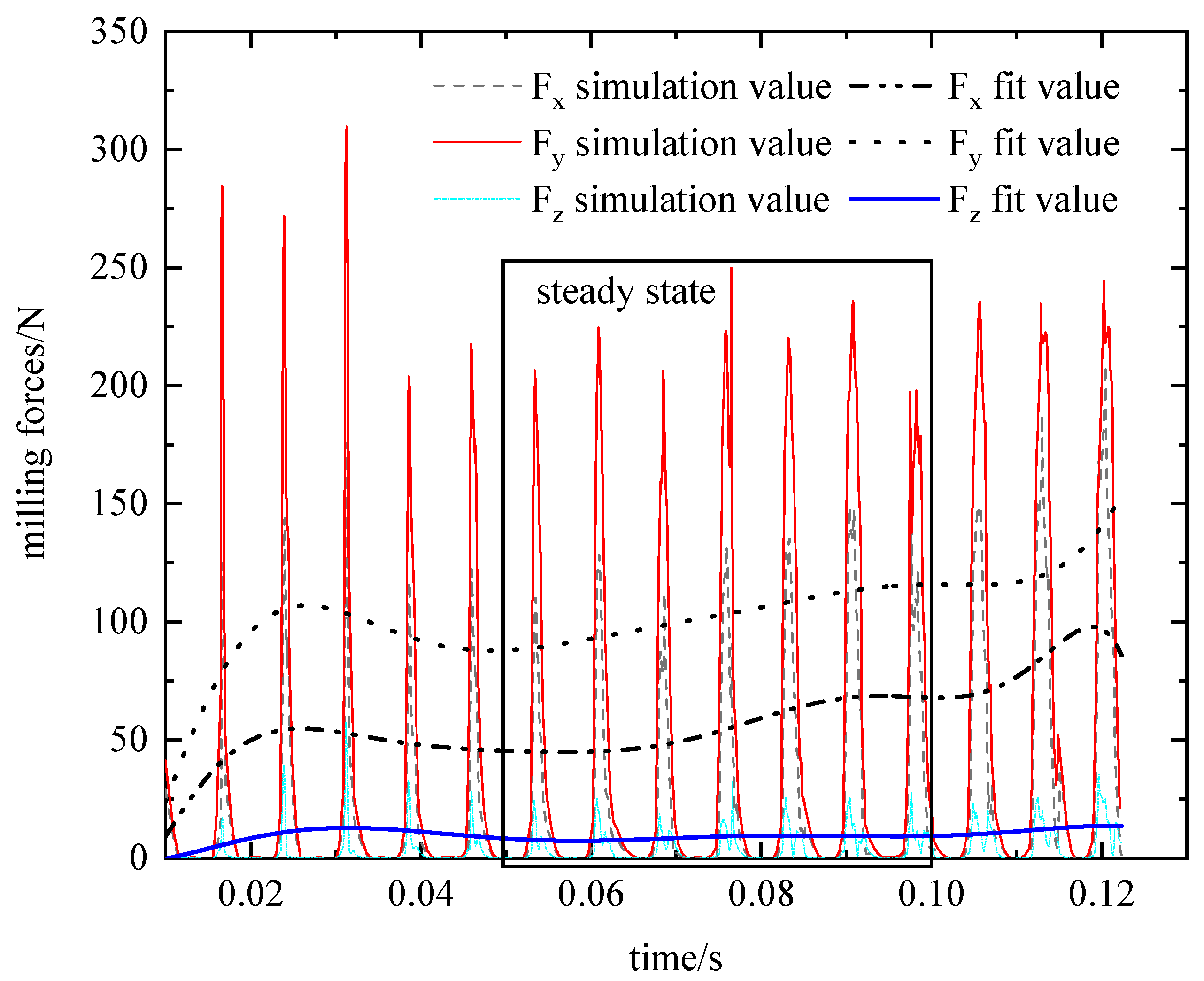
3.1. Milling Force and Milling Temperature Data Processing
3.2. Blade Deformation Data Processing
3.3. Experimental Program
3.4. Single-Factor Test Results and Analysis
3.5. Box–Benhnken Test Analysis and Results
4. Optimize Process Parameters to Control Blade Deformation
4.1. Establish a Multivariate Nonlinear Regression Model between Process Parameters—Blade Deformation
4.2. Particle Swarm Algorithm Modeling
4.3. Particle Swarm Algorithm Model Training
4.4. Particle Swarm Algorithm Optimization and Validation
5. Conclusions
Author Contributions
Funding
Institutional Review Board Statement
Informed Consent Statement
Data Availability Statement
Conflicts of Interest
References
- Bejjani, R.; Salame, C.; Olsson, M. An Experimental and Finite Element Approach for a Better Understanding of Ti-6Al-4V Behavior When Machining under Cryogenic Environment. Materials 2021, 14, 2796. [Google Scholar] [CrossRef] [PubMed]
- Shokrani, A.; Newman, S.T. A New Cutting Tool Design for Cryogenic Machining of Ti-6Al-4V Titanium Alloy. Materials 2019, 12, 477. [Google Scholar] [CrossRef]
- Hong, S.Y.; Ding, Y. Cooling approaches and cutting temperatures in cryogenic machining of Ti-6Al-4V. Int. J. Mach. Tools Manuf. 2001, 41, 1417–1437. [Google Scholar] [CrossRef]
- Yin, X.; Chen, H.; Deng, W. Effects of Machining Velocity on Ultra-Fine Grained Al 7075 Alloy Produced by Cryogenic Temperature Large Strain Extrusion Machining. Materials 2019, 12, 1656. [Google Scholar] [CrossRef] [PubMed]
- Shokrani, A.; Dhokia, V.; Newman, S. Investigation of the effects of cryogenic machining on surface integrity in CNC end milling of Ti–6Al–4V titanium alloy. J. Manuf. Process. 2016, 21, 172–179. [Google Scholar] [CrossRef]
- Thamizhmanii, S.; Mohideen, R.; Zaidi, A.M.A.; Hasan, S. Surface Roughness and Tool Wear on Cryogenic Treated CBN Insert on Titanium and Inconel 718 Alloy Steel. IOP Conf. Ser. Mater. Sci. Eng. 2015, 100, 012058. [Google Scholar] [CrossRef]
- Kaynak, Y.; Gharibi, A. Cryogenic Machining of Titanium Ti-5553 Alloy. J. Manuf. Sci. Eng. 2019, 141, 041012. [Google Scholar] [CrossRef]
- Dai, X.; Zhuang, K.; Pu, D.; Zhang, W.; Ding, H. An Investigation of the Work Hardening Behavior in Interrupted Cutting Inconel 718 under Cryogenic Conditions. Materials 2020, 13, 2202. [Google Scholar] [CrossRef]
- Iqbal, A.; Zhao, G.; Suhaimi, H.; Nauman, M.M.; He, N.; Zaini, J.; Zhao, W. On Coolant Flow Rate-Cutting Speed Trade-Off for Sustainability in Cryogenic Milling of Ti–6Al–4V. Materials 2021, 14, 3429. [Google Scholar] [CrossRef]
