Thermal Properties of Illite-Zeolite Mixtures up to 1100 °C
Abstract
:1. Introduction
2. Materials and Methods
3. Results and Discussion
3.1. Differential Thermal Analysis
3.2. Differential Scanning Calorimetry
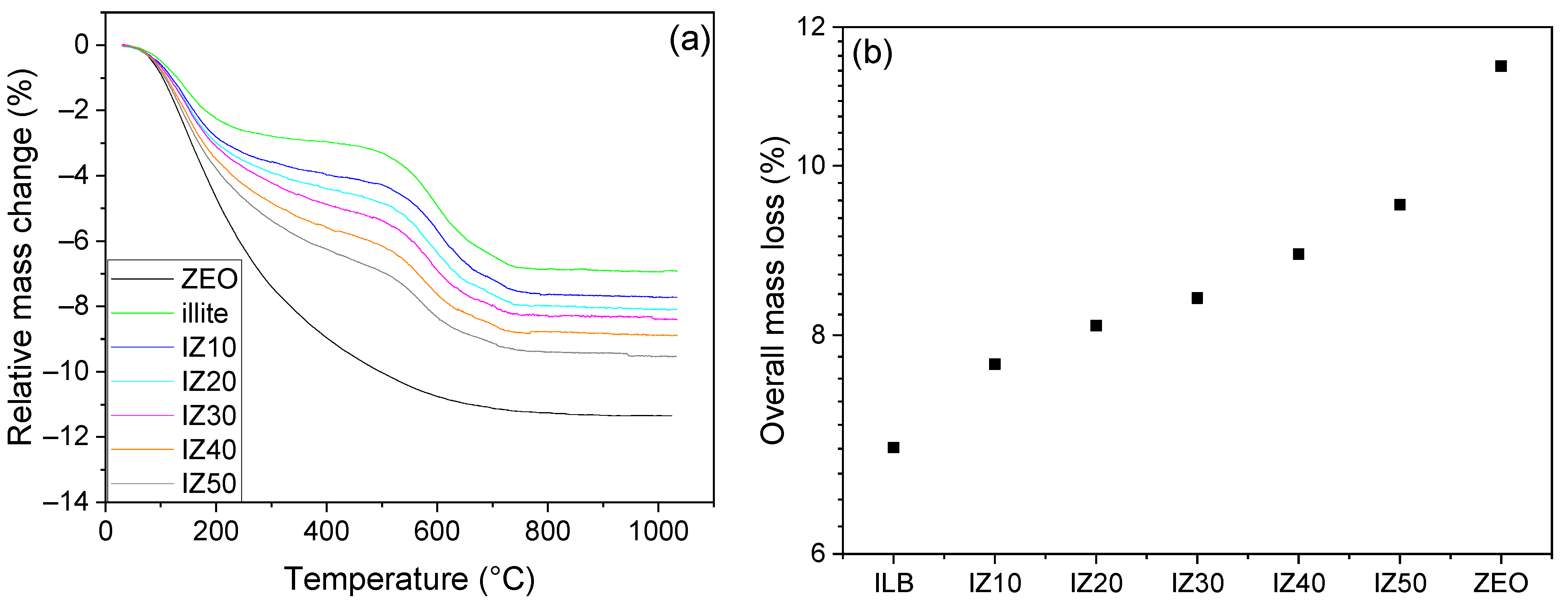
3.3. Mass Change
3.4. Thermal Expansion
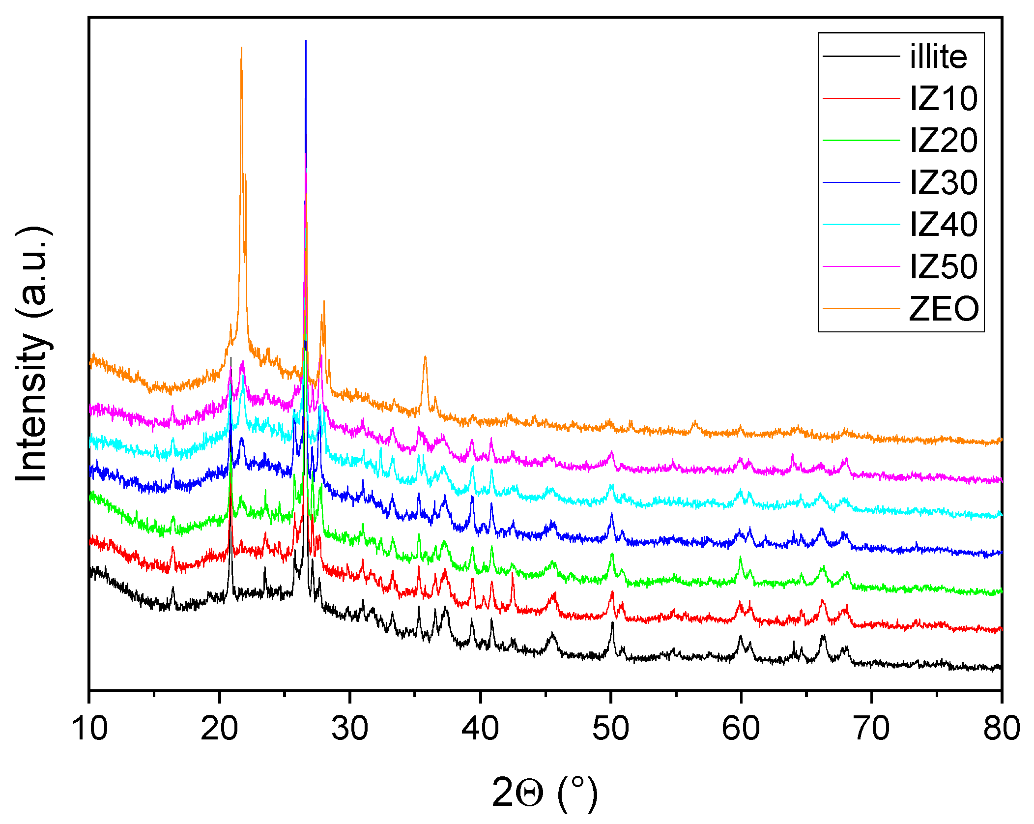
3.5. Phase Composition
3.6. Bulk Density
3.7. Porosity
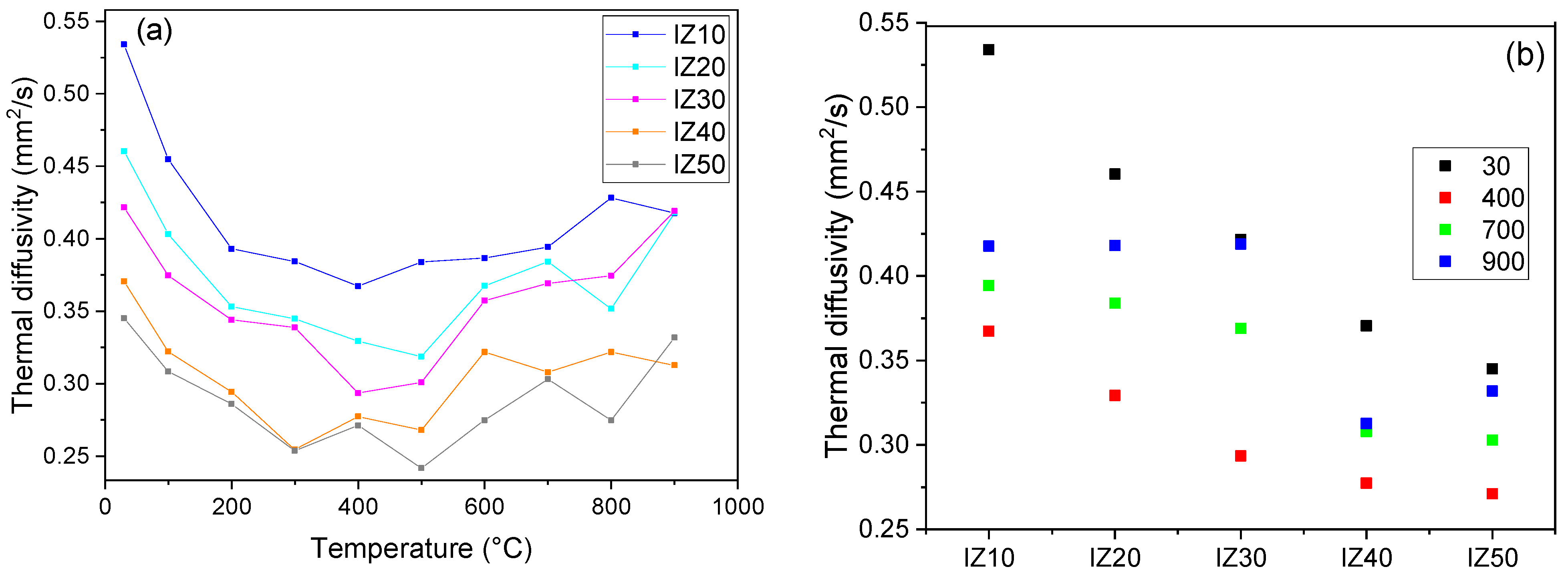
3.8. Thermal Diffusivity
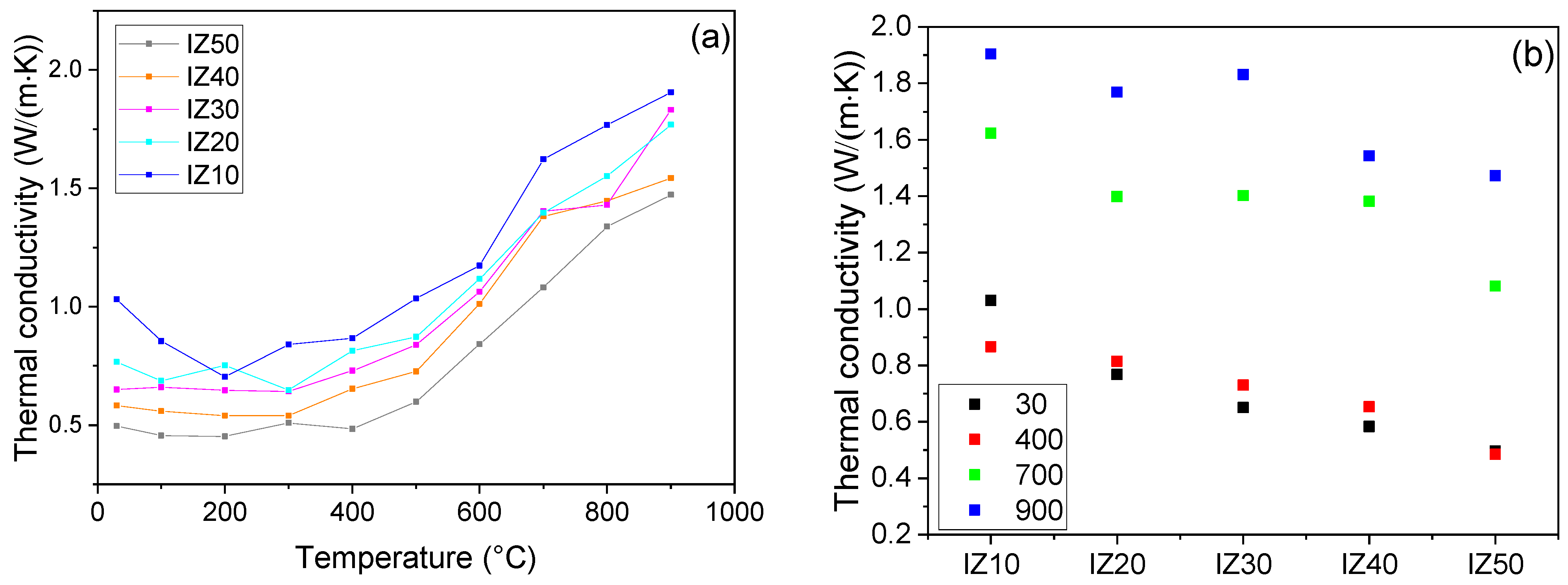
