Thermal Stability, Optical Properties, and Gamma Shielding Properties of Tellurite Glass Modified with Potassium Chloride
Abstract
1. Introduction
2. Materials and Methods
2.1. Sample Preparation
2.2. Thermal Stability and Optical Properties
2.3. Radiation Shielding Parameters
3. Results and Discussion
3.1. Physical Parameters of the As-Synthesized Glasses
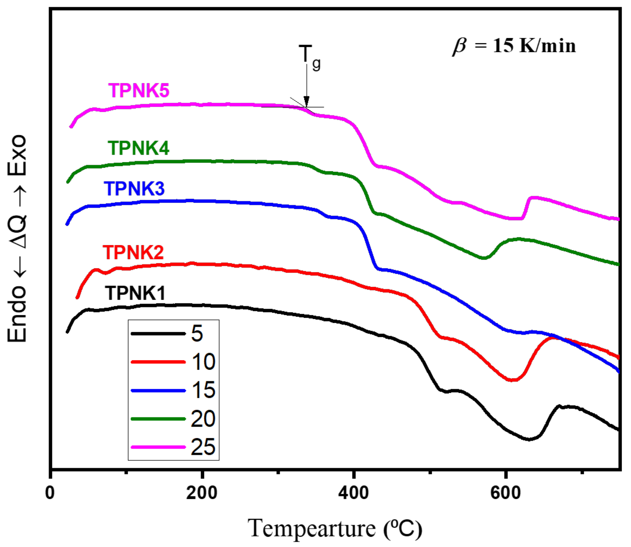
3.2. Thermal Characteristics
3.3. Optical Properties
3.4. Radiation Shielding Properties
4. Conclusions
Author Contributions
Funding
Institutional Review Board Statement
Informed Consent Statement
Data Availability Statement
Acknowledgments
Conflicts of Interest
References
- Tagiara, N.S.; Palles, D.; Simandiras, E.D.; Psycharis, V.; Kyritsis, A.; Kamitsos, E.I. Synthesis, thermal and structural properties of pure TeO2 glass and zinc-tellurite glasses. J. Non-Cryst. Solids 2017, 457, 116–125. [Google Scholar] [CrossRef]
- Weber, M.J. Science and technology of laser glass. J. Non-Cryst. Solids 1990, 123, 208–222. [Google Scholar] [CrossRef]
- Vogel, E.M.; Weber, M.J.; Krol, D. Nonlinear optical phenomena in glass. Phys. Chem. Glasses 1991, 32, 231–254. [Google Scholar]
- El-Mallawany, R.A.H. Tellurite Glasses Handbook: Physical Properties and Data; CRC Press: Boca Raton, FL, USA, 2002. [Google Scholar]
- Yousef, E.S.; Elokr, M.M.; Aboudeif, Y.M. Deduction of the Luminescence Parameters of Tellurium Oxide Based Glasses Doped with er 3+ Ions. Chalcogenide Lett. 2015, 12, 597–607. [Google Scholar]
- Kimura, K. Optical recording materials based on TeOx films. Jpn. J. Appl. Phys. 1989, 28, 810. [Google Scholar] [CrossRef]
- Nasu, H.; Matsushita, O.; Kamiya, K.; Kobayashi, H.; Kubodera, K. Third harmonic generation from Li2O–TiO2–TeO2 glasses. J. Non-Cryst. Solids 1990, 124, 275–277. [Google Scholar] [CrossRef]
- Murugan, G.S.; Evelyne, F.; Rodriguez, V.; Adamietz, F.; Couzi, M.; Buffeteau, T.; Coustumer, P.L. Temperature-assisted electrical poling of TeO2–Bi2O3–ZnO glasses for non-linear optical applications. J. Non-Cryst. Solids 2004, 344, 158–166. [Google Scholar] [CrossRef]
- Guery, G.; Fargues, A.; Cardinal, T.; Dussauze, M.; Adamietz, F.; Rodriguez, V.; Musgraves, J.D.; Richardson, K.; Thomas, P. Impact of tellurite-based glass structure on Raman gain. Chem. Phys. Lett. 2012, 554, 123–127. [Google Scholar] [CrossRef]
- Chen, D.D.; Liu, Y.H.; Zhang, Q.Y.; Deng, Z.D.; Jiang, Z.H. Thermal stability and spectroscopic properties of Er3+-doped niobium tellurite glasses for broadband amplifiers. Mater. Chem. Phys. 2005, 90, 78–82. [Google Scholar] [CrossRef]
- El-Mallawany, R.; Ahmed, I.A. Thermal properties of multicomponent tellurite glass. J. Mater. Sci. 2008, 43, 5131–5138. [Google Scholar] [CrossRef]
