Degradation Effect and Magnetoelectric Transport Properties in CrBr3 Devices
Abstract
:1. Introduction
2. Materials and Methods
2.1. Device Fabrication
2.2. Characterization and Measurements
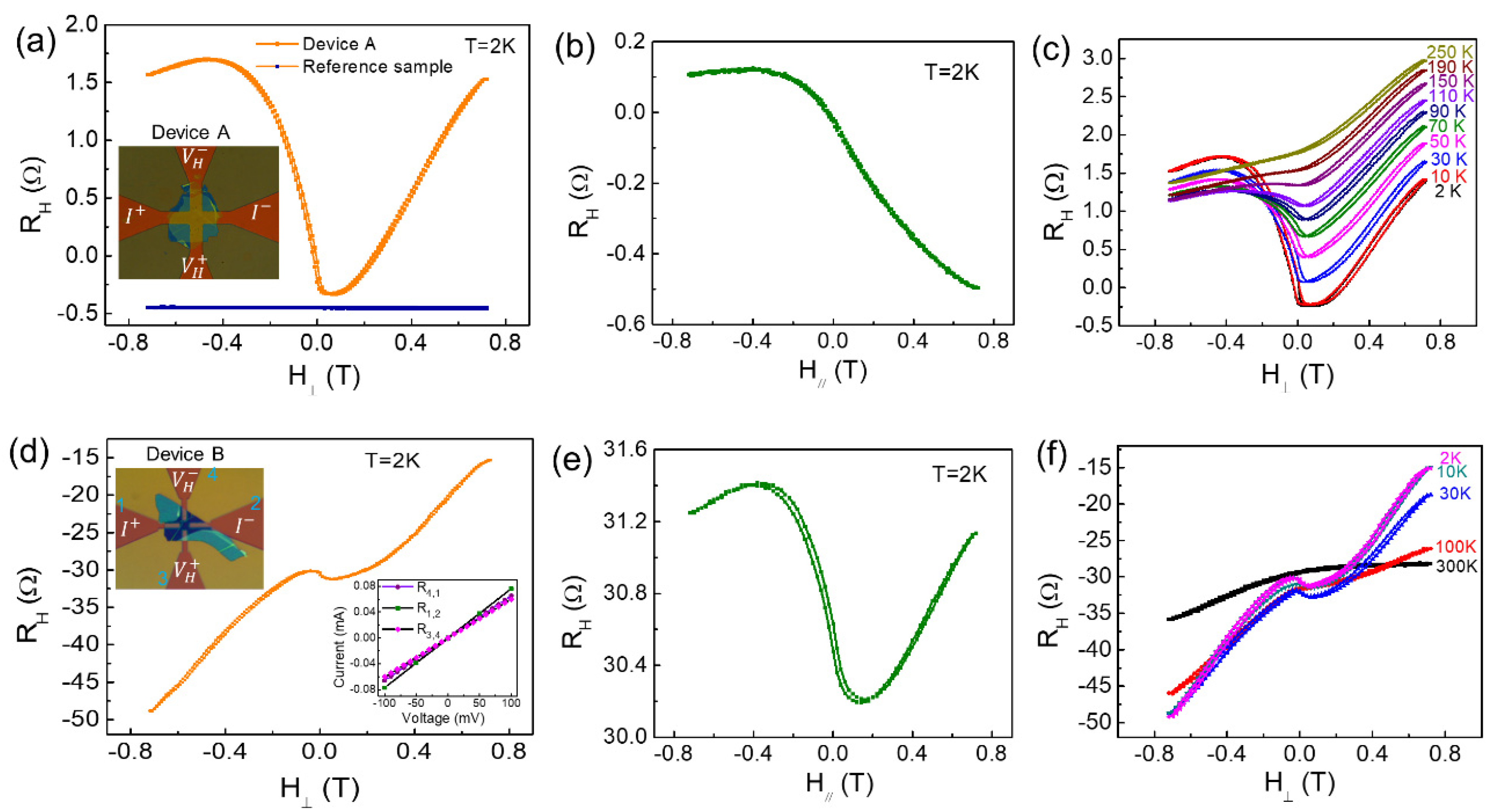
3. Results and Discussion
4. Conclusions
Supplementary Materials
Author Contributions
Funding
Institutional Review Board Statement
Informed Consent Statement
Data Availability Statement
Conflicts of Interest
References
- Huang, B.; Clark, G.; Navarro-Moratalla, E.; Klein, D.R.; Cheng, R.; Seyler, K.L.; Zhong, D.; Schmidgall, E.; McGuire, M.A.; Cobden, D.H.; et al. Layer-dependent ferromagnetism in a van der Waals crystal down to the monolayer limit. Nature 2017, 546, 270–273. [Google Scholar] [CrossRef] [PubMed] [Green Version]
- Gong, C.; Li, L.; Li, Z.; Ji, H.; Stern, A.; Xia, Y.; Cao, T.; Bao, W.; Wang, C.; Wang, Y.; et al. Discovery of intrinsic ferromagnetism in two-dimensional van der Waals crystals. Nature 2017, 546, 265–269. [Google Scholar] [CrossRef] [PubMed] [Green Version]
- Gong, C.; Zhang, X. Two-dimensional magnetic crystals and emergent heterostructure devices. Science 2019, 363, 706. [Google Scholar] [CrossRef] [PubMed]
- Jiang, X.; Liu, Q.; Xing, J.; Liu, N.; Guo, Y.; Liu, Z.; Zhao, J. Recent progress on 2D magnets: Fundamental mechanism, structural design and modification. Appl. Phys. Rev. 2021, 8, 031305. [Google Scholar] [CrossRef]
- Gibertini, M.; Koperski, M.; Morpurgo, A.F.; Novoselov, K.S. Magnetic 2D materials and heterostructures. Nat. Nanotechnol. 2019, 14, 408–419. [Google Scholar] [CrossRef] [Green Version]
- Chen, W.; Sun, Z.; Wang, Z.; Gu, L.; Xu, X.; Wu, S.; Gao, C. Direct observation of van der Waals stacking–dependent interlayer magnetism. Science 2019, 366, 983. [Google Scholar] [CrossRef] [Green Version]
- Burch, K.S.; Mandrus, D.; Park, J.-G. Magnetism in two-dimensional van der Waals materials. Nature 2018, 563, 47–52. [Google Scholar] [CrossRef]
- Huang, P.; Zhang, P.; Xu, S.; Wang, H.; Zhang, X.; Zhang, H. Recent advances in two-dimensional ferromagnetism: Materials synthesis, physical properties and device applications. Nanoscale 2020, 12, 2309–2327. [Google Scholar] [CrossRef]
- Gao, Y.; Yin, Q.; Wang, Q.; Li, Z.; Cai, J.; Zhao, T.; Lei, H.; Wang, S.; Zhang, Y.; Shen, B. Spontaneous (Anti)meron Chains in the Domain Walls of van der Waals Ferromagnetic Fe5-xGeTe2. Adv. Mater. 2020, 32, 2005228. [Google Scholar] [CrossRef]