3.9. Thermal Conductivity
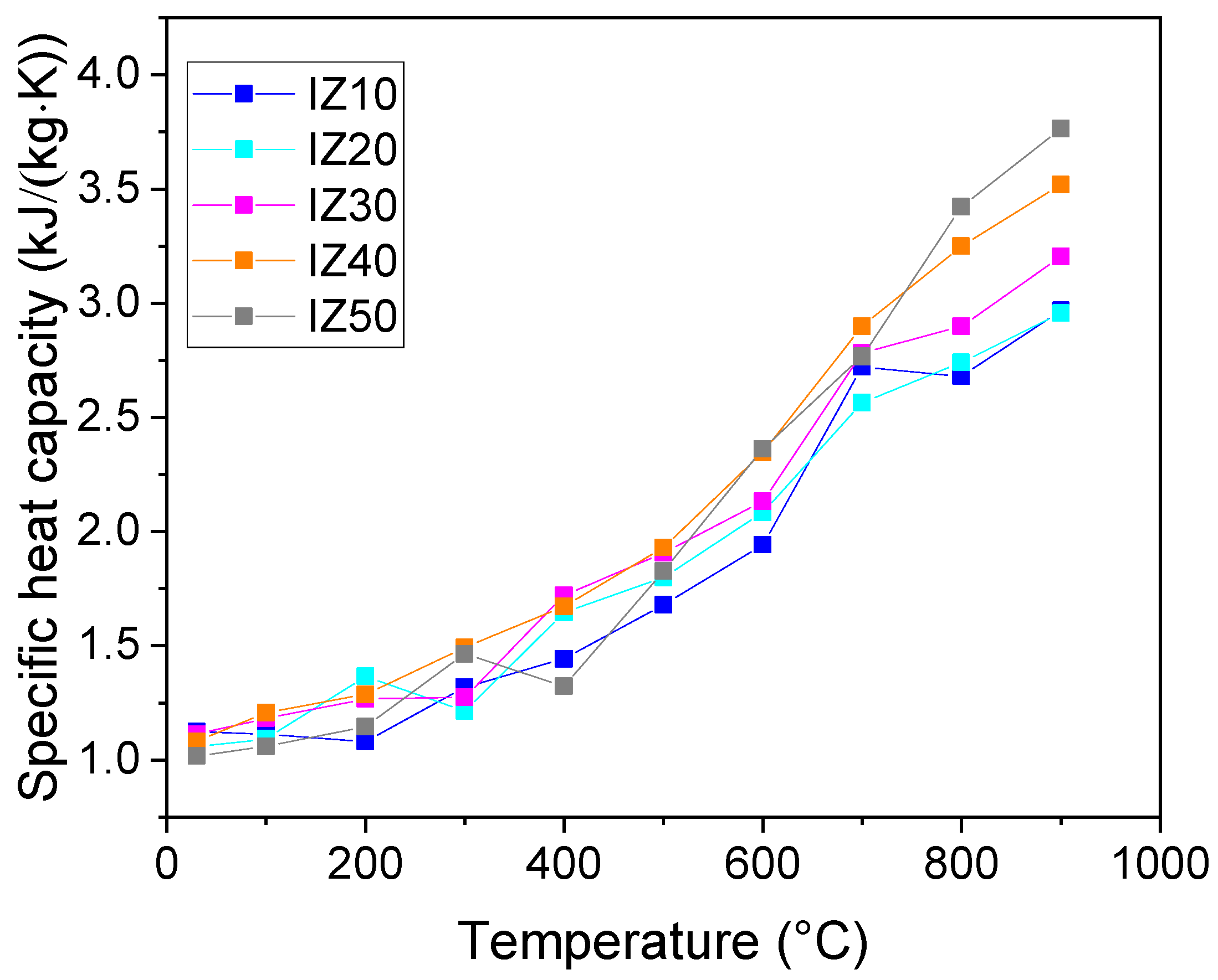
3.10. Specific Heat Capacity
4. Conclusions
Author Contributions
Funding
Institutional Review Board Statement
Informed Consent Statement
Data Availability Statement
Acknowledgments
Conflicts of Interest
References
- Ferrari, S.; Gualtieri, A.F. The use of illitic clays in the production of stoneware tile ceramics. Appl. Clay Sci. 2006, 32, 73–81. [Google Scholar] [CrossRef]
