Numerical Analysis of the Effect of Retaining Ring Structure on the Chemical Mechanical Polishing Abrasive Motion State
Abstract
1. Introduction
2. Materials and Methods
2.1. Basic Theory and Model Geometry
2.2. Governing Equation
- Slurry and abrasives are incompressible;
- The gap between the wafer and the polishing pad is the near-surface layer of the wafer. The velocity of the liquid layer on the wafer surface is approximately that of the wafer [33];
- The total amount of slurry and abrasives is in a stable state.
2.3. Boundary Conditions
- Based on the high rotational speed, the contact mode among the pad, slurry, and wafer can be defined as hydrodynamic lubrication, in which case the pad and the wafer are not in direct contact but separated by the slurry layer. Therefore, the slurry flows freely in the model;
- Initial value (u is the fluid velocity, v is the abrasive velocity):u = 0; v = 0
- Wall condition: In this paper, the wall is defined as a non-slip boundary, and the flow velocity at the wall surface is 0 m·s−1. During the flowing process, velocity gradually increases to the main flow velocity with the increase of the distance from the wall surface;
- Rotation domain setting.
2.4. Grid Independence Verification
2.5. Calculation Parameter
3. Experimental
4. Results and Discussion
4.1. Effect of Retaining Ring Groove Width on Abrasive Transfer Rate
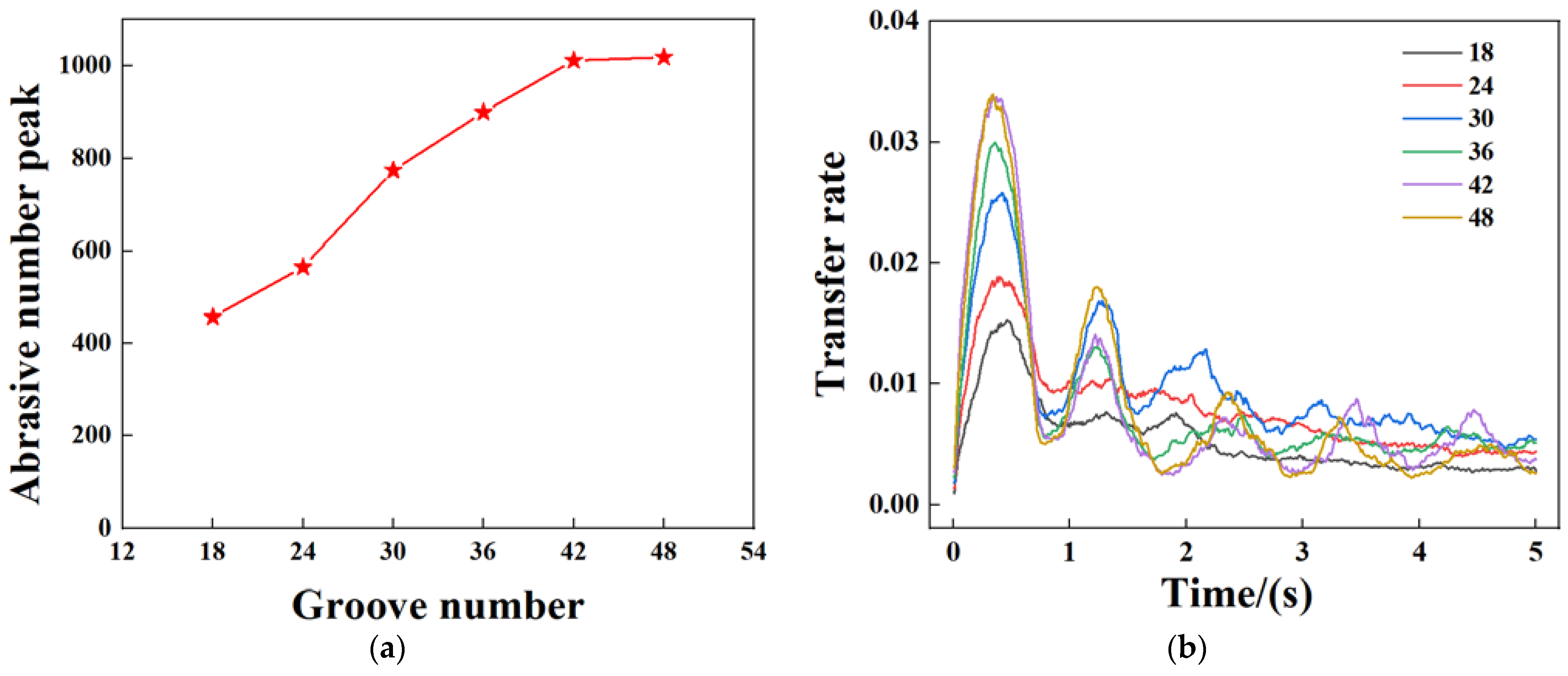
4.2. Effect of Retaining Ring Groove Number on Abrasive Transfer Rate
4.3. Comparison of the Experiments and Simulations
5. Conclusions
- Abrasives can either enter or exit through the grooves at different positions of the retaining ring. Proper adjustment of the size and number of grooves of the retaining ring can result in more abrasives entering than exiting, thus improving the utilization rate of the abrasives. Under the influence of the retaining ring, the abrasive transfer rate varies periodically and becomes stable with time. When the groove size is small, the abrasive transmission through the groove and utilization is poor. Increasing the groove size within a certain range can effectively improve the abrasive transfer rate. The abrasives start to have significant distribution in the wafer region when the groove size reaches 7 mm. When the groove size reaches 13 mm, the abrasive inflow is significantly higher than the outflow, and the transfer rate is at a high level in the later stable stage. However, by continuously increasing the retaining ring groove size, the abrasive transfer rate decreases again. This is due to the fact that at a certain point, the contribution of increasing the groove size to abrasive outflow starts to be greater than that of inflow;
