Evaluation of Rheological and Anti-Aging Properties of TPU/Nano-TiO2 Composite-Modified Asphalt Binder
Abstract
:1. Introduction
2. Materials and Methods
2.1. Materials
2.1.1. Base Asphalt
2.1.2. Thermoplastic Polyurethane Elastomer (TPU)
2.1.3. Nano-TiO2
2.2. Test Methods
2.2.1. Preparation Method of Nano-TiO2/TPU Composite-Modified Asphalt
2.2.2. Ultraviolet Aging Test Method
2.3. Experiment Method
2.3.1. DSR Test
2.3.2. BBR Test
2.3.3. FTIR Test
3. Results
3.1. High-Temperature Performance
3.1.1. Complex Modulus, G*, and Phase Angle, δ
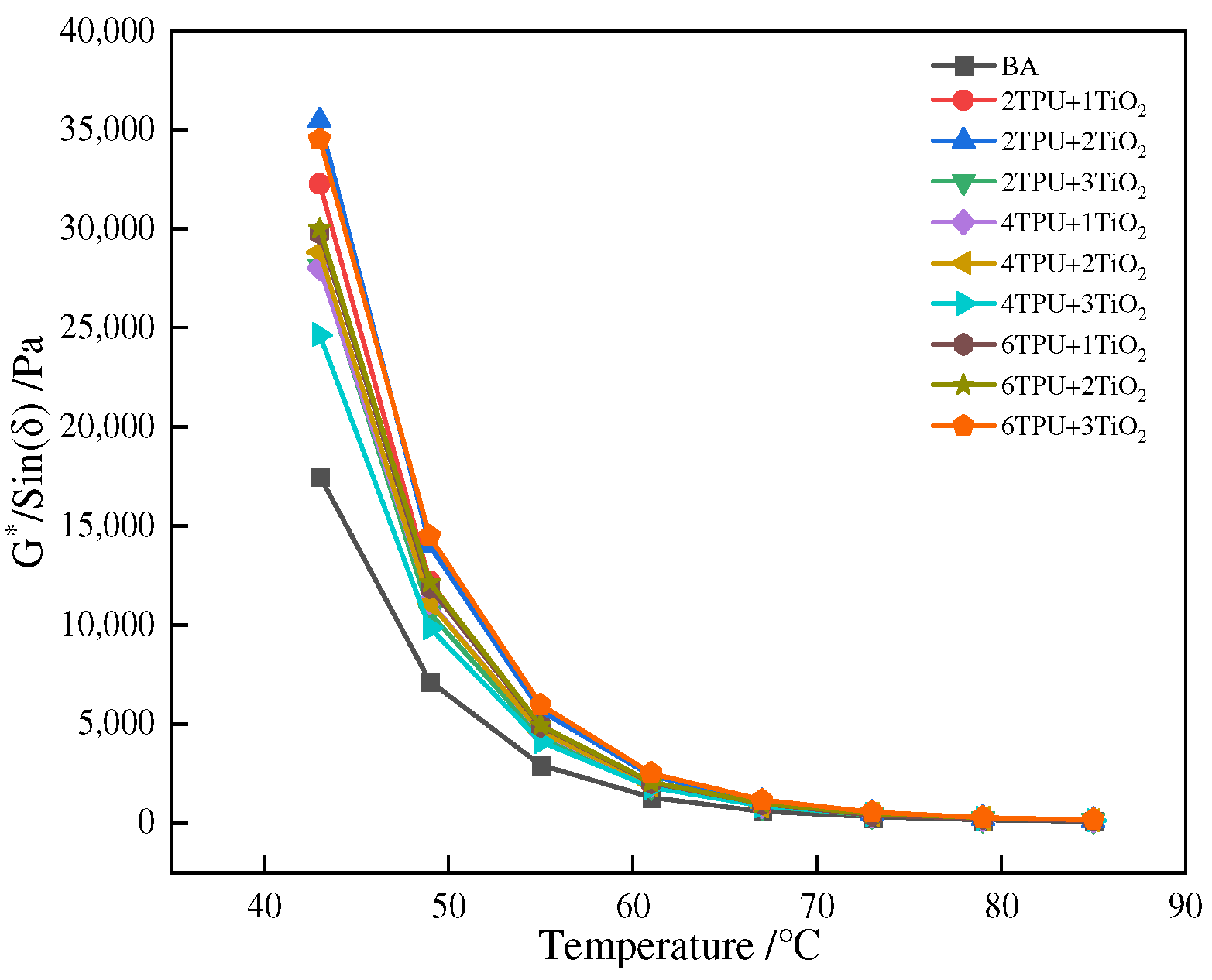
3.1.2. Rutting Factor, G*/Sinδ