- Gualtieri, A.F.; Ferrari, S.; Leoni, M.; Grathoff, G.; Hugo, R.; Shatnawi, M.; Paglia, G.; Billinge, S. Structural characterization of the clay mineral illite-1M. J. Appl. Crystallogr. 2008, 41, 402–415. [Google Scholar] [CrossRef]
- Drits, V.A.; McCarty, D.K. The nature of structure-bonded H2O in illite and leucophyllite from dehydration and dehydroxylation experiments. Clays Clay Miner. 2007, 55, 45–58. [Google Scholar] [CrossRef]
- Gualtieri, A.F.; Ferrari, S. Kinetics of illite dehydroxylation. Phys. Chem. Miner. 2006, 33, 490–501. [Google Scholar] [CrossRef]
- Viczián, I. Hungarian investigation on the “Zempleni” illite. Clays Clay Miner. 1997, 45, 114–115. [Google Scholar] [CrossRef]
- De Araújo, J.H.; da Silva, N.F.; Acchar, W.; Gomes, U.U. Thermal decomposition of illite. Mater. Res. 2004, 7, 359–361. Available online: http://www.scielo.br/scielo.php?script=sci_arttext&pid=S1516-14392004000200024&nrm=iso (accessed on 21 March 2022). [CrossRef] [Green Version]
- Wang, G.; Wang, H.; Zhang, N. In situ high temperature X-ray diffraction study of illite. Appl. Clay Sci. 2017, 146, 254–263. [Google Scholar] [CrossRef]
- Čejka, J.; Zilkova, N. Syntéza a struktura zeolitu. Chem. List. 2000, 94, 278–287. [Google Scholar]
- Bogdanov, B.; Georgiev, D.; Angelova, K.; Yaneva, K. Natural Zeolites: Clinoptilolite Review. Econ. Soc. Dev. Base Knowl. 2009, 4, 6–11. Available online: https://www.yumpu.com/en/document/read/15593360/natural-zeolites-clinoptilolite (accessed on 23 March 2017).
