Development of an Instantaneous Loading Impact Test System for Containment of a Nuclear Power Plant during Aircraft Impact on Steel Bar Joints
Abstract
1. Introduction
2. Hydraulic Principle of Instantaneous Loading Impact Test System
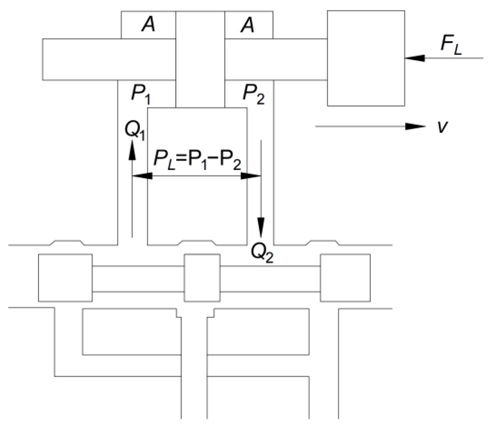
2.1. Working Principle of Valve-Controlled Hydraulic Cylinder of Impact Test System
2.2. Selection of Hydraulic Accumulator for Impact Test System
3. Composition of Transient Loading Impact Test System
3.1. Structure of Instantaneous Loading Impact Test System
3.2. Hydraulic System of Instant Load Impact Testing System
4. Test Verification
4.1. Verification of Impact Test
4.2. Experimental Study on Impact Rate Control
5. Conclusions
- (1)
- The impact testing system converts the hydraulic energy into impact energy through a valve-controlled cylinder system. In order to ensure the normal fracture of the test piece, the total oil output should not be less than the product of the ultimate elongation of the steel bar and total hydraulic pressure area of the pipeline. The relationship between the total oil output, accumulator pressure, and number of openings is By investigating the influence of different accumulator pressures, the impact velocity can be controlled effectively.
- (2)
- The hydraulic loading system is designed to mainly consist of a 9000 L/min nitrogen-charged accumulator group, a hydraulic oil pump group, a fast break control and lubrication group, and a 2000 kN static-pressure-supported high-speed servo linear actuator group. The high-pressure and high-flow hydraulic oil drives the impact oil cylinder, which applies the impact force on the tested object for conducting its dynamic impact testing.
- (3)
- The relative error in the testing force indication value of the impact testing system is controlled within ±0.7%, and the displacement error is controlled within 0.3%, where all the indicators meet the national metrological benchmark of “JJG139-2014 Tensile, Pressure and Universal Testing Machine Verification Regulations”. The system can effectively help realize the impact testing of the entire series of steel joints. The strain rate of the steel bar before the specimen is broken is not less than 1 s−1, which meets the requirements of the “Nuclear Power Plant Design Safety Regulations” (HAF102-2016).
- (4)
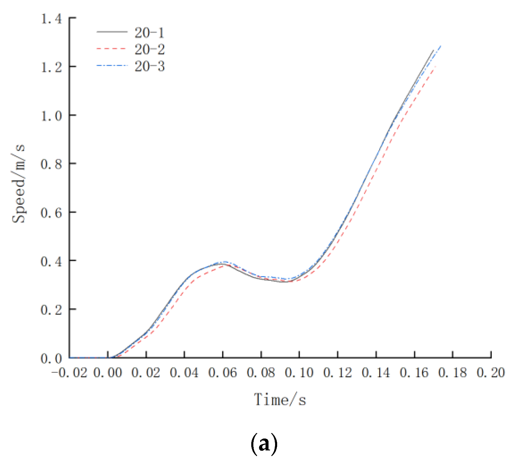
- When the minimum working pressure of the accumulator remains constant at 10 MPa, and the maximum working pressure is sequentially set to 12 MPa, 15 MPa, and 18 MPa, then the corresponding maximum impact velocities become 0.93 m/s, 1.04 m/s, and 1.22 m/s, respectively. The maximum impact velocity increases with the increase in the difference in the working pressures. By adjusting the pressure and number of the accumulators, the equipment can achieve different loads and velocities. Further research is needed on how to achieve closed-loop control of the equipment to ensure that the impact velocity is continuously and controllably adjustable.