- The results of the retaining ring model based on 7 mm groove size show that the abrasive transfer rate increases to varying degrees at the beginning as the number of grooves in the retaining ring increases and peaks at the number of grooves of 42. In addition, increasing the number of grooves results in the abrasive entering the retaining ring at a higher speed and greater displacement of the abrasive towards the wafer center after passing through the grooves, which helps optimize the abrasive distribution.
Supplementary Materials
Author Contributions
Funding
Institutional Review Board Statement
Informed Consent Statement
Data Availability Statement
Acknowledgments
Conflicts of Interest
References
- Li, L.; He, Q.; Zheng, M.; Liu, Z. Contribution of Ultrasonic Traveling Wave to Chemical-Mechanical Polishing. Ultrasonics 2015, 56, 530–538. [Google Scholar] [CrossRef]
- Xiao, C.; Deng, C.; Zhang, P.; Qian, L.; Kim, S.H. Interplay between Solution Chemistry and Mechanical Activation in Friction-Induced Material Removal of Silicon Surface in Aqueous Solution. Tribol. Int. 2020, 148, 106319. [Google Scholar] [CrossRef]
- Pan, G.; Gu, Z.; Zhou, Y.; Li, T.; Gong, H.; Liu, Y. Preparation of Silane Modified SiO2 Abrasive Particles and Their Chemical Mechanical Polishing (CMP) Performances. Wear 2011, 273, 100–104. [Google Scholar] [CrossRef]
- Li, J.; Lu, X.C.; Zhang, Z.B. Inhibition Mechanism of Benzotriazole in Copper Chemical Mechanical Planarization. AMM 2014, 607, 74–78. [Google Scholar] [CrossRef]
- Krishnan, M.; Nalaskowski, J.W.; Cook, L.M. Chemical Mechanical Planarization: Slurry Chemistry, Materials, and Mechanisms. Chem. Rev. 2010, 110, 178–204. [Google Scholar] [CrossRef]
- Philipossian, A.; Park, J.-G. Preface—JSS Focus Issue on CMP for Sub-10 Nm Technologies. ECS J. Solid State Sci. Technol. 2019, 8, Y1. [Google Scholar] [CrossRef]
- Hong, J.; Niu, X.; Liu, Y.; Wang, C.; Zhang, B.; Sun, M.; Wang, J.; Han, L.; Zhang, W. Removal Rate and Surface Quality of the GLSI Silicon Substrate during the CMP Process. Microelectron. Eng. 2017, 168, 76–81. [Google Scholar] [CrossRef]
- Zhang, L.; Raghavan, S.; Weling, M. Minimization of Chemical-Mechanical Planarization (CMP) Defects and Post-CMP Cleaning. J. Vac. Sci. Technol. B 1999, 17, 2248. [Google Scholar] [CrossRef]
- Zhao, Y.; Chang, L. A Micro-Contact and Wear Model for Chemical–Mechanical Polishing of Silicon Wafers. Wear 2002, 252, 220–226. [Google Scholar] [CrossRef]
- Tian, Y.; Zhong, Z.; Ng, J.H. Effects of Chemical Slurries on Fixed Abrasive Chemical-Mechanical Polishing of Optical Silicon Substrates. Int. J. Precis. Eng. Manuf. 2013, 14, 1447–1454. [Google Scholar] [CrossRef]
- Chen, G.; Luo, G.; Pan, G.; Liu, Y.; Luo, H. Influence of Colloidal Silica Dispersion on the Decrease of Roughness in Silicon Chemical Mechanical Polishing. Micro Amp; Nano Lett. 2016, 11, 382–385. [Google Scholar] [CrossRef]
- Zhai, K.; He, Q.; Li, L.; Ren, Y. Study on Chemical Mechanical Polishing of Silicon Wafer with Megasonic Vibration Assisted. Ultrasonics 2017, 80, 9–14. [Google Scholar] [CrossRef]