- Roque-Malherbe, R. Chapter 12 Applications of natural zeolites in pollution abatement and industry. Handb. Surfaces Interfaces Mater. 2001, 5, 495–522. [Google Scholar] [CrossRef]
- Favvas, E.P.; Tsanaktsidis, C.G.; Sapalidis, A.A.; Tzilantonis, G.T.; Papageorgiou, S.K.; Ch Mitropoulos, A.; Mitropoulos, A.C. Clinoptilolite, a natural zeolite material: Structural characterization and performance evaluation on its dehydration properties of hydrocarbon-based fuels. Microporous Mesoporous Mater. 2016, 225, 385–391. [Google Scholar] [CrossRef]
- Polat, E.; Karaca, M.; Demir, H.; Onus, N. Use of natural zeolite (clinoptilolite) in agriculture. J. Fruit Ornam. Plant Res. 2004, 12, 183–189. [Google Scholar]
- Mansouri, N.; Rikhtegar, N.; Panahi, H.A.H.A.; Atabi, F.; Shahraki, B.K.B.K.B.K. Porosity, characterization and structural properties of natural zeolite-clinoptilolite-As a Sorbent. Environ. Prot. Eng. 2013, 39, 139–152. [Google Scholar] [CrossRef]
- Kocak, Y.; Tascı, E.; Kaya, U. The effect of using natural zeolite on the properties and hydration characteristics of blended cements. Constr. Build. Mater. 2013, 47, 720–727. [Google Scholar] [CrossRef]
- Inglezakis, V.J. The concept of “capacity” in zeolite ion-exchange systems. J. Colloid Interface Sci. 2005, 281, 68–79. [Google Scholar] [CrossRef]
- Bıyık, R.; Tapramaz, R. An EPR study of clinoptilolite from Bigadiç in Turkey. Microporous Mesoporous Mater. 2016, 219, 38–41. [Google Scholar] [CrossRef]
- Cieśla, J.; Franus, W.; Franus, M.; Kedziora, K.; Gluszczyk, J.; Szerement, J.; Jozefaciuk, G. Environmental-Friendly Modifications of Zeolite to Increase Its Sorption and Anion Exchange Properties, Physicochemical Studies of the Modified Materials. Materials 2019, 12, 3213. [Google Scholar] [CrossRef] [Green Version]
- Bandura, L.; Franus, M.; Madej, J.; Kołodyńska, D.; Hubicki, Z. Zeolites in Phenol Removal in the Presence of Cu(II) Ions—Comparison of Sorption Properties after Chitosan Modification. Materials 2020, 13, 643. [Google Scholar] [CrossRef] [Green Version]
- Lamprecht, M.; Bogner, S.; Steinbauer, K.; Schuetz, B.; Greilberger, J.F.; Leber, B.; Wagner, B.; Zinser, E.; Petek, T.; Wallner-Liebmann, S.; et al. Effects of zeolite supplementation on parameters of intestinal barrier integrity, inflammation, redoxbiology and performance in aerobically trained subjects. J. Int. Soc. Sports Nutr. 2015, 12, 40. [Google Scholar] [CrossRef] [Green Version]
- Laurino, C.; Palmieri, B. Zeolite: “the magic stone”; main nutritional, environmental, experimental and clinical fields of application. Nutr. Hosp. 2015, 32, 573–581. [Google Scholar]
- Trník, A.; Scheinherrová, L.; Medveď, I.; Černý, R. Simultaneous DSC and TG analysis of high-performance concrete containing natural zeolite as a supplementary cementitious material. J. Therm. Anal. Calorim. 2015, 121, 67–73. [Google Scholar] [CrossRef]
- Vejmelková, E.; Koňáková, D.; Kulovaná, T.; Keppert, M.; Žumár, J.; Rovnaníková, P.; Keršner, Z.; Sedlmajer, M.; Černý, R. Engineering properties of concrete containing natural zeolite as supplementary cementitious material: Strength, toughness, durability, and hygrothermal performance. Cem. Concr. Compos. 2015, 55, 259–267. [Google Scholar] [CrossRef]