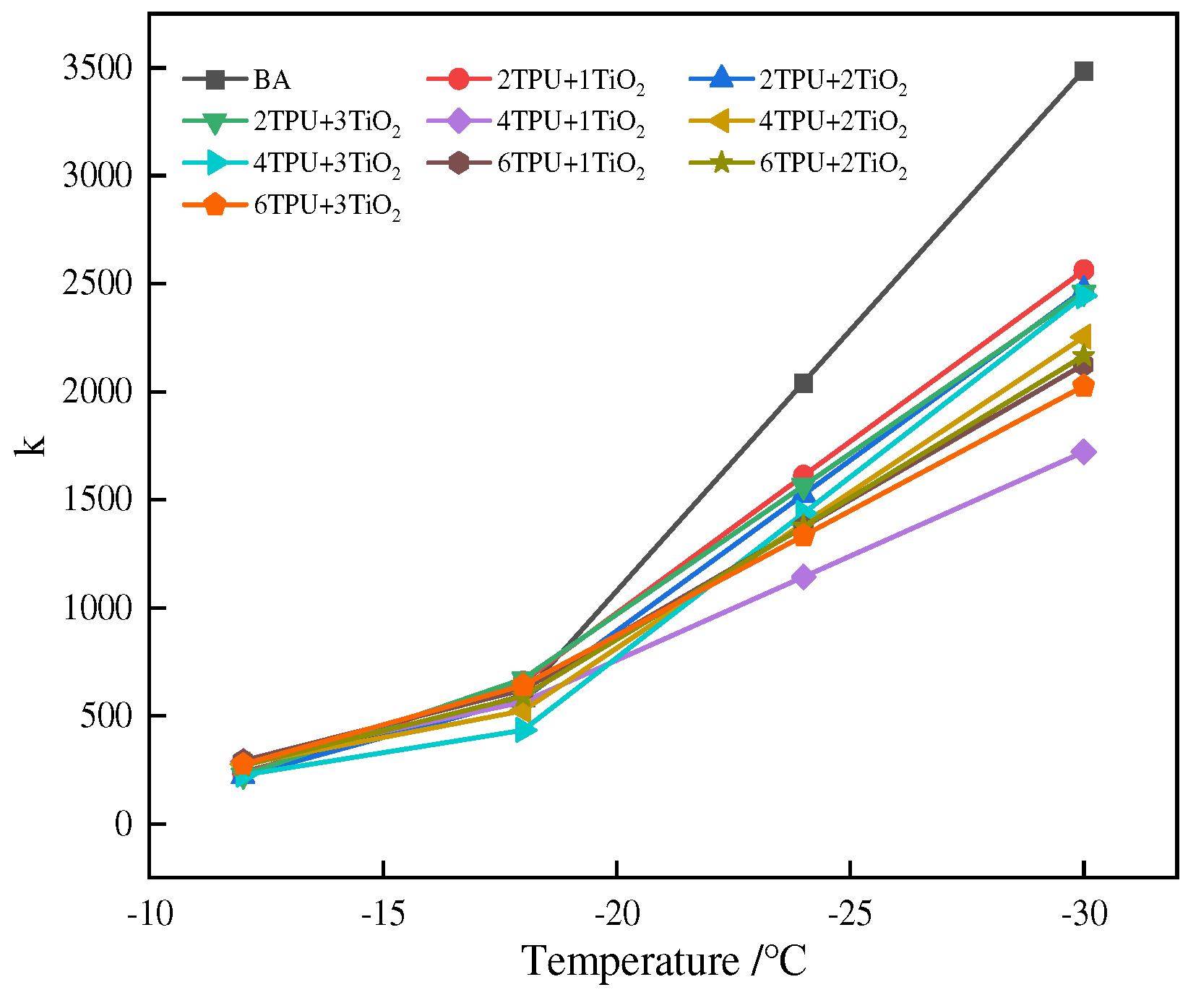
3.2. Low-Temperature Performance
3.3. An Evaluation of the Anti-Aging Performance of Asphalt Based on CMI of DSR
3.4. Modification Mechanism and Anti-Ultraviolet Aging Mechanism
3.4.1. Modification Mechanism Analysis
3.4.2. Anti-Ultraviolet Aging Mechanism
4. Conclusions
- (1)
- TPU and nano-TiO2 can have a very good synergistic effect on asphalt, and each exerts its performance advantages. Nano-TiO2 plays a leading role in improving the high-temperature stability of asphalt binders. However, in the process of improving the low-temperature crack resistance of asphalt binders, TPU plays a leading role.