- Ukamanal, M.; Mishra, P.; Sahoo, A. Effects of Spray Cooling Process Parameters on Machining Performance AISI 316 Steel: A Novel Experimental Technique. Exp. Tech. 2020, 44, 19–36. [Google Scholar] [CrossRef]
- Danish, M.; Rubaiee, S.; Ijaz, H. Predictive Modelling and Multi-Objective Optimization of Surface Integrity Parameters in Sustainable Machining Processes of Magnesium Alloy. Materials 2021, 14, 3547. [Google Scholar] [CrossRef]
- Liu, J.; Li, A.; Zhang, J.; Wang, Y.; Feng, Z. Performance of High-Speed Steel Drills in Wet Drilling Inconel 718 Superalloy. Exp. Tech. 2022, 47, 395–406. [Google Scholar] [CrossRef]
- Caudill, J.; Schoop, J.; Jawahir, I. Numerical Modeling of Cutting Forces and Temperature Distribution in High Speed Cryogenic and Flood-cooled Milling of Ti-6Al-4V. Procedia CIRP 2019, 82, 83–88. [Google Scholar] [CrossRef]
- Boulila, A.; Boujelbene, M.; Fekiri, C.; Hammami, A. Optimization of manufacturing complex-shaped gas turbine blades. Measurement 2019, 135, 768–781. [Google Scholar] [CrossRef]
- Jamil, M.; Khan, A.M.; Hegab, H.; Gong, L.; Mia, M.; Gupta, M.K.; He, N. Effects of hybrid Al2O3-CNT nanofluids and cryogenic cooling on machining of Ti–6Al–4V. Int. J. Adv. Manuf. Technol. 2019, 102, 3895–3909. [Google Scholar] [CrossRef]
- Gupta, M.K.; Korkmaz, M.E.; Sarıkaya, M.; Krolczyk, G.M.; Günay, M.; Wojciechowski, S. Cutting forces and temperature measurements in cryogenic assisted turning of AA2024-T351 alloy: An experimentally validated simulation approach. Measurement 2022, 188, 110594. [Google Scholar] [CrossRef]
- Gupta, M.K.; Song, Q.; Liu, Z.; Sarikaya, M.; Jamil, M.; Mia, M.; Khanna, N.; Krolczyk, G.M. Experimental characterisation of the performance of hybrid cryo-lubrication assisted turning of Ti–6Al–4V alloy. Tribol. Int. 2021, 153, 106582. [Google Scholar] [CrossRef]
- Danish, M.; Gupta, M.K.; Rubaiee, S.; Ahmed, A.; Sarıkaya, M.; Krolczyk, G.M. Environmental, technological and economical aspects of cryogenic assisted hard machining operation of inconel 718: A step towards green manufacturing. J. Clean. Prod. 2022, 337, 130483. [Google Scholar] [CrossRef]
- Korkmaz, M.E.; Gupta, M.K.; Boy, M.; Yaşar, N.; Krolczyk, G.M.; Günay, M. Influence of duplex jets MQL and nano-MQL cooling system on machining performance of Nimonic 80A. J. Manuf. Process. 2021, 69, 112–124. [Google Scholar] [CrossRef]