- Zhang, H.; Yang, W.; Ning, Y.; Xu, X. High-temperature and multichannel quantum anomalous Hall effect in pristine and alkali–metal-doped CrBr3 monolayers. Nanoscale 2020, 12, 13964–13972. [Google Scholar] [CrossRef]
- Wang, X.; Tang, J.; Xia, X.; He, C.; Zhang, J.; Liu, Y.; Wan, C.; Fang, C.; Guo, C.; Yang, W.; et al. Current-driven magnetization switching in a van der Waals ferromagnet Fe3GeTe2. Sci. Adv. 2019, 5, eaaw8904. [Google Scholar] [CrossRef] [PubMed] [Green Version]
- Wu, Y.F.; Zhu, M.Y.; Zhao, R.J.; Liu, X.J.; Zhao, Y.C.; Wei, H.X.; Zhang, J.Y.; Zheng, X.Q.; Shen, J.X.; Huang, H.; et al. The fabrication and physical properties of two-dimensional van der Waals heterostructures. Acta Phys. Sin. 2022, 71, 048502. [Google Scholar] [CrossRef]
- Shcherbakov, D.; Stepanov, P.; Weber, D.; Wang, Y.; Hu, J.; Zhu, Y.; Watanabe, K.; Taniguchi, T.; Mao, Z.; Windl, W.; et al. Raman Spectroscopy, Photocatalytic Degradation, and Stabilization of Atomically Thin Chromium Tri-iodide. Nano Lett. 2018, 18, 4214–4219. [Google Scholar] [CrossRef] [PubMed]
- Wang, X.; Sun, Y.; Liu, K. Chemical and structural stability of 2D layered materials. 2D Mater. 2019, 6, 042001. [Google Scholar] [CrossRef]
- Tu, Z.; Xie, T.; Lee, Y.; Zhou, J.; Admasu, A.S.; Gong, Y.; Valanoor, N.; Cumings, J.; Cheong, S.-W.; Takeuchi, I.; et al. Ambient effect on the Curie temperatures and magnetic domains in metallic two-dimensional magnets. NPJ 2D Mater. Appl. 2021, 5, 62. [Google Scholar] [CrossRef]
- Kim, S.; Lee, J.; Jin, G.; Jo, M.-H.; Lee, C.; Ryu, S. Crossover between Photochemical and Photothermal Oxidations of Atomically Thin Magnetic Semiconductor CrPS4. Nano Lett. 2019, 19, 4043–4051. [Google Scholar] [CrossRef]
- Alghamdi, M.; Lohmann, M.; Li, J.; Jothi, P.R.; Shao, Q.; Aldosary, M.; Su, T.; Fokwa, B.P.T.; Shi, J. Highly Efficient Spin–Orbit Torque and Switching of Layered Ferromagnet Fe3GeTe2. Nano Lett. 2019, 19, 4400–4405. [Google Scholar] [CrossRef] [Green Version]
- Frisenda, R.; Navarro-Moratalla, E.; Gant, P.; Pérez De Lara, D.; Jarillo-Herrero, P.; Gorbachev, R.V.; Castellanos-Gomez, A. Recent progress in the assembly of nanodevices and van der Waals heterostructures by deterministic placement of 2D materials. Chem. Soc. Rev. 2018, 47, 53–68. [Google Scholar] [CrossRef] [Green Version]
- Gish, J.T.; Lebedev, D.; Stanev, T.K.; Jiang, S.; Georgopoulos, L.; Song, T.W.; Lim, G.; Garvey, E.S.; Valdman, L.; Balogun, O.; et al. Ambient-Stable Two-Dimensional CrI3 via Organic-Inorganic Encapsulation. ACS Nano 2021, 15, 10659–10667. [Google Scholar] [CrossRef]