- Mochida, N.; Takahashi, K.; Nakata, K.; Shibusawa, S. Properties and structure of the binary tellurite glasses containing mono-and di-valent cations. J. Ceram. Assoc. Jpn. 1978, 86, 317–326. [Google Scholar] [CrossRef]
- Yousef, E.S.; Al-Qaisi, B. UV spectroscopy, refractive indices and elastic properties of the (76− x) TeO2·9P2O5 15ZnO xLiNbO3 glass. Solid State Sci. 2013, 19, 6–11. [Google Scholar] [CrossRef]
- Hossain, M.K.; Hossain, S.; Ahmed, M.H.; Khan, M.I.; Haque, N.; Raihan, G.A. A Review on Optical Applications, Prospects, and Challenges of Rare-Earth Oxides. ACS Appl. Electron. Mater. 2021, 3, 3715–3746. [Google Scholar] [CrossRef]
- Hossain, M.K.; Ahmed, M.H.; Khan, M.I.; Miah, M.S.; Hossain, S. Recent Progress of Rare Earth Oxides for Sensor, Detector, and Electronic Device Applications: A Review. ACS Appl. Electron. Mater. 2021, 3, 4255–4428. [Google Scholar] [CrossRef]
- Elkhoshkhany, N.; Mohamed, H.M.; Yousef, E.S. UV–Vis-NIR spectroscopy, structural and thermal properties of novel oxyhalide tellurite glasses with composition TeO2-B2O3-SrCl2-LiF-Bi2O3 for optical application. Results Phys. 2019, 13, 102222. [Google Scholar] [CrossRef]
- Elkhoshkhany, N.; Essam, R.; Yousef, E.S. Influence of La2O3 on the structural, optical and thermal properties of TeO2–ZnO–Li2O–Nb2O5 glass. J. Non-Cryst. Solids 2020, 536, 119994. [Google Scholar] [CrossRef]
- Faeghinia, A.; Nemati, R.; Sheikhani, M. The crystallization kinetic of Te-Li glass system. Int. J. Mater. Mechan. Manuf. 2017, 5, 24–27. [Google Scholar] [CrossRef][Green Version]
- Sidkey, M.A.; Gaafar, M.S. Ultrasonic studies on network structure of ternary TeO2–WO3–K2O glass system. Phys. B 2004, 348, 46–55. [Google Scholar] [CrossRef]
- Kosuge, T.; Benino, Y.; Dimitrov, V.; Sato, R.; Komatsu, T. Thermal stability and heat capacity changes at the glass transition in K2O–WO3–TeO2 glasses. J. Non-Cryst. Solids 1998, 242, 154–164. [Google Scholar] [CrossRef]
- Heo, J.; Lam, D.; Sigel, G.H., Jr.; Mendoza, E.A.; Hensley, D.A. Spectroscopic analysis of the structure and properties of alkali tellurite glasses. J. Am. Ceram. Soc. 1992, 75, 277–281. [Google Scholar] [CrossRef]
- Sayyed, M.I.; Kawa, M.K.; Gaikwad, D.K.; Agar, O.; Gawai, U.P.; Baki, S.O. Physical, structural, optical and gamma radiation shielding properties of borate glasses containing heavy metals (Bi2O3/MoO3). J. Non-Cryst. Solids 2019, 507, 30–37. [Google Scholar] [CrossRef]
- Han, K.; Zhang, P.; Wang, S.; Guo, Y.; Zhou, D.; Yu, F. Optical characterization of Tm3+ doped Bi2O3-GeO2-Ga2O3 glasses in absence and presence of BaF2. Sci. Rep. 2016, 6, 31207. [Google Scholar] [CrossRef] [PubMed]
- Al-Hadeethi, Y.; Sayyed, M.I.; Mohammed, H.; Rimondin, L. X-ray photons attenuation characteristics for two tellurite-based glass systems at dental diagnostic energies. Ceram. Int. 2020, 46, 251–257. [Google Scholar] [CrossRef]
