Prediction of Hardenability Curves for Non-Boron Steels via a Combined Machine Learning Model
Abstract
1. Introduction
2. Methodology
2.1. Data Collection and Preprocessing
2.2. Feature Selection
2.3. Machine Learning Models
2.4. Model Evaluation
3. Results and Discussion
3.1. Classification Model
3.2. Regression Model
3.3. Model Validation
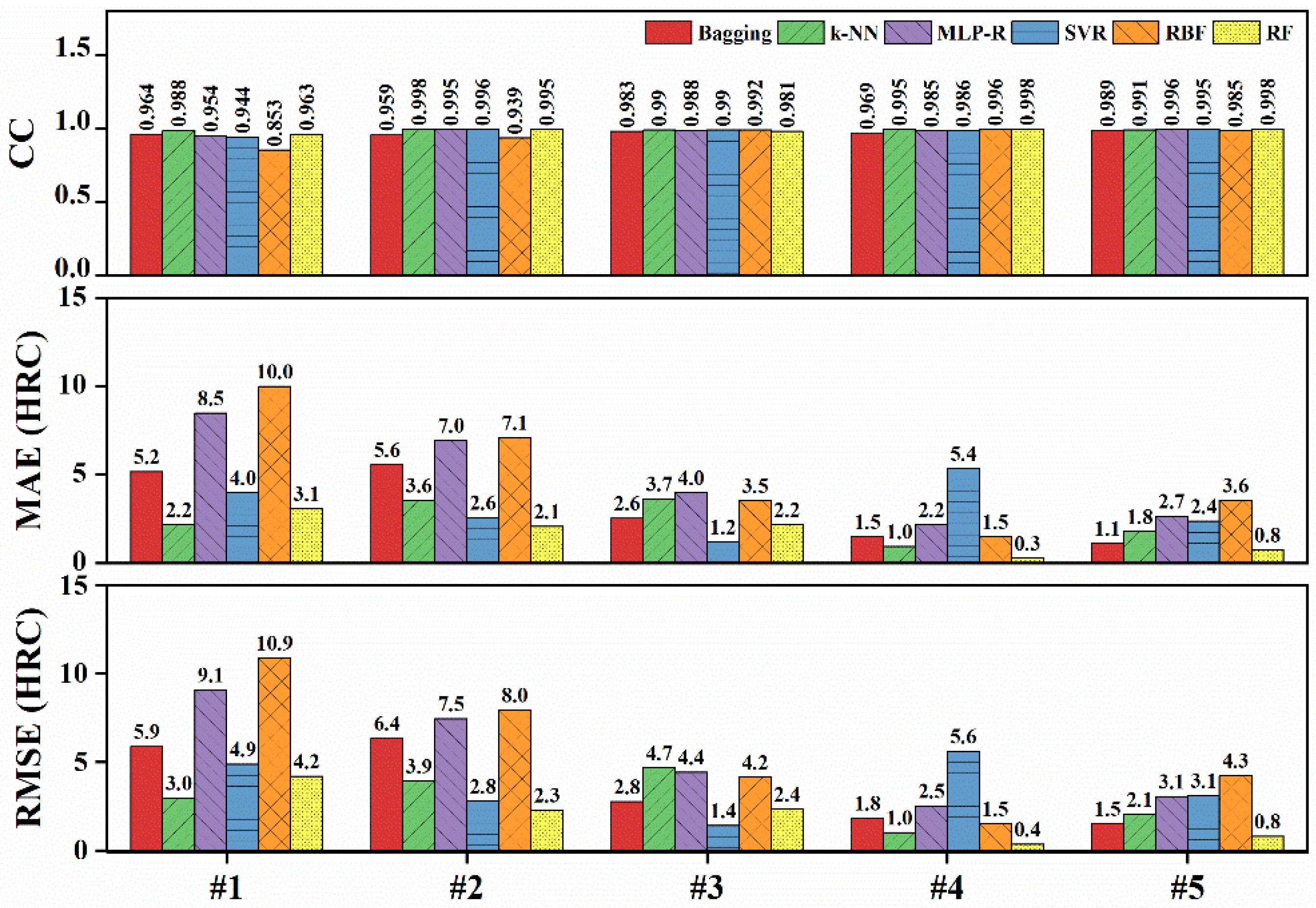
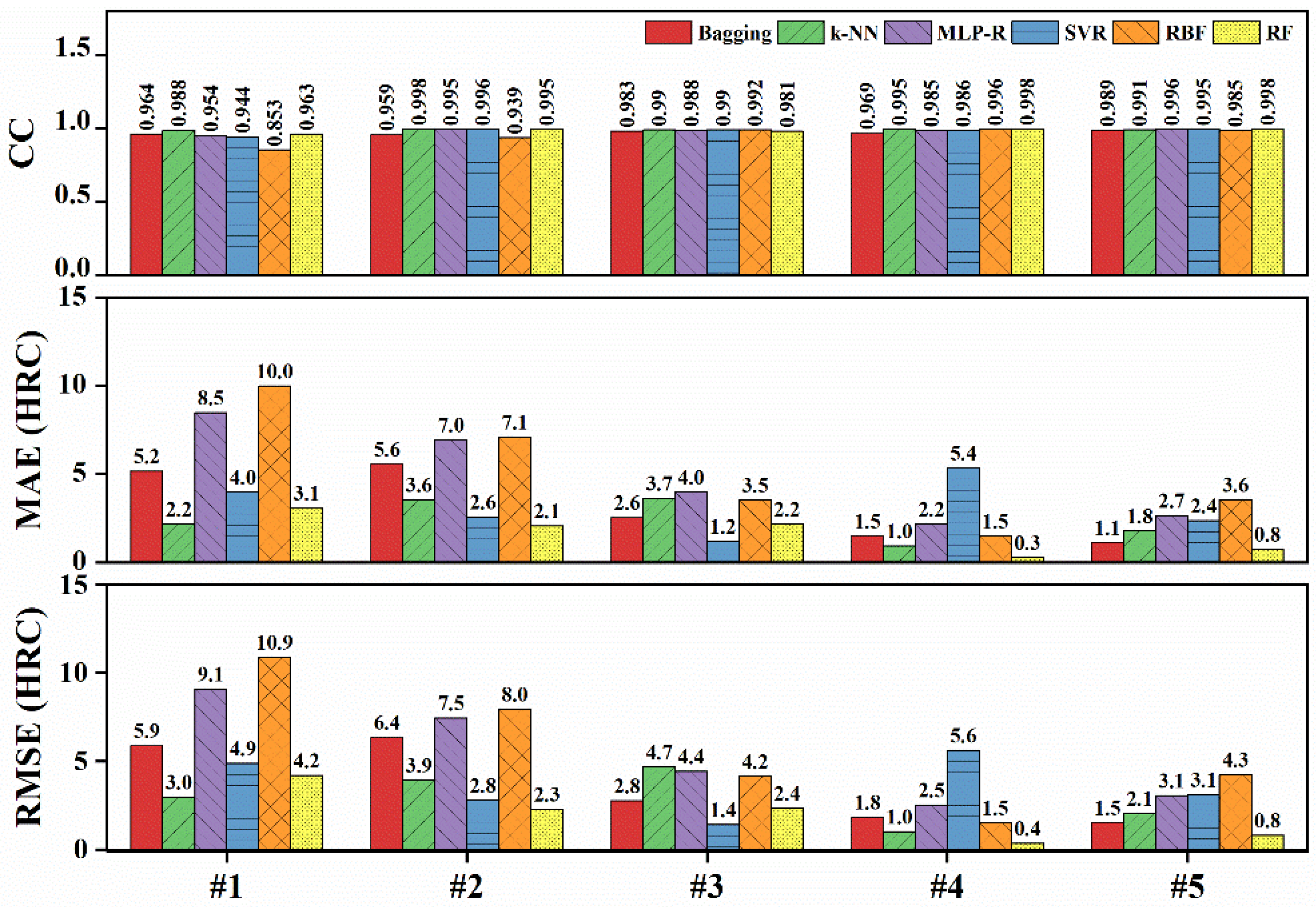
3.4. Comparison of CML Model with Others
4. Conclusions
Supplementary Materials
Author Contributions
Funding
Institutional Review Board Statement
Informed Consent Statement
Data Availability Statement
Conflicts of Interest
References
- Canale, L.C.F.; Albano, L.; Totten, G.E.; Meekisho, L. Hardenability of Steel. In Comprehensive Materials Processing; Hashmi, S., Ed.; Elsevier: Amsterdam, The Netherlands, 2014; pp. 39–97. [Google Scholar]
- Ohmori, A.; Torizuka, S.; Nagai, K. Strain-hardening due to Dispersed Cementite for Low Carbon Ultrafine-grained Steels. ISIJ Int. 2004, 44, 1063–1071. [Google Scholar] [CrossRef]
- Fedin, V.M.; Borts, A.I. Volume-surface hardening of freight bogie springs from steels with reduced and controlled hardenability. Met. Sci. Heat Treat. 2009, 51, 544–552. [Google Scholar] [CrossRef]
- Anggraini, L. Hardenability of ASSAB 760 Steel during Tempering for Punch Holder Applications. Solid State Phenom. 2017, 266, 13–18. [Google Scholar] [CrossRef]
- Santa-aho, S.; Sorsa, A.; Honkanen, M.; Vippola, M. Detailed Barkhausen noise and microscopy characterization of Jominy end-quench test sample of CF53 steel. J. Mater. Sci. 2020, 55, 4896–4909. [Google Scholar] [CrossRef]
- Geng, X.; Cheng, Z.; Wang, S.; Peng, C.; Ullah, A.; Wang, H.; Wu, G. A data-driven machine learning approach to predict the hardenability curve of boron steels and assist alloy design. J. Mater. Sci. 2022, 1–14. [Google Scholar] [CrossRef]
- Kamada, Y.; Kurayasu, H.; Watanabe, S. Relation between hardenability and segregation to austenite grain boundaries of boron atom on direct quenching process. Tetsu-to-Hagane 2010, 74, 2153–2160. [Google Scholar] [CrossRef][Green Version]
- Biaobrzeska, B. Effect of alloying additives and microadditives on hardenability increase caused by action of boron. Metals 2021, 11, 589. [Google Scholar] [CrossRef]