- Son, J.; Son, S.; Park, P.; Kim, M.; Tao, Z.; Oh, J.; Lee, T.; Lee, S.; Kim, J.; Zhang, K.; et al. Air-Stable and Layer-Dependent Ferromagnetism in Atomically Thin van der Waals CrPS4. ACS Nano 2021, 15, 16904–16912. [Google Scholar] [CrossRef]
- Galbiati, M.; Zatko, V.; Godel, F.; Hirschauer, P.; Vecchiola, A.; Bouzehouane, K.; Collin, S.; Servet, B.; Cantarero, A.; Petroff, F.; et al. Very Long Term Stabilization of a 2D Magnet down to the Monolayer for Device Integration. ACS Appl. Electron. Mater. 2020, 2, 3508–3514. [Google Scholar] [CrossRef]
- Li, B.; Wan, Z.; Wang, C.; Chen, P.; Huang, B.; Cheng, X.; Qian, Q.; Li, J.; Zhang, Z.; Sun, G.; et al. Van der Waals epitaxial growth of air-stable CrSe2 nanosheets with thickness-tunable magnetic order. Nat. Mater. 2021, 20, 818–825. [Google Scholar] [CrossRef] [PubMed]
- Song, T.; Cai, X.; Tu, M.W.-Y.; Zhang, X.; Huang, B.; Wilson, N.P.; Seyler, K.L.; Zhu, L.; Taniguchi, T.; Watanabe, K.; et al. Giant tunneling magnetoresistance in spin-filter van der Waals heterostructures. Science 2018, 360, 1214–1218. [Google Scholar] [CrossRef] [PubMed] [Green Version]
- Yu, W.; Li, J.; Herng, T.S.; Wang, Z.; Zhao, X.; Chi, X.; Fu, W.; Abdelwahab, I.; Zhou, J.; Dan, J.; et al. Chemically Exfoliated VSe2 Monolayers with Room-Temperature Ferromagnetism. Adv. Mater. 2019, 31, 1903779. [Google Scholar] [CrossRef] [PubMed]
- Kratochvílová, M.; Uhlířová, K.; Míšek, M.; Holý, V.; Zázvorka, J.; Veis, M.; Pospíšil, J.; Son, S.; Park, J.G.; Sechovský, V. The surface degradation and its impact on the magnetic properties of bulk VI3. Mater. Chem. Phys. 2022, 278, 125590. [Google Scholar] [CrossRef]
- Abramchuk, M.; Jaszewski, S.; Metz, K.R.; Osterhoudt, G.B.; Wang, Y.; Burch, K.S.; Tafti, F. Controlling Magnetic and Optical Properties of the van der Waals Crystal CrCl3-xBrx via Mixed Halide Chemistry. Adv. Mater. 2018, 30, 1801325. [Google Scholar] [CrossRef]
- Zomer, P.J.; Guimaraes, M.H.D.; Brant, J.C.; Tombros, N.; van Wees, B.J. Fast pick up technique for high quality heterostructures of bilayer graphene and hexagonal boron nitride. Appl. Phys. Lett. 2014, 105, 013101. [Google Scholar] [CrossRef] [Green Version]
- Kozlenko, D.P.; Lis, O.N.; Kichanov, S.E.; Lukin, E.V.; Belozerova, N.M.; Savenko, B.N. Spin-induced negative thermal expansion and spin–phonon coupling in van der Waals material CrBr3. NPJ Quantum Mater. 2021, 6, 19. [Google Scholar] [CrossRef]