- El-Mallawany, R. The optical properties of tellurite glasses. J. Appl. Phys. 1992, 72, 1774–1777. [Google Scholar] [CrossRef]
- Al-Buriahi, S.M.; Rammah, Y.S. Electronic polarizability, dielectric, and gamma-ray shielding properties of some tellurite-based glasses. Appl. Phys. A 2019, 125, 678. [Google Scholar] [CrossRef]
- Al-Buriahi, S.M.; Mann, K.S. Radiation shielding investigations for selected tellurite-based glasses belonging to the TNW system. Mater. Res. Express 2019, 6, 105206. [Google Scholar] [CrossRef]
- Rammah, S.Y.; Al-Buriahi, M.S.; Abouhaswa, A.S. B2O3–BaCO3–Li2O3 glass system doped with Co3O4: Structure, optical, and radiation shielding properties. Phys. B Condens. Matter 2019, 576, 411717. [Google Scholar] [CrossRef]
- Sayyed, I.M.; Tekin, H.O.; Altunsoy, E.E.; Obaid, S.S.; Almatari, M. Radiation shielding study of tellurite tungsten glasses with different antimony oxide as transparent shielding materials using MCNPX code. J. Non-Cryst. Solids 2018, 498, 167–172. [Google Scholar] [CrossRef]
- Kaur, K.; Singh, K.J.; Anand, V. Correlation of gamma ray shielding and structural properties of PbO–BaO–P2O5 glass system. Nucl. Eng. Des. 2015, 285, 31–38. [Google Scholar] [CrossRef]
- Agostinelli, S.; Allison, J.; Amako, K.A.; Apostolakis, J.; Araujo, H.; Arce, P.; Asai, M.; Axen, D.; Banerjee, S.; Barrand, G.; et al. GEANT4—a simulation toolkit. Nuclear Instrum. Methods Phys. Res. Sect. A Accel. Spectrometers Detect. Assoc Equip 2003, 506, 250–303. [Google Scholar] [CrossRef]
- Rammah, Y.S.; Abouhaswa, A.S.; Sayyed, M.I.; Tekin, H.O.; El-Mallawany, R. Structural UV and shielding properties of ZBPC glasses. J. Non-Cryst. Solids 2019, 509, 99–105. [Google Scholar] [CrossRef]
- El-Mallawany, R.; Sayyed, M.I.; Dong, M.G.; Rammah, Y.S. Simulation of radiation shielding properties of glasses contain PbO. Radiat. Phys. Chem. 2018, 151, 239–252. [Google Scholar] [CrossRef]
- Sayyed, M.I.; Rammah, Y.S.; Abouhaswa, A.S.; Tekin, H.O.; Elbashir, B.O. ZnO–B2O3–PbO glasses: Synthesis and radiation shielding characterization. Phys B 2018, 548, 20–26. [Google Scholar] [CrossRef]
- Akman, F.; Durak, R.; Turhan, M.F.; Kaçal, M.R. Studies on effective atomic numbers, electron densities from mass attenuation coefcients near the K edge in some samarium compounds. Appl. Radiat. Isot. 2015, 101, 107–113. [Google Scholar] [CrossRef] [PubMed]
- Hussein, K.I.; Alqahtani, M.S.; Algarni, H.; Zahran, I.S.; Yaha, I.; Grelowska, I.; Reben, M.; Yousef, E.S. MIKE: A new computational tool for investigating radiation, optical and physical properties of prototyped shielding materials. J. Instrum. 2021, 16, T07004. [Google Scholar] [CrossRef]
