Microstructure, Mechanical and Tribological Properties of Si3N4/Mo-Laminated Composites
Abstract
:1. Introduction
2. Experimental
2.1. Materials
2.2. Test Procedure
3. Results and Discussion
3.1. Phase Composition and Microstructure
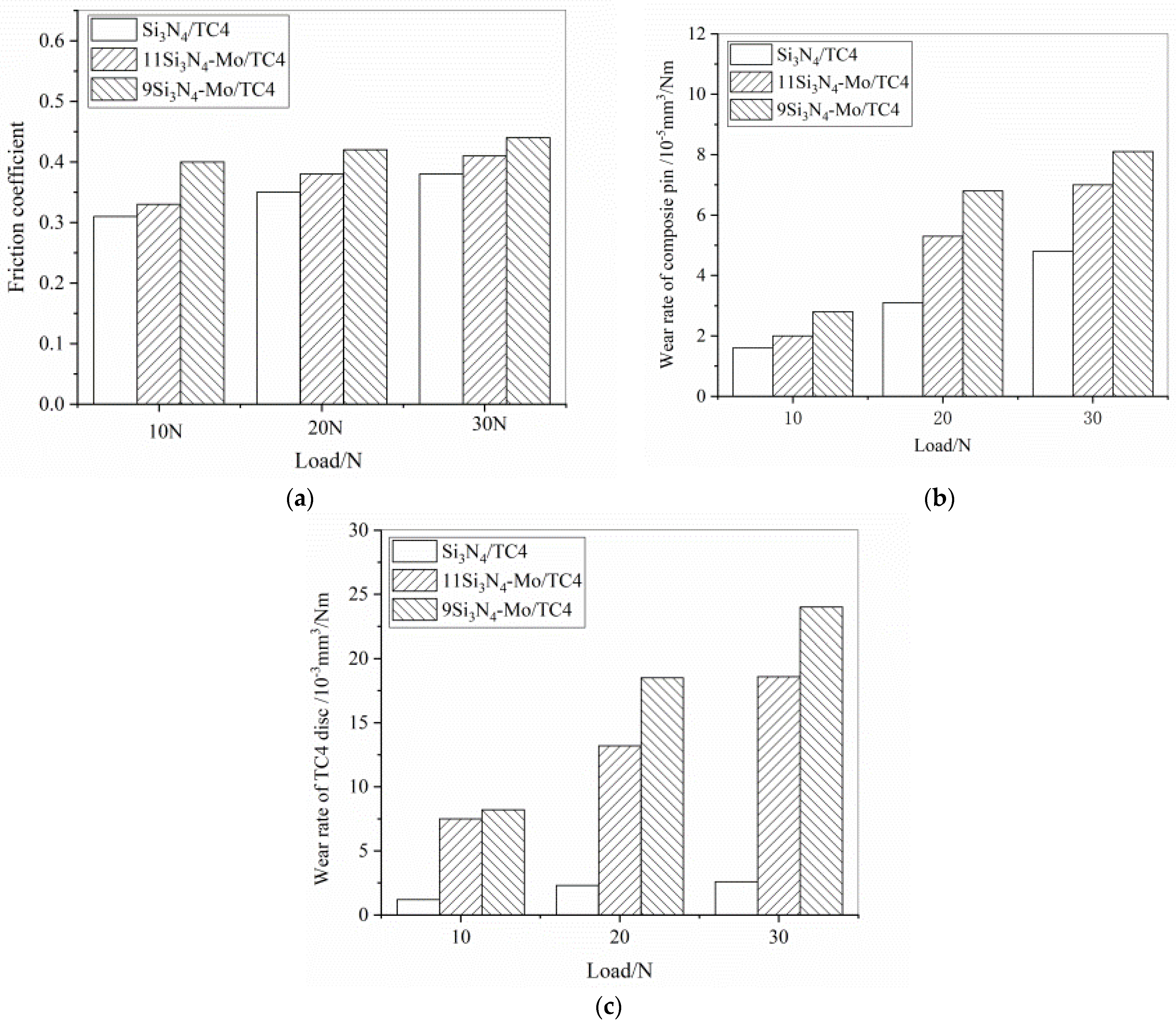
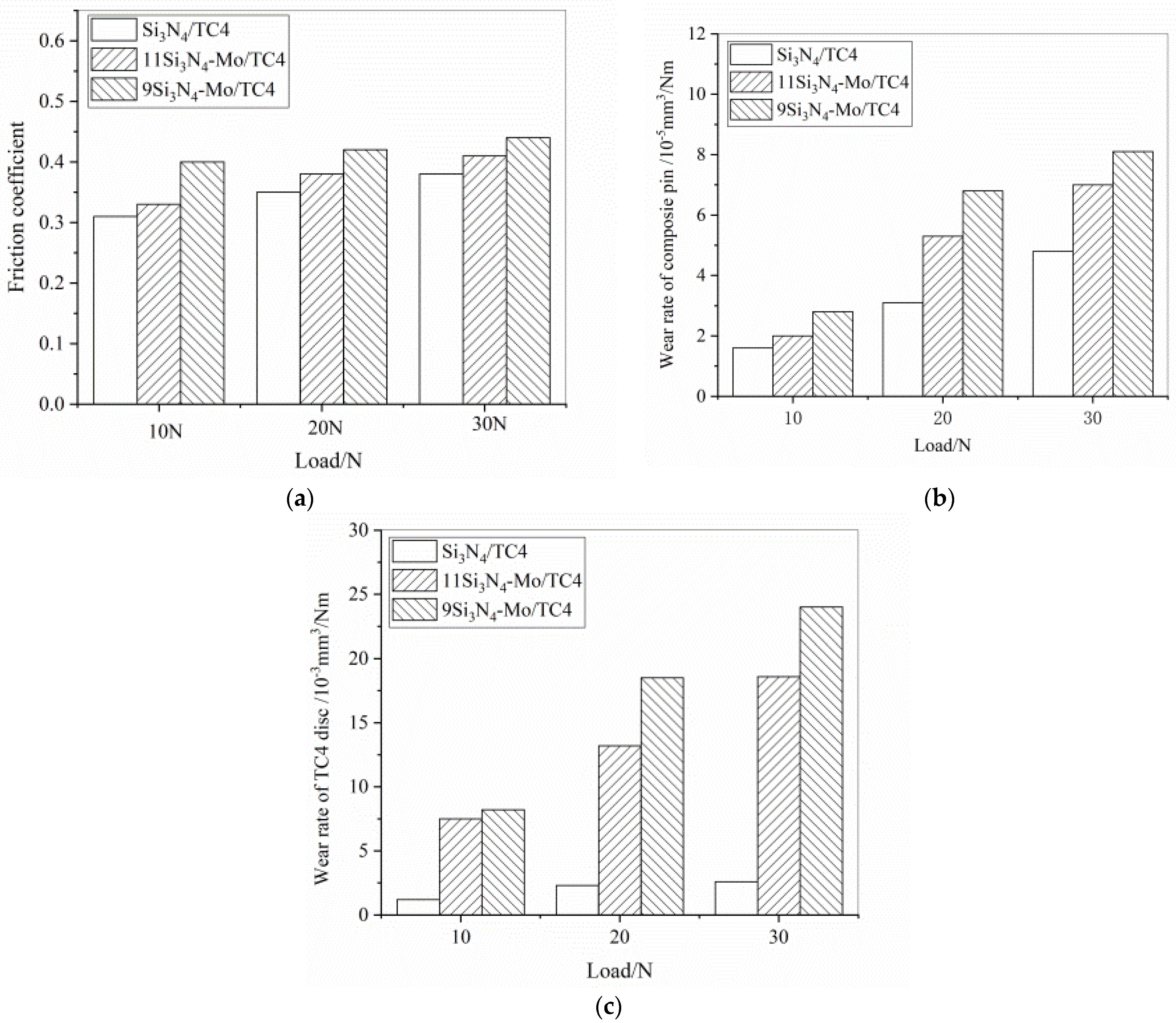
3.2. Mechanical and Tribological Properties
4. Conclusions
- (1)
- The transition layer from the ceramic matrix to Mo interface layer was Si3N4→MoSi2→Mo5Si3→Mo3Si→Mo. Meanwhile, the compounds including MoSi2, Mo5Si3 and Mo3Si were all the products of the reaction between the ceramic matrix and the metal interface layer. The transition layer was mainly composed of brittle phase Mo5Si3, which had a negative effect on the mechanical properties of laminated composite.