- Grossman, M.A. Hardenability calculated from chemical compositions. Trans. AIME 1942, 150, 227–259. [Google Scholar]
- Umemoto, M.; Nishioka, N.; Tamura, I. Prediction of Hardenability from Isothermal Transformation Diagrams. J. Heat Treat. 1981, 2, 130–138. [Google Scholar] [CrossRef]
- Just, E. New formulas for calculating hardenability curves. Met. Prog. 1969, 96, 87–88. [Google Scholar]
- Yu, B.H. Nonlinear equations for calculating hardenability and mechanical property. Iron Steel 1985, 3, 40–49. [Google Scholar]
- Kirkaldy, J.S.; Venugopolan, D. Phase Transformations in Ferrous Alloys; AIME: Englewood, CO, USA, 1983. [Google Scholar]
- Honeycombe, R.W.K. Steels: Microstructure and Properties; Edward Arnmold: London, UK, 1980. [Google Scholar]
- Kang, S.-H.; Im, Y.-T. Finite element investigation of multi-phase transformation within carburized carbon steel. J. Mater. Process. Technol. 2007, 183, 241–248. [Google Scholar] [CrossRef]
- Breneman, C.M.; Brinson, C.L.; Schadler, L.S.; Natarajan, B.; Krein, M.; Wu, K.; Morkowchuk, L.; Li, Y.; Deng, H.; Xu, H.Y. Stalking the materials genome: A data-driven approach to the virtual design of nanostructured polymers. Adv. Funct. Mater. 2013, 23, 5746–5752. [Google Scholar] [CrossRef] [PubMed]
- Wang, W.Y.; Li, J.; Liu, W.; Liu, Z.-K. Integrated computational materials engineering for advanced materials: A brief review. Comput. Mater. Sci. 2019, 158, 42–48. [Google Scholar] [CrossRef]
- Geng, X.; Wang, H.; Xue, W.; Xiang, S.; Huang, H.; Meng, L.; Ma, G. Modeling of CCT diagrams for tool steels using different machine learning techniques. Comput. Mater. Sci. 2020, 171, 109235. [Google Scholar] [CrossRef]
- Wang, J.; Fa, Y.; Tian, Y.; Yu, X. A machine-learning approach to predict creep properties of Cr–Mo steel with time-temperature parameters. J. Mater. Res. Technol. 2021, 13, 635–650. [Google Scholar] [CrossRef]
- Geng, X.; Wang, H.; Ullah, A.; Xue, W.; Xiang, S.; Meng, L.; Ma, G. Prediction of Continuous Cooling Transformation Diagrams for Ni-Cr-Mo Welding Steels via Machine Learning Approaches. JOM 2021, 72, 3926–3934. [Google Scholar] [CrossRef]
- Zhang, L.; Qian, K.; Huang, J.; Liu, M.; Shibuta, Y. Molecular dynamics simulation and machine learning of mechanical response in non-equiatomic FeCrNiCoMn high-entropy alloy. J. Mater. Res. Technol. 2021, 13, 2043–2054. [Google Scholar] [CrossRef]