- Hammad, A.H.; Abdelghany, A.M. Optical and structural investigations of zinc phosphate glasses containing vanadium ions. J. Non-Cryst. Solids 2016, 433, 14–19. [Google Scholar] [CrossRef]
- Soppe, W.; Aldenkamp, F.; den Hartog, H.W. The structure and conductivity of binary and ternary glasses (B2O3) 1-xy (Li2O) x (Li2Cl2) y. J. Non-Cryst. Solids 1987, 91, 351–374. [Google Scholar] [CrossRef]
- Lakshminarayana, G.; Kaky, K.M.; Baki, S.O.; Lira, A.; Nayar, P.; Kityk, I.V.; Mahdi, M.A. Physical, structural, thermal, and optical spectroscopy studies of TeO2–B2O3–MoO3–ZnO–R2O (R= Li, Na, and K)/MO (M= Mg, Ca, and Pb) glasses. J. Alloy. Compd. 2017, 690, 799–816. [Google Scholar] [CrossRef]
- Zhu, Y.; Shen, X.; Su, X.; Zhou, M.; Zhou, Y.; Li, J.; Yang, G. Concentration dependent structural, thermal and luminescence properties in Er3+/Tm3+ doped tellurite glasses. J. Non-Cryst. Solids 2019, 507, 19–29. [Google Scholar] [CrossRef]
- Krishna, G.; Veeraiah, N.; Venkatramaiah, N.; Venkatesan, R. Induced crystallization and physical properties of Li2O–CaF2–P2O5: TiO2 glass system: Part, I. Characterization, spectroscopic and elastic properties. J. Alloy. Compd. 2008, 450, 477–485. [Google Scholar] [CrossRef]
- Sekiya, T.; Mochida, N.; Ohtsuka, A.; Tonokawa, M. Raman spectra of MO1/2-TeO2 (M= Li, Na, K, Rb, Cs and Tl) glasses. J. Non-Cryst. Solids 1992, 144, 128. [Google Scholar] [CrossRef]
- Ford, N.; Holland, D. Optical and physical properties of glasses in the systems GeO2-Bi2O3-PbO and TeO2-Bi2O3-WO3. Glass Techno. 1987, 28, 106. [Google Scholar]
- Yoko, T.; Kamiya, K.; Tanaka, K.; Yamada, H.; Sakka, S. Glass-forming region and structure of oxyhalide tellurite glasses containing LiX (X= F and Br) and Li2O. J. Ceram. Soc. Jpn. 1989, 97, 289. [Google Scholar] [CrossRef][Green Version]
- Dimitriev, Y.; Dimitrov, V.; Arnadov, M. IR spectra and structures of tellurite glasses. J. Mat. Sci. 1983, 18, 1353. [Google Scholar] [CrossRef]
- Yousef, E.S.; Al-Qaisi, B. Kinetics and fabrication nanocrystallization of optical tellurophosphate glasses in system as: TeO2· P2O5· ZnO· LiNbO3. J. Alloy. Compd. 2012, 538, 193–200. [Google Scholar] [CrossRef]
- Yousef, E.S. Characterization of oxyfluoride tellurite glasses through thermal, optical and ultrasonic measurements. J. Phys. D Appl. Phys. 2005, 38, 3970. [Google Scholar] [CrossRef]
- Yousef, E.S.; Damak, K.; Maalej, R.; Rüssel, C. Thermal stability and UV–Vis-NIR spectroscopy of a new erbium-doped fluorotellurite glass. Phil. Mag. 2012, 92, 899. [Google Scholar] [CrossRef]
- Yousef, E.S.; Hotzel, M.; Russel, C. Linear and non-linear refractive indices of tellurite glasses in the system TeO2–WO3–ZnF2. J. Non-Cryst. Solids 2004, 342, 82. [Google Scholar]