- (2)
- Adding an appropriate amount of nano-TiO2 to asphalt can inhibit the degradation of TPU, and improve the UV aging resistance of modified asphalt by inhibiting the formation of carbonyl and sulfoxide groups. Therefore, when the TPU content is 4% and the nano-titanium dioxide content is 1%, the use efficiency of asphalt is the highest.
Author Contributions
Funding
Institutional Review Board Statement
Informed Consent Statement
Data Availability Statement
Conflicts of Interest
References
- Jin, J.; Xiao, T.; Zheng, J.; Liu, R.; Qian, G.; Xie, J.; Wei, H.; Zhang, J.; Liu, H. Preparation and thermal properties of encapsulated ceramsite-supported phase change materials used in asphalt pavements. Constr. Build. Mater. 2018, 190, 235–245. [Google Scholar] [CrossRef]
- Jin, J.; Tan, Y.; Liu, R.; Zheng, J.; Zhang, J. Synergy effect of attapulgite, rubber, and diatomite on organic montmorillonite-modified asphalt. J. Mater. Civ. Eng. 2019, 31, 04018388. [Google Scholar] [CrossRef]
- Sheng, X.; Wang, M.; Xu, T.; Chen, J. Preparation, properties and modification mechanism of polyurethane modified emulsified asphalt. Constr. Build. Mater. 2018, 189, 375–383. [Google Scholar] [CrossRef]
- Peng, C.; Huang, S.; You, Z.; Xu, F.; You, L.; Ouyang, H.; Li, T.; Guo, C.; Ma, H.; Chen, P. Effect of a lignin-based polyurethane on adhesion properties of asphalt binder during UV aging process. Constr. Build. Mater. 2020, 247, 118547. [Google Scholar] [CrossRef]
- Sun, M.; Zheng, M.; Qu, G.; Yuan, K.; Bi, Y.; Wang, J. Performance of polyurethane modified asphalt and its mixtures. Constr. Build. Mater. 2018, 191, 386–397. [Google Scholar] [CrossRef]
- Cong, P.; Liu, N.; Tian, Y.; Zhang, Y. Effects of long-term aging on the properties of asphalt binder containing diatoms. Constr. Build. Mater. 2016, 123, 534–540. [Google Scholar] [CrossRef]
- Vizzari, D.; Chailleux, E.; Gennesseaux, E.; Lavaud, S.; Vignard, N. Viscoelastic characterisation of transparent binders for application on solar roads. Road Mater. Pavement Des. 2019, 20 (Suppl. 1), S112–S126. [Google Scholar] [CrossRef]
- Cong, L.; Yang, F.; Guo, G.; Ren, M.; Shi, J.; Tan, L. The use of polyurethane for asphalt pavement engineering applications: A state-of-the-art review. Constr. Build. Mater. 2019, 225, 1012–1025. [Google Scholar] [CrossRef]
- Yu, L.; Wang, R.; Skirrow, R. The application of polyurethane grout in roadway settlements issues. Geo Montr. 2013. [Google Scholar]
- Jin, X.; Guo, N.; You, Z.; Wang, L.; Wen, Y.; Tan, Y. Rheological properties and micro-characteristics of polyurethane composite modified asphalt. Constr. Build. Mater. 2020, 234, 117395. [Google Scholar] [CrossRef]
- Jia, M.; Zhang, Z.; Liu, H.; Peng, B.; Zhang, H.; Lv, W.; Zhang, Q.; Mao, Z. The synergistic effect of organic montmorillonite and thermoplastic polyurethane on properties of asphalt binder. Constr. Build. Mater. 2019, 229, 116867. [Google Scholar] [CrossRef]