- Churyumov, A.; Kazakova, A.; Churyumova, T. Modelling of the steel high-temperature deformation behaviour using artificial neural network. Metals 2022, 12, 447. [Google Scholar] [CrossRef]
- Honysz, R. Modeling the chemical composition of ferritic stainless steels with the use of artificial neural networks. Metals 2021, 11, 724. [Google Scholar] [CrossRef]
- Gao, X.-H.; Qi, K.-M.; Deng, T.-Y.; Qiu, C.-L.; Zhou, P.; Du, X.-B. Application of artificial neural network to predicting hardenability of gear steel. J. Iron Steel Res. Int. 2006, 13, 71–73. [Google Scholar] [CrossRef]
- Trzaska, J.; Sitek, W.; Dobrzański, L.A. Application of neural networks for selection of steel grade with required hardenability. Int. J. Comput. Mater. Sci. Surf. Eng. 2007, 1, 366–382. [Google Scholar] [CrossRef]
- Knap, M.; Falkus, J.; Rozman, A.; Konopka, K.; Lamut, J. The prediction of hardenability using neural networks. Arch. Metall. Mater. 2014, 59, 133–136. [Google Scholar] [CrossRef]
- Gao, X.H.; Deng, T.Y.; Wang, H.R.; Qiu, C.L.; Qi, K.M.; Zhou, P. Prediction of Hardenability of Gear Steel Using Stepwise Polynomial Regression and Artificial Neural Network. Adv. Mater. Res. 2010, 118–120, 332–335. [Google Scholar] [CrossRef]
- Dong, G.; Li, X.; Zhao, J.; Su, S.; Misra, R.; Xiao, R.; Shang, C. Machine learning guided methods in building chemical composition-hardenability model for wear-resistant steel. Mater. Today Commun. 2020, 24, 101332. [Google Scholar] [CrossRef]
- Liu, X.Q. Hardenability Hand-Book of Steels; Chemical Industry Press: Beijing, China, 2011. [Google Scholar]
- Hu, Z.Z. Handbook of Steel and Heat Treatment Curves; National Defense Industry Press: Beijing, China, 2011. [Google Scholar]
- Sun, Z.B.; Zhu, P.F.; Lin, H.G.; Yu, T.S. Handbook of Alloy Steel; Metallurgical Industry Press: Beijing, China, 1992. [Google Scholar]
- Kirkaldy, J.S. Quantitative Prediction of Transformation Hardening in Steels; ASM International: Novelty, OH, USA, 1991; Volume 4, pp. 20–32. [Google Scholar]
- Adrian, H. A mechanism for effect of vanadium on hardenability of medium carbon manganese steel. Mater. Sci. Technol. 1999, 15, 366–378. [Google Scholar] [CrossRef]
- Pan, Z.B.; Wang, Y.K.; Pan, Y.W. A new locally adaptive k-nearest neighbor algorithm based on discrimination class. Knowl.-Based Syst. 2020, 204, 106185. [Google Scholar] [CrossRef]