- (2)
- The ductility of the metal Mo layer and the residual stress between the ceramic matrix and the metal layer resulted in crack deflection and branching, as well as a higher fracture toughness for the laminated ceramic composite.
- (3)
- The incorporation of the Mo interface layer to the silicon nitride matrix degraded the tribological properties of the Si3N4 ceramic sliding against the TC4 in seawater. Meanwhile, with the increase in load, the friction coefficients and wear rates both also increased.
Author Contributions
Funding
Institutional Review Board Statement
Informed Consent Statement
Data Availability Statement
Acknowledgments
Conflicts of Interest
References
- Zhao, B.; Khader, I.; Raga, R.; Degenhardt, U.; Kailer, A. Tribological behavior of three silicon nitride ceramics in dry sliding contact against Inconel 718 over a wide range of velocities. Wear 2020, 448, 203206. [Google Scholar] [CrossRef]
- Vivekananthan, M.; Ahilan, C.; Sakthivelu, S.; Saravanakumar, M. A primary study of density and compressive strength of the silicon nitride and titanium nitride ceramic composite. Mater. Today Proc. 2020, 33, 2741–2745. [Google Scholar] [CrossRef]
- Lakhdar, Y.; Tuck, C.; Binner, J.; Terry, A.; Goodridge, R. Additive manufacturing of advanced ceramic materials. Prog. Mater. Sci. 2020, 116, 100736. [Google Scholar] [CrossRef]
- Li, Q.; Xiao, G.; Chen, Z.; Guo, N.; Yi, M.; Zhang, J.; Xu, C. Self-lubricating ceramic tool materials synergistically toughened by nano-coated particles and silicon carbide whiskers. Int. J. Refract. Met. Hard Mater. 2021, 98, 105560. [Google Scholar] [CrossRef]
- Riley, F.L. Silicon nitride and related materials. J. Am. Ceram. Soc. 2000, 83, 245–265. [Google Scholar] [CrossRef]
- Klemm, H. Silicon Nitride for High-Temperature Applications. J. Am. Ceram. Soc. 2010, 93, 1501–1522. [Google Scholar] [CrossRef]
- Dudzinski, D.; Devillez, A.; Moufki, A.; Larrouquère, D.; Zerrouki, V.; Vigneau, J. A review of developments towards dry and high speed machining of Inconel 718 alloy. Int. J. Mach. Tools Manuf. 2004, 44, 439–456. [Google Scholar] [CrossRef]
- Özdoğan, M.S.; Güngörmüş, M.; Çelik, A.; Topateş, G. Silicon nitride ceramic for all-ceramic dental restorations. Dent. Mater. J. 2020, 39, 1080–1086. [Google Scholar] [CrossRef]
- Wang, L.; Qi, Q.; Cai, P.; Zhang, H.; Yang, X.; Liu, X.; Jiao, Z.; Huang, Z. New route to improve the fracture toughness and flexural strength of Si3N4 ceramics by adding FeSi2. Scr. Mater. 2016, 126, 11–14. [Google Scholar] [CrossRef]
- Algharaibeh, S.; Wan, H.; Al-Fodeh, R.; Ireland, A.J.; Zhang, D.; Su, B. Fabrication and mechanical properties of biomimetic nacre-like ceramic/polymer composites for chairside CAD/CAM dental restorations. Dent. Mater. 2021, 38, 121–132. [Google Scholar] [CrossRef]