- Bazmara, B.; Tahersima, M.; Behravan, A. Influence of thermoplastic polyurethane and synthesized polyurethane additive in performance of asphalt pavements. Constr. Build. Mater. 2018, 166, 1–11. [Google Scholar] [CrossRef]
- Yao, Z.P.; Li, M.; Liu, W.; Chen, Z.B.; Zhang, R.H. A Study of Polyurethane Rubber Composite Modified Asphalt Mixture; Advanced Materials Research; Trans Tech Publications Ltd.: Bachs, Switzerland, 2014; pp. 324–328. [Google Scholar]
- Zaumanis, M.; Mallick, R.B.; Frank, R. Evaluation of different recycling agents for restoring aged asphalt binder and performance of 100% recycled asphalt. Mater. Struct. 2015, 48, 2475–2488. [Google Scholar] [CrossRef]
- Yu, H.; Bai, X.; Qian, G.; Wei, H.; Gong, X.; Jin, J.; Li, Z. Impact of ultraviolet radiation on the aging properties of SBS-modified asphalt binders. Polymers 2019, 11, 1111. [Google Scholar] [CrossRef] [Green Version]
- Yu, R.; Zhu, X.; Zhang, M.; Fang, C. Investigation on the Short-Term Aging-Resistance of Thermoplastic Polyurethane-Modified Asphalt Binders. Polymers 2018, 10, 1189. [Google Scholar] [CrossRef] [Green Version]
- Fang, J.; Tu, J. Effect of ultraviolet (UV) aging on rheology properties and microstructure of polyurethane (PU) modified asphalt. Mater. Res. Express 2019, 6, 125318. [Google Scholar] [CrossRef]
- Xu, X.; Guo, H.; Wang, X.; Zhang, M.; Wang, Z.; Yang, B. Physical properties and anti-aging characteristics of asphalt modified with nano-zinc oxide powder. Constr. Build. Mater. 2019, 224, 732–742. [Google Scholar] [CrossRef]
- Wang, R.; Yue, M.; Xiong, Y.; Yue, J. Experimental study on mechanism, aging, rheology and fatigue performance of carbon nanomaterial/SBS-modified asphalt binders. Constr. Build. Mater. 2021, 268, 121189. [Google Scholar] [CrossRef]
- Chen, Z.; Zhang, D.; Zhang, Y.; Zhang, H.; Zhang, S. Influence of multi-dimensional nanomaterials composite form on thermal and ultraviolet oxidation aging resistances of SBS modified asphalt. Constr. Build. Mater. 2021, 273, 122054. [Google Scholar] [CrossRef]
- Hassan, A.A.; Al-zobai, K.M.M. Chemical oxidation for oil separation from oilfield produced water under UV irradiation using Titanium dioxide as a nano-photocatalyst by batch and continuous techniques. Int. J. Chem. Eng. 2019, 2019, 9810728. [Google Scholar] [CrossRef]
- Moma, J.; Baloyi, J. Modified titanium dioxide for photocatalytic applications. In Photocatalysts—Applications and Attributes; InTech: London, UK, 2019; Volume 18. [Google Scholar] [CrossRef] [Green Version]
- JTGF40-2004; Standard Specification for Construction and Acceptance of Highway Asphalt Pavement. China Communications Press Co., Ltd.: Beijing, China, 2004.
- Jin, J.; Xiao, T.; Tan, Y.; Zheng, J.; Liu, R.; Qian, G.; Wei, H.; Zhang, J. Effects of TiO2 pillared montmorillonite nanocomposites on the properties of asphalt with exhaust catalytic capacity. J. Clean. Prod. 2018, 205, 339–349. [Google Scholar] [CrossRef]
- JTG E20-2011; Standard Test Methods of Bitumen and Bituminous Mixtures for Highway Engineering. China Communications Press Co., Ltd.: Beijing, China, 2011.