Author Contributions
Funding
Institutional Review Board Statement
Informed Consent Statement
Data Availability Statement
Conflicts of Interest
References
- Gao, Q.; Wang, L.; Peng, W.; Zhang, P.; Chen, S. Safety analysis of leakage in a nuclear hydrogen production system. Int. J. Hydrogen Energy 2021, 47, 4916–4931. [Google Scholar] [CrossRef]
- Lee, W.S.; Lin, C.F.; Liu, T.J. Impact and fracture response of sintered 316L stainless steel subjected to high strain rate loading. Mater. Charact. 2007, 58, 363–370. [Google Scholar] [CrossRef]
- Zhu, W.; Wu, D.; Chen, Y.; Su, Y.; Liang, S. Dynamic Tensile Behaviors of HRB500E Connected with Extrusion Sleeves at Different Strain Rates. Materials 2023, 16, 828. [Google Scholar] [CrossRef] [PubMed]
- Bogenfeld, R.; Schmiedel, P.; Kuruvadi, N.; Wille, T.; Kreikemeier, J. An experimental study of the damage growth in composite laminates under tension-fatigue after impact. Compos. Sci. Technol. 2020, 191, 108082. [Google Scholar] [CrossRef]
- HAF 102–2016; Nuclear Power Plant Design Safety Regulations. National Nuclear Safety Administration: Beijing, China, 2016.
- Maurel-Pantel, A.; Voisin, M.; Mazerolle, F.; Lebon, F. Comparison of three different adhesive joints using static and dynamic impact tests: Development of a new drop weight impact test rig incorporating a modified Arcan fixture. Int. J. Adhes. Adhes. 2022, 114, 103104. [Google Scholar] [CrossRef]
- Komoreka, A.; Godzimirski, J. Modified pendulum hammer in impact tests of adhesive, riveted and hybrid lap joints. Int. J. Adhes. Adhes. 2020, 104, 102734. [Google Scholar] [CrossRef]
- Zheng, R.; Ren, S.; Chen, G.; Chen, H. Multi-shaker half sine shock on random mixed vibration control. J. Sound Vib. 2021, 512, 116372. [Google Scholar] [CrossRef]
- Jia, H.; Liu, Z.; Xu, L.; Bai, H.; Bi, K.; Zhang, C.; Zheng, S. Dynamic response analyses of long-span cable-stayed bridges subjected to pulse-type ground motions. Soil Dyn. Earthq. Eng. 2023, 164, 107591. [Google Scholar] [CrossRef]
- Li, L.; Zhang, Q.-C.; Zhang, R.; Wang, X.; Zhao, Z.-Y.; He, S.-Y.; Han, B.; Lu, T.J. A laboratory experimental technique for simulating combined blast and impact loading. Int. J. Impact Eng. 2019, 134, 103382. [Google Scholar] [CrossRef]
- Blackman, B.; Kinloch, A.; Sanchez, F.R.; Teo, W.; Williams, J. The fracture behaviour of structural adhesives under high rates of testing. Eng. Fract. Mech. 2009, 76, 2868–2889. [Google Scholar] [CrossRef]
- Ali, M.B.; Abdullah, S.; Nuawi, M.Z.; Ariffin, A.K.; Nopiah, Z.M. Evaluating instrumented Charpy impact strain signals using curve fitting equations. J. Cent. South Univ. 2014, 21, 600–609. [Google Scholar] [CrossRef]
- Banthia, N.; Mindess, S.; Bentur, A.; Pigeon, M. Impact testing of concrete using a drop-weight impact machine. Adv. Mater. Res. 2015, 1106, 225–228. [Google Scholar]
- Cheng, S.; Xiao, B.; Zhao, X.; Xin, Y.; Li, H. Drop-weight impact test on an integrated composite sandwich panel of aluminum honeycomb and epoxy resin. J. Mater. Res. 2017, 32, 2258–2265. [Google Scholar] [CrossRef]