- Airao, J.; Nirala, C.K.; Bertolini, R.; Krolczyk, G.M.; Khanna, N. Sustainable cooling strategies to reduce tool wear, power consumption and surface roughness during ultrasonic assisted turning of Ti-6Al-4V. Tribol. Int. 2022, 169, 107494. [Google Scholar] [CrossRef]
- Gupta, M.K.; Niesłony, P.; Sarikaya, M.; Korkmaz, M.E.; Kuntoğlu, M.; Królczyk, G.; Jamil, M. Tool wear patterns and their promoting mechanisms in hybrid cooling assisted machining of titanium Ti-3Al-2.5V/grade 9 alloy. Tribol. Int. 2022, 174, 107773. [Google Scholar] [CrossRef]
- Pereira, O.; Celaya, A.; Urbikaín, G.; Rodríguez, A.; Fernández-Valdivielso, A.; de Lacalle, L.N.L. CO2 cryogenic milling of Inconel 718: Cutting forces and tool wear. J. Mater. Res. Technol. 2020, 9, 8459–8468. [Google Scholar] [CrossRef]
- Xu, J.; Ji, M.; Chen, M.; El Mansori, M. Experimental investigation on drilling machinability and hole quality of CFRP/Ti-6Al-4V stacks under different cooling conditions. Int. J. Adv. Manuf. Technol. 2020, 109, 1527–1539. [Google Scholar] [CrossRef]
- Leksycki, K.; Feldshtein, E. The Surface Texture of Ti-6Al-4V Titanium Alloy Under Wet and Dry Finish Turning Conditions. In Industrial Measurements in Machining; Springer International Publishing: Cham, Switzerland, 2020; pp. 33–44. [Google Scholar] [CrossRef]
- Khanna, N.; Shah, P.; Suri, N.M.; Agrawal, C.; Khatkar, S.K.; Pusavec, F.; Sarikaya, M. Application of Environmentally-friendly Cooling/Lubrication Strategies for Turning Magnesium/SiC MMCs. Silicon 2021, 13, 2445–2459. [Google Scholar] [CrossRef]
- Khanna, N.; Shah, P. Chetan Comparative analysis of dry, flood, MQL and cryogenic CO2 techniques during the machining of 15-5-PH SS alloy. Tribol. Int. 2020, 146, 106196. [Google Scholar] [CrossRef]
- Chetan; Ghosh, S.; Rao, P. Comparison between sustainable cryogenic techniques and nano-MQL cooling mode in turning of nickel-based alloy. J. Clean. Prod. 2019, 231, 1036–1049. [Google Scholar] [CrossRef]
- Jebaraj, M.; Pradeep, K.M.; Anburaj, R. Effect of LN2 and CO2 coolants in milling of 55NiCrMoV7 steel. J. Manuf. Process. 2020, 53, 318–327. [Google Scholar] [CrossRef]
- Varghese, V.; Ramesh, M.R.; Chakradhar, D. Experimental investigation of cryogenic end milling on maraging steel using cryogenically treated tungsten carbide-cobalt inserts. Int. J. Adv. Manuf. Technol. 2019, 105, 2001–2019. [Google Scholar] [CrossRef]
- Wika, K.K.; Litwa, P.; Hitchens, C. Impact of supercritical carbon dioxide cooling with Minimum Quantity Lubrication on tool wear and surface integrity in the milling of AISI 304L stainless steel. Wear 2019, 426–427, 1691–1701. [Google Scholar] [CrossRef]