- Hu, Y. Experimental Study on Effect of Freeze-Thaw Cycle and ULTRAVIOLET Aging on Low Temperature Performance of Asphalt Mixture; Northeast Forestry University: Harbin, China, 2018. [Google Scholar]
- Zhang, H.; Chen, Z.; Xu, G.; Shi, C. Physical, rheological and chemical characterization of aging behaviors of thermochromic asphalt binder. Fuel 2018, 211, 850–858. [Google Scholar] [CrossRef]
- Xu, C.; Zhang, Z.; Zhao, F.; Liu, F.; Wang, J. Improving the performance of RET modified asphalt with the addition of polyurethane prepolymer (PUP). Constr. Build. Mater. 2019, 206, 560–575. [Google Scholar] [CrossRef]
- Alamawi, M.Y.; Khairuddin, F.H.; Yusoff, N.I.M.; Badri, K.; Ceylan, H. Investigation on physical, thermal and chemical properties of palm kernel oil polyol bio-based binder as a replacement for bituminous binder. Constr. Build. Mater. 2019, 204, 122–131. [Google Scholar] [CrossRef]
- Mouillet, V.; Farcas, F.; Besson, S. Ageing by UV radiation of an elastomer modified bitumen. Fuel 2008, 87, 2408–2419. [Google Scholar] [CrossRef]
- Mouillet, V.; Farcas, F.; Chailleux, E.; Sauger, L. Evolution of bituminous mix behaviour submitted to UV rays in laboratory compared to field exposure. Mater. Struct. 2014, 47, 1287–1299. [Google Scholar] [CrossRef]
- Dong, F.; Yu, X.; Liu, S.; Wei, J. Rheological behaviors and microstructure of SBS/CR composite modified hard asphalt. Constr. Build. Mater. 2016, 115, 285–293. [Google Scholar] [CrossRef]












| Technical Index | Test Value | Requirements of The Specification |
|---|---|---|
| 25 °C penetration/0.1 mm Softening point/°C | 80.5 47 | 80–100 ≥44 |
| 5 °C ductility/cm | 7.8 | |
| Flashpoint/°C | 322 | ≥245 |
| Technical Index | Test Data | Test Method (ASTM) |
|---|---|---|
| Density/(g/cm³) | 1.13 | D792 |
| Hardness/ShoreA | 95 | D2240 |
| Tensile strength/(Mpa) | 35 | D412 |
| Elongation/% | 600 | D412 |
| Tear strength/(kg/cm) | 130 | D0624 |
| Performance Index | Particle Size | Purity | Density | Crystal Form |
|---|---|---|---|---|
| Test data | 5 nm | 99.9% | 3.9 g/cm³ | anatase |
Publisher’s Note: MDPI stays neutral with regard to jurisdictional claims in published maps and institutional affiliations. |
© 2022 by the authors. Licensee MDPI, Basel, Switzerland. This article is an open access article distributed under the terms and conditions of the Creative Commons Attribution (CC BY) license (https://creativecommons.org/licenses/by/4.0/).
Share and Cite
Ji, H.; He, D.; Li, B.; Lu, G.; Wang, C. Evaluation of Rheological and Anti-Aging Properties of TPU/Nano-TiO2 Composite-Modified Asphalt Binder. Materials 2022, 15, 3000. https://doi.org/10.3390/ma15093000
Ji H, He D, Li B, Lu G, Wang C. Evaluation of Rheological and Anti-Aging Properties of TPU/Nano-TiO2 Composite-Modified Asphalt Binder. Materials. 2022; 15(9):3000. https://doi.org/10.3390/ma15093000
Chicago/Turabian StyleJi, Haidong, Dongpo He, Bo Li, Guanzhong Lu, and Chenyu Wang. 2022. "Evaluation of Rheological and Anti-Aging Properties of TPU/Nano-TiO2 Composite-Modified Asphalt Binder" Materials 15, no. 9: 3000. https://doi.org/10.3390/ma15093000
APA StyleJi, H., He, D., Li, B., Lu, G., & Wang, C. (2022). Evaluation of Rheological and Anti-Aging Properties of TPU/Nano-TiO2 Composite-Modified Asphalt Binder. Materials, 15(9), 3000. https://doi.org/10.3390/ma15093000