- Su, J.; Chen, X.; Zhang, X.; Du, J.; Guo, D. Study on Characteristic of Material Removal Rate in Chemical Mechanical Polishing of Silicon Wafer. J. Comp. Theor. Nano 2008, 5, 1656–1660. [Google Scholar] [CrossRef]
- Liang, H.; Kaufman, F.; Sevilla, R.; Anjur, S. Wear Phenomena in Chemical Mechanical Polishing. Wear 1997, 211, 271–279. [Google Scholar] [CrossRef]
- Wen, J.; Ma, T.; Zhang, W.; van Duin, A.C.T.; Lu, X. Atomistic Mechanisms of Si Chemical Mechanical Polishing in Aqueous H2O2: ReaxFF Reactive Molecular Dynamics Simulations. Comput. Mater. Sci. 2017, 131, 230–238. [Google Scholar] [CrossRef]
- Seo, J. A Review on Chemical and Mechanical Phenomena at the Wafer Interface during Chemical Mechanical Planarization. J. Mater. Res. 2021, 36, 235–257. [Google Scholar] [CrossRef]
- Mu, Y.; Zhuang, Y.; Sampurno, Y.; Wei, X.; Ashizawa, T.; Morishima, H.; Philipossian, A. Effect of Pad Groove Width on Slurry Mean Residence Time and Slurry Utilization Efficiency in CMP. Microelectron. Eng. 2016, 157, 60–63. [Google Scholar] [CrossRef]
- Xia, J.; Yu, J.; Lu, S.; Huang, Q.; Xie, C.; Wang, Z. Surface Morphology Evolution during Chemical Mechanical Polishing Based on Microscale Material Removal Modeling for Monocrystalline Silicon. Materials 2022, 15, 5641. [Google Scholar] [CrossRef] [PubMed]
- Han, X.; Jin, Z.; Mu, Q.; Yan, Y.; Zhou, P. Morphological Characteristics and Formation Mechanism of Latent Scratches in Chemical Mechanical Polishing. J. Mater. Processing Technol. 2022, 307, 117689. [Google Scholar] [CrossRef]
- Bengochea, L.V.; Sampurno, Y.; Stuffle, C.; Sudargho, F.; Han, R.; Philipossian, A. Effect of Retaining Ring Slot Designs, Conditioning Discs and Conditioning Schemes on the Slurry Bow Wave Width during Chemical Mechanical Planarization. ECS J. Solid State Sci. Technol. 2018, 7, P253–P259. [Google Scholar] [CrossRef]
- Park, Y.; Lee, H.; Lee, Y.; Park, S.; Jeong, H. Effect of Contact Angle between Retaining Ring and Polishing Pad on Material Removal Uniformity in CMP Process. Int. J. Precis. Eng. Manuf. 2013, 14, 1513–1518. [Google Scholar] [CrossRef]
- Liao, X.; Sampurno, Y.; Zhuang, Y.; Rice, A.; Sudargho, F.; Philipossian, A.; Wargo, C. Effect of Retaining Ring Slot Designs and Polishing Conditions on Slurry Flow Dynamics at Bow Wave. Microelectron. Eng. 2012, 98, 70–73. [Google Scholar] [CrossRef]
- Runnels, S.R.; Eyman, L.M. Tribology Analysis of Chemical-Mechanical Polishing. J. Electrochem. Soc. 1994, 141, 1698–1701. [Google Scholar] [CrossRef]
- Basim, G.B.; Adler, J.J.; Mahajan, U.; Singh, R.K.; Moudgil, B.M. Effect of Particle Size of Chemical Mechanical Polishing Slurries for Enhanced Polishing with Minimal Defects. J. Electrochem. Soc. 2000, 147, 3523. [Google Scholar] [CrossRef]
- Katsuki, F. Single Asperity Tribochemical Wear of Silicon by Atomic Force Microscopy. J. Mater. Res. 2009, 24, 173–178. [Google Scholar] [CrossRef]