- Tan, G.; Yu, Q.; Liu, Z.; Wang, X.; Zhang, M.; Liu, Y.; Zhang, Z.; Ritchie, R.O. Compression fatigue properties and damage mechanisms of a bioinspired nacre-like ceramic-polymer composite. Scr. Mater. 2021, 203, 114089. [Google Scholar] [CrossRef]
- Wu, X.; Meng, X.; Zhang, H. An experimental investigation of the dynamic fracture behavior of 3D printed nacre-like composites. J. Mech. Behav. Biomed. Mater. 2020, 112, 104068. [Google Scholar] [CrossRef] [PubMed]
- Wei, Z.; Xu, X. Gradient design of bio-inspired nacre-like composites for improved impact resistance. Compos. Part B Eng. 2021, 215, 108830. [Google Scholar] [CrossRef]
- Smith, B.L.; Schäffer, T.; Viani, M.B.; Thompson, J.B.; Frederick, N.A.; Kindt, J.H.; Belcher, A.M.; Stucky, G.D.; Morse, D.E.; Hansma, P.K. Molecular mechanistic origin of the toughness of natural adhesives, fibres and composites. Nature 1999, 399, 761–763. [Google Scholar] [CrossRef]
- Zuo, K.H.; Jiang, D.L.; Lin, Q.L.; Zeng, Y.-P. Improving the mechanical properties of Al2O3/Ni laminated composites by adding Ni particles in Al2O3 layers. Mater. Sci. Eng. A 2007, 443, 296–300. [Google Scholar] [CrossRef]
- Wu, C.; Li, Y.; Wang, Z. Evolution and mechanism of crack propagation method of interface in laminated Ti/Al2O3 composite. J. Alloys Compd. 2016, 665, 37–41. [Google Scholar] [CrossRef]
- Wu, C.; Li, Y.; Xie, S. Micro-structure, mechanical properties and comparison of monolithic and laminated Ti-B4C composite with Al doped. J. Alloys Compd. 2018, 733, 1–7. [Google Scholar] [CrossRef]
- Zan, Q.; Wang, C.-A.; Huang, Y.; Zhao, S.; Li, C. Effect of geometrical factors on the mechanical properties of Si3N4/BN multilayer ceramics. Ceram. Int. 2004, 30, 441–446. [Google Scholar] [CrossRef]
- Balázsi, K.; Furkó, M.; Liao, Z.; Fogarassy, Z.; Medved, D.; Zschech, E.; Dusza, J. Graphene added multilayer ceramic sandwich (GMCS) composites: Structure, preparation and properties. J. Eur. Ceram. Soc. 2020, 40, 4792–4798. [Google Scholar] [CrossRef]
- Song, J.; Su, Y.; Fan, H.; Zhang, Y.; Hu, L. A novel design to produce high-strength and high-toughness alumina self-lubricated composites with enhanced thermal-shock resistance—Part I: Mechanical properties and thermal shock behavior of Al2O3/Mo-Al2O3 laminated composites. J. Eur. Ceram. Soc. 2017, 37, 213–221. [Google Scholar] [CrossRef]
- Li, Y.; Xiao, B.; Wang, G.; Sun, L.; Zheng, Q.; Liu, Z.; Gao, Y. Revealing the novel fracture mechanism of the interfaces of TiB2/Fe composite from a first principles investigation. Acta Mater. 2018, 156, 228–244. [Google Scholar] [CrossRef]
- Yeh-Liu, L.-K.; Hsu, S.-Y.; Chen, P.-Y.; Lee, J.-W.; Duh, J.-G. Improvement of CrMoN/SiNx coatings on mechanical and high temperature Tribological properties through biomimetic laminated structure design. Surf. Coat. Technol. 2020, 393, 125754. [Google Scholar] [CrossRef]