- Franus, W.; Jozefaciuk, G.; Bandura, L.; Franus, M. Use of Spent Zeolite Sorbents for the Preparation of Lightweight Aggregates Differing in Microstructure. Minerals 2017, 7, 25. [Google Scholar] [CrossRef] [Green Version]
- Barnat-Hunek, D.; Siddique, R.; Klimek, B.; Franus, M. The use of zeolite, lightweight aggregate and boiler slag in restoration renders. Constr. Build. Mater. 2017, 142, 162–174. [Google Scholar] [CrossRef]
- Húlan, T.; Trník, A.; Kaljuvee, T.; Uibu, M.; Štubňa, I.; Kallavus, U.; Traksmaa, R. The study of firing of a ceramic body made from illite and fluidized bed combustion fly ash. J. Therm. Anal. Calorim. 2017, 127, 79–89. [Google Scholar] [CrossRef]
- Knapek, M.; Húlan, T.; Dobroň, P.; Chmelík, F.; Trník, A.; Štubňa, I. Acoustic Emission During Firing of the Illite-Based Ceramics with Fly Ash Addition. Acta Phys. Pol. A 2015, 128, 783–786. [Google Scholar] [CrossRef]
- Kaljuvee, T.; Štubňa, I.; Somelar, P.; Mikli, V.; Kuusik, R. Thermal behavior of some Estonian clays and their mixtures with oil shale ash additives. J. Therm. Anal. Calorim. 2014, 118, 891–899. [Google Scholar] [CrossRef]
- Csáki, Š.; Húlan, T.; Ondruška, J.; Štubňa, I.; Trnovcová, V.; Lukáč, F.; Dobroň, P. Electrical conductivity and thermal analyses studies of phase evolution in the illite–CaCO3 system. Appl. Clay Sci. 2019, 178, 105140. [Google Scholar] [CrossRef]
- Ondruška, J.; Húlan, T.; Sunitrová, I.; Csáki, Š.; Łagód, G.; Struhárová, A.; Trník, A. Thermophysical Properties of Kaolin–Zeolite Blends up to 1100 °C. Crystals 2021, 11, 165. [Google Scholar] [CrossRef]
- Húlan, T.; Štubňa, I.; Ondruška, J.; Csáki, Š.; Lukáč, F.; Mánik, M.; Vozár, L.; Ozolins, J.; Kaljuvee, T.; Trník, A. Young’s modulus of different illitic clays during heating and cooling stage of firing. Materials 2020, 13, 4968. [Google Scholar] [CrossRef]
- Zeolite Data Sheet. Available online: Http://zeocem.sk/wp-content/uploads/2013/10/Zeolite_Data_Sheet-SJ.pdf (accessed on 14 March 2017).
- Podoba, R.; Podobník, Ľ. Upgrading of TGA/DTA analyzer derivatograph. Epa. J. Silic. Based Compos. Mater. 2012, 64, 28–29. [Google Scholar] [CrossRef]
- Rietveld, H.M. Line profiles of neutron powder-diffraction peaks for structure refinement. Acta Crystallogr. 1967, 22, 151–152. [Google Scholar] [CrossRef]
- Hill, R.J.; Howard, C.J. Quantitative phase analysis from neutron powder diffraction data using the Rietveld method. J. Appl. Crystallogr. 1987, 20, 467–474. [Google Scholar] [CrossRef]
- Dollase, W.A. Correction of intensities for preferred orientation in powder diffractometry: Application of the March model. J. Appl. Crystallogr. 1986, 19, 267–272. [Google Scholar] [CrossRef]
- Tagliente, M.A.; Massaro, M. Strain-driven (002) preferred orientation of ZnO nanoparticles in ion-implanted silica. Nucl. Instrum. Methods Phys. Res. Sect. B Beam Interact. Mater. Atoms 2008, 266, 1055–1061. [Google Scholar] [CrossRef]