- Hearst, M.A.; Dumais, S.T.; Osuna, E.; Platt, J.; Scholkopf, B. Support vector machines. IEEE Intell. Syst. 1998, 13, 18–28. [Google Scholar] [CrossRef]
- Chen, S.; Cowan, C.F.N.; Grant, P.M. Orthogonal least squares learning algorithm for radial basis function networks. IEEE Trans. Neural Netw. 1991, 2, 302–309. [Google Scholar] [CrossRef]
- Xue, L.; Liu, Y.; Xiong, Y.; Liu, Y.; Cui, X.; Lei, G. A data-driven shale gas production forecasting method based on the multi-objective random forest regression. J. Pet. Sci. Eng. 2021, 196, 107801. [Google Scholar] [CrossRef]
- Chelgani, S.C.; Matin, S.S.; Makaremi, S. Modeling of free swelling index based on variable importance measurements of parent coal properties by random forest method. Measurement 2016, 94, 416–422. [Google Scholar] [CrossRef]
- Xiong, Z.; Cui, Y.; Liu, Z.; Zhao, Y.; Hu, M.; Hu, J. Evaluating explorative prediction power of machine learning algorithms for materials discovery using k-fold forward cross-validation. Comput. Mater. Sci. 2020, 171, 109203. [Google Scholar] [CrossRef]
- Baldi, P.; Brunak, S.; Chauvin, Y.; Andersen, C.A.F.; Nielsen, H. Assessing the accuracy of prediction algorithms for classification: An overview. Bioinformatics 2000, 16, 412–424. [Google Scholar] [CrossRef] [PubMed]
- Sokolova, M.; Lapalme, G. A systematic analysis of performance measures for classification tasks. Inf. Process. Manag. 2009, 45, 427–437. [Google Scholar] [CrossRef]
- Sonego, P.; Kocsor, A.; Pongor, S. ROC analysis: Applications to the classification of biological sequences and 3D structures. Brief. Bioinform. 2008, 9, 198–209. [Google Scholar] [CrossRef] [PubMed]
- Geng, X.; Mao, X.; Wu, H.-H.; Wang, S.; Xue, W.; Zhang, G.; Ullah, A.; Wang, H. A hybrid machine learning model for predicting continuous cooling transformation diagrams in welding heat-affected zone of low alloy steels. J. Mater. Sci. Technol. 2022, 107, 207–215. [Google Scholar] [CrossRef]
- Kam, H.T. Random decision forests. In Proceedings of the 3rd International Conference on Document Analysis and Recognition, Montreal, QC, Canada, 14–16 August 1995; pp. 278–282. [Google Scholar]
- Ho, T.K. The Random Subspace Method for Constructing Decision Forests. IEEE Trans. Pattern Anal. Mach. Intell. 1998, 8, 832–844. [Google Scholar]