- Sestak, J. Applicability of DTA to the study of crystallization kinetics of glasses. Phys. Chem. Glas. 1974, 15, 137. [Google Scholar]
- Hruby, A. Evaluation of glass-forming tendency by means of DTA. J. Czech Phys. B 1972, 22, 1187. [Google Scholar] [CrossRef]
- Ming, O.H.; Halimah, M.-K.; Daud, W.-Y.W.M. Optical properties of bismuth tellurite-based glass. Int. J. Mol. Sci. 2012, 13, 4623–4631. [Google Scholar]
- Laila, S.; Suraya, A.K.; Yahya, A.K. Effect of glass network modification on elastic and structural properties of mixed electronicionic 35V2O5-(65-x) TeO2-(x) Li2O glass system. Chalcogenide Lett. 2014, 11, 91–104. [Google Scholar]
- Umair, M.M.; Yahya, A.K. Effect of Nb2O5 network stabilizer on elastic and optical properties of xNb2O5-(20-x) BaO-80TeO2 tellurite glass system. Chalcogenide Lett. 2015, 12, 287–300. [Google Scholar]
- Du, J.; Kokou, L.; Rygel, J.L.; Chen, Y.; Pantano, C.G.; Woodman, R.; Belcher, J. Structure of cerium phosphate glasses: Molecular dynamics simulation. J. Am. Ceram. Soc. 2011, 94, 2393–2401. [Google Scholar] [CrossRef]
- Westheimer, F.H. The hydrolysis of phosphate esters. Phys. Org. Chem. 1977, 49, 1059–1067. [Google Scholar]
- Bikanina, E.A.; Shevchenko, A.P.; Serezhkin, V.N. The coordination polyhedra KCl n in the crystal structures. Russ. J. Coord. Chem. 2005, 31, 68–76. [Google Scholar] [CrossRef]
- Ohtomo, N.; Arakawa, K. Neutron diffraction study of aqueous ionic solutions. II. Aqueous solutions of sodium chloride and potassium chloride. Bull. Chem. Soc. Jpn. 1980, 53, 1789–1794. [Google Scholar] [CrossRef]
- Elkhoshkhany, N.; Khatab, M.A.; Marwa, A.K. Thermal, FTIR and UV spectral studies on tellurite glasses doped with cerium oxide. Ceram. Int. 2018, 44, 2789–2796. [Google Scholar] [CrossRef]
- Urbach, F. The long-wavelength edge of photographic sensitivity and of the electronic absorption of solids. Phys. Rev. 1953, 92, 1324. [Google Scholar]
- Elkhoshkhany, N.; Abbas, R.; El-Mallawany, R.; Hathot, S.F. Optical properties and crystallization of bismuth boro-tellurite glasses. J. Non-Cryst. Solids 2017, 476, 15–24. [Google Scholar] [CrossRef]
- Davis, E.A.; Mott, N.F. Conduction in non-crystalline systems V. Conductivity, optical absorption and photoconductivity in amorphous semiconductors. Philos. Mag. 1970, 22, 903–922. [Google Scholar] [CrossRef]
- Duffy, J.A.; Ingram, M.D. Establishment of an optical scale for Lewis basicity in inorganic oxyacids, molten salts, and glasses. J. Am. Chem. Soc. 1971, 93, 6448–6454. [Google Scholar] [CrossRef]
- SCHOTT Glass Made of Ideas. Available online: https://www.schott.com/advanced_optics/english/products/optical-materials/special-materials/radiation-shielding-glasses/index.html (accessed on 15 February 2022).