- Katsuki, F.; Kamei, K.; Saguchi, A.; Takahashi, W.; Watanabe, J. AFM Studies on the Difference in Wear Behavior Between Si and SiO2 in KOH Solution. J. Electrochem. Soc. 2000, 147, 2328. [Google Scholar] [CrossRef]
- Liao, X.; Sampurno, Y.; Zhuang, Y.; Philipossian, A. Effect of Slurry Application∕Injection Schemes on Slurry Availability during Chemical Mechanical Planarization (CMP). Electrochem. Solid-State Lett. 2012, 15, H118. [Google Scholar] [CrossRef]
- Rosales-Yeomans, D.; Lee, H.; Suzuki, T.; Philipossian, A. Effect of Concentric Slanted Pad Groove Patterns on Slurry Flow during Chemical Mechanical Planarization. Thin Solid Film. 2012, 520, 2224–2232. [Google Scholar] [CrossRef]
- Coppeta, J.; Rogers, C.; Racz, L.; Philipossian, A.; Kaufman, F.B. Investigating Slurry Transport Beneath a Wafer during Chemical Mechanical Polishing Processes. J. Electrochem. Soc. 2000, 147, 1903. [Google Scholar] [CrossRef]
- Gray, C.; Apone, D.; Rogers, C.; Manno, V.P.; Barns, C.; Moinpour, M.; Anjur, S.; Philipossian, A. Viewing Asperity Behavior under the Wafer during CMP. Electrochem. Solid-State Lett. 2005, 8, G109–G111. [Google Scholar] [CrossRef][Green Version]
- Wei, X.; Sampurno, Y.A.; Zhuang, Y.; Dittler, R.; Meled, A.; Cheng, J.; Wargo, C.; Stankowski, R.; Philipossian, A. Effect of Retaining Ring Slot Design on Slurry Film Thickness during CMP. Electrochem. Solid-State Lett. 2010, 13, H119. [Google Scholar] [CrossRef]
- Lu, J.; Rogers, C.; Manno, V.P.; Philipossian, A.; Anjur, S.; Moinpour, M. Measurements of Slurry Film Thickness and Wafer Drag during CMP. J. Electrochem. Soc. 2004, 151, G241. [Google Scholar] [CrossRef]
- Nguyen, N.Y.; Tian, Y.; Zhong, Z.W. Modeling and Simulation for the Distribution of Slurry Particles in Chemical Mechanical Polishing. Int. J. Adv. Manuf. Technol. 2014, 75, 97–106. [Google Scholar] [CrossRef]
- Lo, S.-P.; Lin, Y.-Y.; Huang, J.-C. Analysis of Retaining Ring Using Finite Element Simulation in Chemical Mechanical Polishing Process. Int. J. Adv. Manuf. Technol. 2007, 34, 547–555. [Google Scholar] [CrossRef]
- Han, R.; Sampurno, Y.; Theng, S.; Sudargho, F.; Zhuang, Y.; Philipossian, A. Method for Ultra Rapid Determination of the Lubrication Mechanism in Chemical Mechanical Planarization. ECS J. Solid State Sci. Technol. 2017, 6, P32–P37. [Google Scholar] [CrossRef]
- Thakurta, D.G.; Borst, C.L.; Schwendeman, D.W.; Gutmann, R.J.; Gill, W.N. Pad Porosity, Compressibility and Slurry Delivery Effects in Chemical-Mechanical Planarization: Modeling and Experiments. Thin Solid Film. 2000, 366, 181–190. [Google Scholar] [CrossRef]
- Sundararajan, S.; Thakurta, D.G.; Schwendeman, D.W.; Murarka, S.P.; Gill, W.N. Two-Dimensional Wafer-Scale Chemical Mechanical Planarization Models Based on Lubrication Theory and Mass Transport. J. Electrochem. Soc. 1999, 146, 761–766. [Google Scholar] [CrossRef]