- Fan, H.; Hu, T.; Wan, H.; Zhang, Y.; Song, J.; Hu, L. Surface composition–lubrication design of Al2O3/Ni laminated composites—Part II: Tribological behavior of LaF3-doped MoS2 composite coating in a water environment. Tribol. Int. 2016, 96, 258–268. [Google Scholar] [CrossRef]
- Song, J.; Hu, L.; Qin, B.; Fan, H.; Zhang, Y. Fabrication and tribological behavior of Al2O3/MoS2–BaSO4 laminated composites doped with in situ formed BaMoO4. Tribol. Int. 2018, 118, 329–336. [Google Scholar] [CrossRef]
- Tarlazzi, A.; Roncari, E.; Pinasco, P.; Guicciardi, S.; Melandri, C.; Portu, G. Tribological behaviour of Al2O3/ZrO2-ZrO2 laminated composites. Wear 2000, 244, 29–40. [Google Scholar] [CrossRef]
- Hadad, M.; Blugan, G.; Kübler, J.; Rosset, E.; Rohr, L.; Michler, J. Tribological behaviour of Si3N4 and Si3N4–%TiN based composites and multi-layer laminates. Wear 2006, 260, 634–641. [Google Scholar] [CrossRef]
- Chen, W.; Shi, H.; Xin, H.; He, N.R.; Yang, W.; Gao, H. Friction and wear properties of Si3N4-hBN ceramic composites using different synthetic lubricants. Ceram. Int. 2018, 44, 16799–16808. [Google Scholar] [CrossRef]
- Chen, W. Microstructure, mechanical properties and friction/wear behavior of hot-pressed Si3N4/BN ceramic composites. Ceram. Silik 2019, 63, 1–10. [Google Scholar] [CrossRef] [Green Version]
- Chen, W.; Zhang, D.; Ai, X. Effect of load on the friction and wear characteristics of Si3N4-hBN ceramic composites sliding against steels. Ceram. Int. 2017, 43, 4379–4389. [Google Scholar] [CrossRef]
- Chen, W.; Hao, W.; Gao, D.; Wang, Z.; Zhao, Z.; Jia, J.; Li, H.; He, N. Tribological Behaviors of Si3N4-hBN against PEEK with Precorrosion in Seawater. Tribol. Trans. 2021, 64, 679–692. [Google Scholar] [CrossRef]
- Chen, W.; Zhao, Z.; Lou, R.; Li, H.; He, N. Study on self-derived products of nanometer lignin in silicon nitride ceramics during sintering process. Results Mater. 2021, 12, 100228. [Google Scholar] [CrossRef]
- Yang, S.; Ma, Q.; Wang, W.Z.; Jia, J.H. Effect of Mo content on mechanical and Tribological Properties of nickel base alloy. Chin. J. Nonferrous Met. 2017, 27, 2267–2275. [Google Scholar] [CrossRef]
- Wang, J.-Y.; Shan, Y.; Guo, H.; Li, B.; Wang, W.; Jia, J. Friction and Wear Characteristics of Hot-Pressed NiCr–Mo/MoO3/Ag Self-Lubrication Composites at Elevated Temperatures up to 900 °C. Tribol. Lett. 2015, 59, 48. [Google Scholar] [CrossRef]
- Fang, Y.; Zhang, Y.; Song, J.; Fan, H.; Hu, L. Influence of structural parameters on the tribological properties of Al2O3/Mo laminated nanocomposites. Wear 2014, 320, 152–160. [Google Scholar] [CrossRef]
- Yoon, J.-K.; Lee, J.-K.; Lee, K.-H.; Byun, J.-Y.; Kim, G.-H.; Hong, K.-T. Microstructure and growth kinetics of the Mo5Si3 and Mo3Si layers in MoSi2/Mo diffusion couple. Intermetallics 2003, 11, 687–696. [Google Scholar] [CrossRef]