| Sample Code | Composition (mol%) | Theoretical ρ (g/cm3) | Experimental ρ (g/cm3) | Vm (cm3/mol) | Nb × 1028 (m−3) | F N/m |
|---|---|---|---|---|---|---|
| TPNK1 | 75TeO2-10P2O5-10Nb2O5-5KCl | 4.9125 | 5.0507 ± 0.054 | 35.322 | 7.50 | 244 |
| TPNK2 | 70TeO2-10P2O5-10Nb2O5-10KCl | 4.8152 | 4.8664 ± 0.055 | 35.785 | 7.74 | 229 |
| TPNK3 | 65TeO2-10P2O5-10Nb2O5-15KCl | 4.7129 | 4.6821 ± 0.055 | 36.286 | 7.97 | 215 |
| TPNK4 | 60TeO2-10P2O5-10Nb2O5-20KCl | 4.6055 | 4.4978 ± 0.054 | 36.827 | 8.18 | 202 |
| TPNK5 | 55TeO2-10P2O5-10Nb2O5-25KCl | 4.4923 | 4.3135 ± 0.055 | 37.415 | 8.37 | 190 |
| Sample Code | Eu (eV) | Eopt (eV) | N | Rm (Mol−1) | αm (Å−3) | M |
|---|---|---|---|---|---|---|
| TPNK1 | 0.211 | 2.71 | 2.48 | 22.32 | 8.85 | 0.368 |
| TPNK2 | 0.177 | 2.75 | 2.47 | 22.52 | 8.93 | 0.371 |
| TPNK3 | 0.147 | 2.80 | 2.457 | 22.71 | 9.01 | 0.374 |
| TPNK4 | 0.146 | 2.83 | 2.44 | 22.97 | 9.11 | 0.376 |
| TPNK5 | 0.144 | 2.87 | 2.43 | 23.24 | 9.22 | 0.379 |
| Sample Code | Tg (°C) | Tc (°C) | Tp (°C) | ∆T (°C) | H | KSP (°C) |
|---|---|---|---|---|---|---|
| TPNK1 | 413 | 636 | 671 | 223 | 0.54 | 21.86 |
| TPNK2 | 402 | 615 | 660 | 213 | 0.53 | 28.88 |
| TPNK3 | 357 | 603 | 642 | 246 | 0.69 | 31.13 |
| TPNK4 | 345 | 575 | 616 | 230 | 0.67 | 32.21 |
| TPNK5 | 338 | 620 | 634 | 282 | 0.83 | 12.26 |
Publisher’s Note: MDPI stays neutral with regard to jurisdictional claims in published maps and institutional affiliations. |
© 2022 by the authors. Licensee MDPI, Basel, Switzerland. This article is an open access article distributed under the terms and conditions of the Creative Commons Attribution (CC BY) license (https://creativecommons.org/licenses/by/4.0/).
Share and Cite
Hussein, K.I.; Al-Syadi, A.M.; Alqahtani, M.S.; Elkhoshkhany, N.; Algarni, H.; Reben, M.; Yousef, E.S. Thermal Stability, Optical Properties, and Gamma Shielding Properties of Tellurite Glass Modified with Potassium Chloride. Materials 2022, 15, 2403. https://doi.org/10.3390/ma15072403
Hussein KI, Al-Syadi AM, Alqahtani MS, Elkhoshkhany N, Algarni H, Reben M, Yousef ES. Thermal Stability, Optical Properties, and Gamma Shielding Properties of Tellurite Glass Modified with Potassium Chloride. Materials. 2022; 15(7):2403. https://doi.org/10.3390/ma15072403
Chicago/Turabian StyleHussein, Khalid I., Aref M. Al-Syadi, Mohammed S. Alqahtani, Nehal Elkhoshkhany, Hamed Algarni, Manuela Reben, and El Sayed Yousef. 2022. "Thermal Stability, Optical Properties, and Gamma Shielding Properties of Tellurite Glass Modified with Potassium Chloride" Materials 15, no. 7: 2403. https://doi.org/10.3390/ma15072403
APA StyleHussein, K. I., Al-Syadi, A. M., Alqahtani, M. S., Elkhoshkhany, N., Algarni, H., Reben, M., & Yousef, E. S. (2022). Thermal Stability, Optical Properties, and Gamma Shielding Properties of Tellurite Glass Modified with Potassium Chloride. Materials, 15(7), 2403. https://doi.org/10.3390/ma15072403