- Zhou, Y.; Yang, J.; Luo, X.; Hwang, H.-J.; Chen, H.; Sun, J.; Yi, W.; Kang, S.-M. Pendulum impact loading tests of precast concrete columns with various column base connections. Eng. Struct. 2021, 252, 113736. [Google Scholar] [CrossRef]
- Koch, K.; Henschel, S.; Krüger, L. Effect of the impact pulse on the dynamic fracture toughness behavior of high-strength steel and nodular cast iron. Procedia Struct. Integr. 2022, 42, 506–512. [Google Scholar] [CrossRef]
- Ming, W.; Yang, X.; Pan, Y.; Mao, Y.; Wang, X.; He, M.; Tao, Z. Field test and numerical simulation of initial support effect of negative Poisson’s ratio anchor cable under strong impact and vibration. Tunn. Undergr. Space Technol. 2023, 133, 104955. [Google Scholar] [CrossRef]
- Agirre, J.; Otegi, N.; Abedul, D.; Oruna, A.; Galdos, L. Monitoring of a Hammer Forging Testing Machine for High-Speed Material Characterization. Procedia Manuf. 2020, 47, 321–328. [Google Scholar] [CrossRef]
- Wang, Y. Design calculation and experimental study of pendulum horizontal impact testing machine simulating impact response spectrum. J. Vib. Shock. 1993, 3, 16–24. [Google Scholar]
- Jiang, L.; Wu, Y.; Bai, H.; Li, S.; Ren, Y. Development of a new drop hammer test system. Comput. Meas. Control. 2020, 28, 262–266. [Google Scholar]
- Zhu, M.; Zhao, G.; Zhang, L. Design on drop hammer typed impact testing bed based on LabVIEW. J. Mach. Des. 2010, 27, 93–96. [Google Scholar]
- Wang, G.; Hua, H.; Wang, Y. Mechanism analysis and simulation for a novel anti-shock testing system for heavy-weight shipboard equipment. Mech. Eng. 2009, 31, 54–58. [Google Scholar]
- Tengfei, X.; Jiyun, Z.; Wenrui, W.; Zhenxing, W. Study on dynamical characteristics test methods of high flow relief valve for hydraulic support. Chin. Hydraul. Pneum. 2010, 12, 17–19. [Google Scholar]
- Xu, K.; Ding, H.; Li, G.; Qi, H.; Wang, Z. Research on experimental platform of high pressure and large flow relief valve. Coal Mine Mach. 2013, 34, 165–166. [Google Scholar]
- Wang, J.; Zhang, J.; An, Z.; Wang, H.; Wang, A. High-speed hydraulic impact test bench. J. Vib. Shock. 2018, 37, 143–149+157. [Google Scholar]
- Zhang, J.; Wang, J.; Pan, Y.; Qi, Q.; Wang, A.; Wang, H. Hydraulic impact test bench with 6 500 kN static and dynamic composite loading. J. China Coal Soc. 2020, 45, 1648–1658. [Google Scholar]
















| Indicators | Parameter |
|---|---|
| Maximum impact test force | 2000 kN |
| Maximum impact loading rate | 1.5 m/s |
| Test force measurement range | 2–100%F.S |
| Test force indication accuracy | ±1% |
| Main cylinder stroke range | ±500 mm |
| Deformation measurement resolution | 0.01 mm |
| Deformation measurement accuracy | ±0.5%F.S |
| Displacement measuring range | ±500 mm |
| Displacement measurement resolution | 0.01 mm |
| Displacement measurement precision | ±1%F.S |
| Maximum test space | ≥3000 mm |