- Tao, H. Effect of Inclination Angle of Cutter Shaft on Machining Deformation of Thin-walled Blade. Acta Armamentarii 2018, 39, 7. [Google Scholar] [CrossRef]
- Jain, A.; Kumar, S.; Bajpai, V.; Park, H.W. Replacement of Hazard Lubricants by Green Coolant in Machining of Ti-6Al-4V: A 3D FEM Approach. Int. J. Precis. Eng. Manuf. 2019, 20, 1027–1035. [Google Scholar] [CrossRef]
- Lee, W.-S.; Lin, C.-F. High-temperature deformation behaviour of Ti-6Al-4V alloy evaluated by high strain-rate compression tests. J. Mater. Process. Technol. 1998, 75, 127–136. [Google Scholar] [CrossRef]
- Meyer, H.W.; Kleponis, D.S. Modeling the high strain rate behavior of titanium undergoing ballistic impact and penetration. Int. J. Impact Eng. 2001, 26, 509–521. [Google Scholar] [CrossRef]
- Özel, T.; Zeren, E. A Methodology to Determine Work Material Flow Stress and Tool-Chip Interfacial Friction Properties by Using Analysis of Machining. J. Manuf. Sci. Eng. 2006, 128, 119–129. [Google Scholar] [CrossRef]
- Calamaz, M.; Coupard, D.; Girot, F. A new material model for 2D numerical simulation of serrated chip formation when machining titanium alloy Ti–6Al–4V. Int. J. Mach. Tools Manuf. 2008, 48, 275–288. [Google Scholar] [CrossRef]
- Sima, M.; Özel, T. Modified material constitutive models for serrated chip formation simulations and experimental validation in machining of titanium alloy Ti–6Al–4V. Int. J. Mach. Tools Manuf. 2010, 50, 943–960. [Google Scholar] [CrossRef]
- Calamaz, M.; Coupard, D.; Girot, F. Numerical simulation of titanium alloy dry machining with a strain softening constitutive law. Mach. Sci. Technol. 2010, 14, 244–257. [Google Scholar] [CrossRef]
- Karpat, Y. Temperature dependent flow softening of titanium alloy Ti-6Al-4V: An investigation using finite element simulation of machining. J. Mater. Process. Technol. 2011, 211, 737–749. [Google Scholar] [CrossRef]
- Zhang, Y.; Outeiro, J.; Mabrouki, T. On the Selection of Johnson-cook Constitutive Model Parameters for Ti-6Al-4V Using Three Types of Numerical Models of Orthogonal Cutting. Procedia CIRP 2015, 31, 112–117. [Google Scholar] [CrossRef]
- Pusavec, F.; Lu, T.; Courbon, C.; Rech, J.; Aljancic, U.; Kopac, J.; Jawahir, I. Analysis of the influence of nitrogen phase and surface heat transfer coefficient on cryogenic machining performance. J. Mater. Process. Technol. 2016, 233, 19–28. [Google Scholar] [CrossRef]