- Philipossian, A.; Olsen, S. Fundamental Tribological and Removal Rate Studies of Inter-Layer Dielectric Chemical Mechanical Planarization. Jpn. J. Appl. Phys. 2003, 42, 6371–6379. [Google Scholar] [CrossRef]
- Tahara, K.; Matsuoka, H.; Morioka, N.; Kannaka, M. Site Flatness Measurement System with Accuracy of Sub-Nanometer Order for Silicon Wafer. Kobelco Technol. Rev. 2016, 34, 59–64. [Google Scholar]













| Parameter | Value |
|---|---|
| Retaining ring inner diameter d2 | 301 mm |
| Retaining ring outer diameter d1 | 348 mm |
| Retaining ring speed | 120 rpm·min−1 |
| Pad rotation speed | 120 rpm·min−1 |
| Abrasive quantity N | 30,000 |
| Abrasive diameter dp | 50 nm |
| Abrasive density ρp | 2300 kg·m−3 |
| Slurry density | 1150 kg·m−3 |
| Polishing slurry viscosity µ | 0.02 pa·s |
| Pad diameter D | 850 mm |
| Polishing pad center position coordinates | (0,0) |
| Retaining ring center position coordinates | (0,180 mm) |
| Width/mm | Number | Width/mm | Number |
|---|---|---|---|
| 3 | 18 | 7 | 18 |
| 5 | 18 | 7 | 24 |
| 7 | 18 | 7 | 30 |
| 9 | 18 | 7 | 36 |
| 11 | 18 | 7 | 42 |
| 13 | 18 | 7 | 48 |
| 15 | 18 |
| Width/mm | Number | Name |
|---|---|---|
| 3 | 18 | Ring1 |
| 7 | 18 | Ring2 |
| 13 | 18 | Ring3 |
Disclaimer/Publisher’s Note: The statements, opinions and data contained in all publications are solely those of the individual author(s) and contributor(s) and not of MDPI and/or the editor(s). MDPI and/or the editor(s) disclaim responsibility for any injury to people or property resulting from any ideas, methods, instructions or products referred to in the content. |
© 2022 by the authors. Licensee MDPI, Basel, Switzerland. This article is an open access article distributed under the terms and conditions of the Creative Commons Attribution (CC BY) license (https://creativecommons.org/licenses/by/4.0/).
Share and Cite
Zhang, S.; Liu, Y.; Li, W.; Cao, J.; Huang, J.; Zhu, L.; Guan, Z. Numerical Analysis of the Effect of Retaining Ring Structure on the Chemical Mechanical Polishing Abrasive Motion State. Materials 2023, 16, 62. https://doi.org/10.3390/ma16010062
Zhang S, Liu Y, Li W, Cao J, Huang J, Zhu L, Guan Z. Numerical Analysis of the Effect of Retaining Ring Structure on the Chemical Mechanical Polishing Abrasive Motion State. Materials. 2023; 16(1):62. https://doi.org/10.3390/ma16010062
Chicago/Turabian StyleZhang, Siqi, Yiran Liu, Weimin Li, Jun Cao, Jiaye Huang, Lei Zhu, and Zijun Guan. 2023. "Numerical Analysis of the Effect of Retaining Ring Structure on the Chemical Mechanical Polishing Abrasive Motion State" Materials 16, no. 1: 62. https://doi.org/10.3390/ma16010062
APA StyleZhang, S., Liu, Y., Li, W., Cao, J., Huang, J., Zhu, L., & Guan, Z. (2023). Numerical Analysis of the Effect of Retaining Ring Structure on the Chemical Mechanical Polishing Abrasive Motion State. Materials, 16(1), 62. https://doi.org/10.3390/ma16010062