| Reinforcement Diameter | Antistretching Load | Ultimate Elongation xmax | Total Hydraulic Pressure Area ΣA | Total Oil Output Q | Minimum Supplied Oil Pressure P |
|---|---|---|---|---|---|
| 25 mm | 450 kN | 140 mm | 0.0942 m2 | 13.188 L | 4.777 MPa |
| Test Number | Reinforcement Diameter/mm | Effective Gas Volume V0/L | Precharge Pressure P0/MPa | Minimum Working Pressure P1/MPa | Maximum Working Pressure P2/MPa | Volume Change of Single Tank AccumulatorΔV/L | Total Number of Open Accumulator Tanks N | Total Oil Output Q/L |
|---|---|---|---|---|---|---|---|---|
| 1 | 25 | 63 | 9 | 10 | 12 | 7.135 | 6 | 42.810 |
| 2 | 25 | 63 | 9 | 10 | 15 | 14.693 | 6 | 88.158 |
| 3 | 25 | 63 | 9 | 10 | 18 | 20.034 | 6 | 120.203 |
| Impact Velocity/m·s−1 | Precharge Pressure P0/MPa | Minimum Working Pressure P1/MPa | Maximum Working Pressure P2/MPa | Number of Open Accumulator Tanks N | |
|---|---|---|---|---|---|
| Φ25 (450 kN) | 0.8~1.0 | 9 | 10 | 12 | 6 |
| 1.0~1.2 | 9 | 10 | 15 | 6 | |
| 1.2~1.4 | 9 | 10 | 18 | 6 | |
| 1.4~1.6 | 9 | 10 | 20 | 6 | |
| Φ32 (700 kN) | 0.8~1.0 | 9 | 10 | 12 | 7 |
| 1.0~1.2 | 9 | 10 | 15 | 7 | |
| 1.2~1.4 | 9 | 10 | 18 | 7 | |
| 1.4~1.6 | 9 | 10 | 20 | 7 | |
| Φ40 (1100 kN) | 0.8~1.0 | 9 | 10 | 12 | 9 |
| 1.0~1.2 | 9 | 10 | 15 | 9 | |
| 1.2~1.4 | 9 | 10 | 18 | 9 | |
| 1.4~1.6 | 9 | 10 | 20 | 9 |
Disclaimer/Publisher’s Note: The statements, opinions and data contained in all publications are solely those of the individual author(s) and contributor(s) and not of MDPI and/or the editor(s). MDPI and/or the editor(s) disclaim responsibility for any injury to people or property resulting from any ideas, methods, instructions or products referred to in the content. |
© 2023 by the authors. Licensee MDPI, Basel, Switzerland. This article is an open access article distributed under the terms and conditions of the Creative Commons Attribution (CC BY) license (https://creativecommons.org/licenses/by/4.0/).
Share and Cite
Zhu, W.; Liang, S.; Jia, K.; Shen, Q.; Wu, D. Development of an Instantaneous Loading Impact Test System for Containment of a Nuclear Power Plant during Aircraft Impact on Steel Bar Joints. Materials 2023, 16, 3892. https://doi.org/10.3390/ma16103892
Zhu W, Liang S, Jia K, Shen Q, Wu D. Development of an Instantaneous Loading Impact Test System for Containment of a Nuclear Power Plant during Aircraft Impact on Steel Bar Joints. Materials. 2023; 16(10):3892. https://doi.org/10.3390/ma16103892
Chicago/Turabian StyleZhu, Wanxu, Shiyuan Liang, Kefei Jia, Quanxi Shen, and Dongwen Wu. 2023. "Development of an Instantaneous Loading Impact Test System for Containment of a Nuclear Power Plant during Aircraft Impact on Steel Bar Joints" Materials 16, no. 10: 3892. https://doi.org/10.3390/ma16103892
APA StyleZhu, W., Liang, S., Jia, K., Shen, Q., & Wu, D. (2023). Development of an Instantaneous Loading Impact Test System for Containment of a Nuclear Power Plant during Aircraft Impact on Steel Bar Joints. Materials, 16(10), 3892. https://doi.org/10.3390/ma16103892