- Bonnet, C.; Valiorgue, F.; Rech, J.; Claudin, C.; Hamdi, H.; Bergheau, J.; Gilles, P. Identification of a friction model—Application to the context of dry cutting of an AISI 316L austenitic stainless steel with a TiN coated carbide tool. Int. J. Mach. Tools Manuf. 2008, 48, 1211–1223. [Google Scholar] [CrossRef]
- Albertelli, P.; Strano, M.; Monno, M. Simulation of the effects of cryogenic liquid nitrogen jets in Ti-6Al-4V milling. J. Manuf. Process. 2023, 85, 323–344. [Google Scholar] [CrossRef]
- Shi, Y.; Eberhart, R. A modified particle swarm optimizer. In Proceedings of the 1998 IEEE International Conference on Evolutionary Computation Proceedings. IEEE World Congress on Computational Intelligence (Cat. No. 98TH8360), Anchorage, AK, USA, 4–9 May 1998; pp. 69–73. [Google Scholar]
- Zahara, E.; Hu, C.-H. Solving constrained optimization problems with hybrid particle swarm optimization. Eng. Optim. 2008, 40, 1031–1049. [Google Scholar] [CrossRef]
- Grudin, J.; Buxton, W. mhkwak1 com. Morgan Kaufmann Publishers: Burlington, MA, USA, 2011. [Google Scholar]














| Number of Edges | Anterior Angle (°) | Relief Angle (°) | Helical Angle (°) | Diameter (mm) | Blade Radius (mm) |
|---|---|---|---|---|---|
| 4 | 15 | 15 | 30 | 10 | 0.02 |
| Elasticity Modulus (GPa) | Poisson Ratio | Specific Heat (J/g °C) | Thermal Conductivity (W/m K) | Hardness (HRC) |
|---|---|---|---|---|
| 650 | 0.25 | 0.96 | 59 | 70 |
| Elasticity Modulus (GPa) | Poisson Ratio | Heat Conductivity Coefficient (W/m K) | Specific Heat (J/kg K) | Melting Point K | Failure Displacement mm |
|---|---|---|---|---|---|
| 10.79 | 0.33 | 2.22 | 2100 | 273 | 0.04 |
| Materials | A (Mpa) | B (MPa) | n | c | m |
|---|---|---|---|---|---|
| TC4 | 861 | 331 | 0.34 | 0.03 | 0.8 |
| Temperature/°C | −195 | −150 | −100 | −50 | 0 | 1600 |
|---|---|---|---|---|---|---|
| HTC low-temperature jet window/() | 0 | 280,000 | 100,000 | 30,000 | 20,000 | 20,000 |
| Speed of Main Shaft /(r/min) | Feed Engagement /(mm/z) | Knifing / (mm) | Jet Temperature / (°C) |
|---|---|---|---|
| 2000 | 0.125 | 1.25 | −190 |
| Simulated Total Number of Steps/Step | Incremental Step/(s/Step) | Friction Coefficient/(W/(m2 K)) | Photoconductivity/(W/(m2 K)) | ||
|---|---|---|---|---|---|
| Dry Milling | Low-Temperature Milling | Dry Milling | Low-Temperature Milling | ||
| 800 | 0.0005 | 0.4 | 0.25 | 500 | 1500 |
| Fx Value/N | Fy Value/N | Fz Value/N | Milling Temperature t/°C |
|---|---|---|---|
| 58 | 104 | 8 | 225 |