- Wang, H.; Eyert, V.; Schwingenschlogl, U. Electronic structure and magnetic ordering of the semiconducting chromium trihalides CrCl3, CrBr3, and CrI3. J. Phys. Condens. Matter 2011, 23, 116003. [Google Scholar] [CrossRef]
- Zhang, Z.; Shang, J.; Jiang, C.; Rasmita, A.; Gao, W.; Yu, T. Direct Photoluminescence Probing of Ferromagnetism in Monolayer Two-Dimensional CrBr3. Nano Lett. 2019, 19, 3138–3142. [Google Scholar] [CrossRef] [Green Version]
- Grönke, M. Synthesis and Characterization of Layered Transition metal Trihalides MCl₃ (M = Ru, Mo, Ti, Cr) and CrX₃ (X = Cl, Br, I). Ph.D. Thesis, BTU Cottbus-Senftenberg, Cottbus, Germany, 2020. [Google Scholar] [CrossRef]
- Groenke, M.; Buschbeck, B.; Schmidt, P.; Valldor, M.; Oswald, S.; Hao, Q.; Lubk, A.; Wolf, D.; Steiner, U.; Buechner, B.; et al. Chromium Trihalides CrX3 (X = Cl, Br, I): Direct Deposition of Micro- and Nanosheets on Substrates by Chemical Vapor Transport. Adv. Mater. Interfaces 2019, 6, 1901410. [Google Scholar] [CrossRef] [Green Version]





Publisher’s Note: MDPI stays neutral with regard to jurisdictional claims in published maps and institutional affiliations. |
© 2022 by the authors. Licensee MDPI, Basel, Switzerland. This article is an open access article distributed under the terms and conditions of the Creative Commons Attribution (CC BY) license (https://creativecommons.org/licenses/by/4.0/).
Share and Cite
Wu, Y.; Zhu, M.; Zhao, R.; Liu, X.; Shen, J.; Huang, H.; Shen, S.; Zhang, L.; Zhang, J.; Zheng, X.; et al. Degradation Effect and Magnetoelectric Transport Properties in CrBr3 Devices. Materials 2022, 15, 3007. https://doi.org/10.3390/ma15093007
Wu Y, Zhu M, Zhao R, Liu X, Shen J, Huang H, Shen S, Zhang L, Zhang J, Zheng X, et al. Degradation Effect and Magnetoelectric Transport Properties in CrBr3 Devices. Materials. 2022; 15(9):3007. https://doi.org/10.3390/ma15093007
Chicago/Turabian StyleWu, Yanfei, Mengyuan Zhu, Ruijie Zhao, Xinjie Liu, Jianxin Shen, He Huang, Shipeng Shen, Liyuan Zhang, Jingyan Zhang, Xinqi Zheng, and et al. 2022. "Degradation Effect and Magnetoelectric Transport Properties in CrBr3 Devices" Materials 15, no. 9: 3007. https://doi.org/10.3390/ma15093007
APA StyleWu, Y., Zhu, M., Zhao, R., Liu, X., Shen, J., Huang, H., Shen, S., Zhang, L., Zhang, J., Zheng, X., & Wang, S. (2022). Degradation Effect and Magnetoelectric Transport Properties in CrBr3 Devices. Materials, 15(9), 3007. https://doi.org/10.3390/ma15093007