- Alver, B.E.; Sakizci, M.; Yörükoğullari, E. Investigation of clinoptilolite rich natural zeolites from Turkey: A combined XRF, TG/DTG, DTA and DSC study. J. Therm. Anal. Calorim. 2010, 100, 19–26. [Google Scholar] [CrossRef]
- Csáki, Š.; Ondruška, J.; Trnovcová, V.; Štubňa, I.; Dobroň, P.; Vozár, L. Temperature dependence of the AC conductivity of illitic clay. Appl. Clay Sci. 2018, 157, 19–23. [Google Scholar] [CrossRef]
- Saarenketo, T. Electrical properties of water in clay and silty soils. J. Appl. Geophys. 1998, 40, 73–88. [Google Scholar] [CrossRef]
- Foldesova, M.; Hudec, P.; Dillinger, P. Chemically modified zeolites: Surfaces and interaction with Cs and Co. Inst. Pet. Coal 2007, 49, 60–63. [Google Scholar]
- Che, C.; Glotch, T.D.; Bish, D.L.; Michalski, J.R.; Xu, W. Spectroscopic study of the dehydration and/or dehydroxylation of phyllosilicate and zeolite minerals. J. Geophys. Res. 2011, 116, E05007. [Google Scholar] [CrossRef]
- Knapek, M.; Húlan, T.; Minárik, P.; Dobroň, P.; Stubňa, I.; Stráská, J.; Chmelík, F. Study of microcracking in illite-based ceramics during firing. J. Eur. Ceram. Soc. 2016, 36, 221–226. [Google Scholar] [CrossRef]











| Oxides | SiO2 | Al2O3 | Fe2O3 | TiO2 | CaO | MgO | K2O | Na2O | L.O.I |
|---|---|---|---|---|---|---|---|---|---|
| Illitic clay | 58.4 | 23.9 | 0.6 | - | 0.4 | 1.7 | 7.7 | 0.1 | 7.2 |
| Zeolite | 68.2 | 12.3 | 1.3 | 0.2 | 3.9 | 0.9 | 2.8 | 0.7 | 11.35 |
| Sample | ILB | IZ10 | IZ20 | IZ30 | IZ40 | IZ50 | ZEO |
|---|---|---|---|---|---|---|---|
| Illitic clay | 100 | 90 | 80 | 70 | 60 | 50 | - |
| Zeolite | - | 10 | 20 | 30 | 40 | 50 | 100 |
| Mineral Phase | Illitic Clay | IZ10 | IZ20 | IZ30 | IZ40 | IZ50 | ZEO |
|---|---|---|---|---|---|---|---|
| Quartz | 34 | 32 | 28 | 25 | 24 | 22 | 14 |
| Al2O3 | 31 | 26 | 27 | 25 | 20 | 21 | - |
| Orthoclase | 13 | 15 | 17 | 16 | - | - | - |
| Mullite | 22 | 24 | 21 | 26 | 25 | 21 | - |
| Cristobalite | - | 3 | 7 | 8 | 10 | 11 | 52 |
| Albite | - | - | - | - | 21 | 25 | 34 |
| Amorphous | 56 | 53 | 47 | 47 | 43 | 47 | 45 |
Publisher’s Note: MDPI stays neutral with regard to jurisdictional claims in published maps and institutional affiliations. |
© 2022 by the authors. Licensee MDPI, Basel, Switzerland. This article is an open access article distributed under the terms and conditions of the Creative Commons Attribution (CC BY) license (https://creativecommons.org/licenses/by/4.0/).
Share and Cite
Csáki, Š.; Sunitrová, I.; Lukáč, F.; Łagód, G.; Trník, A. Thermal Properties of Illite-Zeolite Mixtures up to 1100 °C. Materials 2022, 15, 3029. https://doi.org/10.3390/ma15093029
Csáki Š, Sunitrová I, Lukáč F, Łagód G, Trník A. Thermal Properties of Illite-Zeolite Mixtures up to 1100 °C. Materials. 2022; 15(9):3029. https://doi.org/10.3390/ma15093029
Chicago/Turabian StyleCsáki, Štefan, Ivana Sunitrová, František Lukáč, Grzegorz Łagód, and Anton Trník. 2022. "Thermal Properties of Illite-Zeolite Mixtures up to 1100 °C" Materials 15, no. 9: 3029. https://doi.org/10.3390/ma15093029
APA StyleCsáki, Š., Sunitrová, I., Lukáč, F., Łagód, G., & Trník, A. (2022). Thermal Properties of Illite-Zeolite Mixtures up to 1100 °C. Materials, 15(9), 3029. https://doi.org/10.3390/ma15093029