| Parameter | Group Indication | ||||
|---|---|---|---|---|---|
| 1 | 2 | 3 | 4 | 5 | |
| Temperature t/(°C) | −190°C | −130 °C | −70 °C | −10 °C | 50 °C |
| Other parameters | |||||
| Test Level | Experimental Factor | |||
|---|---|---|---|---|
| A Spindle Speed/(r/min) | B Feed Per Tooth/(mm/z) | C Depth of Cut/(mm) | D Jet Temperature/(°C) | |
| 1.68 | 1000 | 0.050 | 0.50 | −196 |
| 0 | 2000 | 0.125 | 1.25 | −88 |
| −1.68 | 3000 | 0.200 | 2.00 | 20 |
| Group Number | Spindle Speed/(r/min) | Feed Per Tooth/(mm/z) | Depth of Cut/ mm | Jet Temperature/ °C | Blade Deformation /(µm) |
|---|---|---|---|---|---|
| 1 | 2000 | 0.050 | 1.25 | −196 | 46.60 |
| 2 | 2000 | 0.125 | 1.25 | −88 | 254.00 |
| 3 | 2000 | 0.200 | 1.25 | −196 | 622.90 |
| 4 | 2000 | 0.200 | 1.25 | 20 | 924.80 |
| 5 | 3000 | 0.125 | 2.00 | −88 | 255.40 |
| 6 | 2000 | 0.125 | 1.25 | −88 | 254.00 |
| 7 | 1000 | 0.050 | 1.25 | −88 | 51.25 |
| 8 | 2000 | 0.050 | 0.50 | −88 | 148.70 |
| 9 | 3000 | 0.050 | 1.25 | −88 | 308.40 |
| 10 | 1000 | 0.125 | 0.50 | −88 | 333.80 |
| 11 | 2000 | 0.125 | 1.25 | −88 | 254.00 |
| 12 | 1000 | 0.125 | 1.25 | 20 | 890.00 |
| 13 | 2000 | 0.125 | 2.00 | −196 | 546.30 |
| 14 | 2000 | 0.125 | 2.00 | 20 | 646.30 |
| 15 | 1000 | 0.125 | 2.00 | −88 | 133.80 |
| 16 | 3000 | 0.200 | 1.25 | −88 | 892.44 |
| 17 | 2000 | 0.050 | 2.00 | −88 | 255.40 |
| 18 | 3000 | 0.125 | 0.50 | −88 | 998.70 |
| 19 | 2000 | 0.200 | 0.50 | −88 | 996.90 |
| 20 | 1000 | 0.125 | 1.25 | −196 | 56.60 |
| 21 | 1000 | 0.200 | 1.25 | −88 | 362.60 |
| 22 | 2000 | 0.125 | 0.50 | 20 | 1005.89 |
| 23 | 2000 | 0.125 | 1.25 | −88 | 254.00 |
| 24 | 2000 | 0.125 | 0.50 | −196 | 31.80 |
| 25 | 2000 | 0.050 | 1.25 | 20 | 563.80 |
| 26 | 2000 | 0.200 | 2.00 | −88 | 892.29 |
| 27 | 3000 | 0.125 | 1.25 | 20 | 891.80 |
| 28 | 3000 | 0.125 | 1.25 | −196 | 235.80 |
| 29 | 2000 | 0.125 | 1.25 | −88 | 300.00 |
| Source | Quadratic Sum | Degree of Freedom | Mean Square | F Value | p Value | |
|---|---|---|---|---|---|---|
| Model | 6.3500 | 14 | 0.4537 | 6.5400 | 0.0006 | notable |
| A | 0.2565 | 1 | 0.2565 | 3.7000 | 0.0750 | |
| B | 0.9173 | 1 | 0.9173 | 13.2300 | 0.0027 | |
| C | 0.4678 | 1 | 0.4678 | 6.7500 | 0.0211 | |
| D | 2.0500 | 1 | 2.0500 | 29.6300 | <0.0001 | |
| AB | 0.0186 | 1 | 0.0186 | 0.2681 | 0.6127 | |
| AC | 0.0738 | 1 | 0.0738 | 1.0600 | 0.3198 | |
| AD | 0.0079 | 1 | 0.0079 | 0.1135 | 0.7412 | |
| BC | 0.0112 | 1 | 0.0112 | 0.1610 | 0.6943 | |
| BD | 0.0116 | 1 | 0.0116 | 0.1671 | 0.6889 | |