- Balázsi, K.; Furkó, M.; Liao, Z.; Gluch, J.; Medved, D.; Sedlák, R.; Dusza, J.; Zschech, E. Porous sandwich ceramic of layered silicon nitride-zirconia composite with various multilayered graphene content. J. Alloys Compd. 2020, 832, 154984. [Google Scholar] [CrossRef]
- Sun, M.; Bai, Y.; Li, M.; Fan, S.; Cheng, L. Structural design and energy absorption mechanism of laminated SiC/BN ceramics. J. Eur. Ceram. Soc. 2018, 38, 3742–3751. [Google Scholar] [CrossRef]











| Number | Thickness Ratio of Si3N4 to Mo | Layer Number of Mo Layer | Molybdenum Mass Ratio (%) |
|---|---|---|---|
| 11SM | 11:1 | 7 | 24.7 |
| 9SM | 9:1 | 7 | 30.2 |
| Constituent | NaCl | Na2SO4 | MgCl2 | CaCl2 | SrCl2 | KCl | NaHCO3 | KBr | H3BO3 | NaF |
|---|---|---|---|---|---|---|---|---|---|---|
| Concentration (g·L−1) | 24.53 | 4.09 | 5.20 | 1.16 | 0.025 | 0.695 | 0.201 | 0.101 | 0.027 | 0.003 |
| Materials | S (J·K−1·mol−1) | H (KJ·mol−1) | Cp (J·K−1·mol−1) |
|---|---|---|---|
| Mo | 23.96 | 0 | 22.93 + 5.44 × 10−3 T |
| Si3N4 | 112.97 | −744.75 | 76.34 + 109.04 × 10−3 T − 6.54 × 105 T−2 |
| MoSi2 | 65.02 | −131.71 | 67.83 + 11.97 × 10−3 T − 6.57 × 105 T−2 |
| Mo5Si3 | 207.34 | −309.62 | 183.36 + 35.04 × 10−3 T − 12.00 × 105 T−2 |
| Mo3Si | 106.15 | −116.40 | 85.84 + 22.68 × 10−3 T − 0.32 × 105 T−2 |
| N2 | 191.5 | 0 | 27.86 + 4.27 × 10−3 T |
| Chemical Equation | |
|---|---|
| −255.21 | |
| −1873.38 | |
| −21.54 |
| Properties | Si3N4 | 11SM | 9SM |
|---|---|---|---|
| Vicker’s hardness (GPa) | 14.9 | 14.0 (ceramic matrix) | 14.6 (ceramic matrix) |
| Bending strength (MPa) | 818 | 275 | 330 |
| Fracture toughness (MPa·m1/2) | 8.50 | 10.7 | 11.2 |
Publisher’s Note: MDPI stays neutral with regard to jurisdictional claims in published maps and institutional affiliations. |
© 2022 by the authors. Licensee MDPI, Basel, Switzerland. This article is an open access article distributed under the terms and conditions of the Creative Commons Attribution (CC BY) license (https://creativecommons.org/licenses/by/4.0/).
Share and Cite
Li, H.; Chen, W.; Zhao, Z.; Wang, Z.; Zhang, C.; Gao, J.; Zhong, L. Microstructure, Mechanical and Tribological Properties of Si3N4/Mo-Laminated Composites. Materials 2022, 15, 2772. https://doi.org/10.3390/ma15082772
Li H, Chen W, Zhao Z, Wang Z, Zhang C, Gao J, Zhong L. Microstructure, Mechanical and Tribological Properties of Si3N4/Mo-Laminated Composites. Materials. 2022; 15(8):2772. https://doi.org/10.3390/ma15082772
Chicago/Turabian StyleLi, Huaqiang, Wei Chen, Ziqiang Zhao, Zhaoxun Wang, Chen Zhang, Jinghui Gao, and Lisheng Zhong. 2022. "Microstructure, Mechanical and Tribological Properties of Si3N4/Mo-Laminated Composites" Materials 15, no. 8: 2772. https://doi.org/10.3390/ma15082772
APA StyleLi, H., Chen, W., Zhao, Z., Wang, Z., Zhang, C., Gao, J., & Zhong, L. (2022). Microstructure, Mechanical and Tribological Properties of Si3N4/Mo-Laminated Composites. Materials, 15(8), 2772. https://doi.org/10.3390/ma15082772