- Berk, R.A. Statistical Learning from a Regression Perspective; Springer: New York, NY, USA, 2008. [Google Scholar]
- Breiman, L. Random forests. Mach. Learn. 2001, 45, 5–32. [Google Scholar] [CrossRef]
- James, G.; Witten, D.; Hastie, T.; Tibshirani, R. An Introduction to Statistical Learning; Springer: New York, NY, USA, 2013; Volume 6, pp. 316–321. [Google Scholar]
- Altman, N.S. An introduction to kernel and nearest-neighbor nonparametric regression. Am. Stat. 1992, 46, 175–185. [Google Scholar]
- Hsu, B. Generalized linear interpolation of language models. In Proceedings of the 2007 IEEE Workshop on Automatic Speech Recognition & Understanding (ASRU), Kyoto, Japan, 9–13 December 2007; pp. 136–140. [Google Scholar]
- Vries, A.P.D.; Mamoulis, N.; Nes, N.; Kersten, M. Efficient k-NN search on vertically decomposed Data. In Proceedings of the 2002 ACM SIGMOD International Conference on Management of Data, Madison, WI, USA, 3–5 June 2002; pp. 322–333. [Google Scholar]










Publisher’s Note: MDPI stays neutral with regard to jurisdictional claims in published maps and institutional affiliations. |
© 2022 by the authors. Licensee MDPI, Basel, Switzerland. This article is an open access article distributed under the terms and conditions of the Creative Commons Attribution (CC BY) license (https://creativecommons.org/licenses/by/4.0/).
Share and Cite
Geng, X.; Wang, S.; Ullah, A.; Wu, G.; Wang, H. Prediction of Hardenability Curves for Non-Boron Steels via a Combined Machine Learning Model. Materials 2022, 15, 3127. https://doi.org/10.3390/ma15093127
Geng X, Wang S, Ullah A, Wu G, Wang H. Prediction of Hardenability Curves for Non-Boron Steels via a Combined Machine Learning Model. Materials. 2022; 15(9):3127. https://doi.org/10.3390/ma15093127
Chicago/Turabian StyleGeng, Xiaoxiao, Shuize Wang, Asad Ullah, Guilin Wu, and Hao Wang. 2022. "Prediction of Hardenability Curves for Non-Boron Steels via a Combined Machine Learning Model" Materials 15, no. 9: 3127. https://doi.org/10.3390/ma15093127
APA StyleGeng, X., Wang, S., Ullah, A., Wu, G., & Wang, H. (2022). Prediction of Hardenability Curves for Non-Boron Steels via a Combined Machine Learning Model. Materials, 15(9), 3127. https://doi.org/10.3390/ma15093127