| CD | 1.5100 | 1 | 1.5100 | 21.7700 | 0.0004 | |
| A2 | 0.0041 | 1 | 0.0041 | 0.0589 | 0.8118 | |
| B2 | 0.0210 | 1 | 0.0210 | 0.3023 | 0.5911 | |
| C2 | 0.4982 | 1 | 0.4982 | 7.1800 | 0.0179 | |
| D2 | 0.6007 | 1 | 0.6007 | 8.6600 | 0.0107 | |
| Residual | 0.9708 | 14 | 0.0693 | |||
| Lack of Fit | 0.9691 | 10 | 0.0969 | 229.00 | <0.0001 | notable |
| Pure Error | 0.0017 | 4 | 0.0004 | |||
| Cor Total | 7.3200 | 28 |
| Group Number | Spindle Speed /mm | Feed Per Tooth /(mm/z) | Depth of Cut /mm | Jet Temperature/°C | Optimize the Amount of Deformation/µm | Simulation Deformation Amount/µm | Deviation /% | Average Deviation /% |
|---|---|---|---|---|---|---|---|---|
| 1 | 1167 | 0.200 | 0.9000 | −164 | 18.00 | 30.60 | 41.18% | 43.89% |
| 2 | 1291 | 0.150 | 1.6501 | −181 | 22.90 | 39.60 | 42.17% | |
| 3 | 1110 | 0.169 | 0.8708 | −156 | 15.40 | 29.80 | 48.32% |
Disclaimer/Publisher’s Note: The statements, opinions and data contained in all publications are solely those of the individual author(s) and contributor(s) and not of MDPI and/or the editor(s). MDPI and/or the editor(s) disclaim responsibility for any injury to people or property resulting from any ideas, methods, instructions or products referred to in the content. |
© 2023 by the authors. Licensee MDPI, Basel, Switzerland. This article is an open access article distributed under the terms and conditions of the Creative Commons Attribution (CC BY) license (https://creativecommons.org/licenses/by/4.0/).
Share and Cite
Chen, T.; Xu, Y.; Huang, B.; Shi, Y.; Zhang, J.; Li, L.; Meng, Y.; Li, X. Aero-Engine Blade Cryogenic Cooling Milling Deformation Simulation and Process Parameter Optimization. Materials 2023, 16, 4072. https://doi.org/10.3390/ma16114072
Chen T, Xu Y, Huang B, Shi Y, Zhang J, Li L, Meng Y, Li X. Aero-Engine Blade Cryogenic Cooling Milling Deformation Simulation and Process Parameter Optimization. Materials. 2023; 16(11):4072. https://doi.org/10.3390/ma16114072
Chicago/Turabian StyleChen, Ting, Yun Xu, Bo Huang, Yan Shi, Jiahu Zhang, Lei Li, Yaozhi Meng, and Xuqing Li. 2023. "Aero-Engine Blade Cryogenic Cooling Milling Deformation Simulation and Process Parameter Optimization" Materials 16, no. 11: 4072. https://doi.org/10.3390/ma16114072
APA StyleChen, T., Xu, Y., Huang, B., Shi, Y., Zhang, J., Li, L., Meng, Y., & Li, X. (2023). Aero-Engine Blade Cryogenic Cooling Milling Deformation Simulation and Process Parameter Optimization. Materials, 16(11), 4072. https://doi.org/10.3390/ma16114072
