Praseodymium Orthoniobate and Praseodymium Substituted Lanthanum Orthoniobate: Electrical and Structural Properties
Abstract
:1. Introduction
2. Materials and Methods
3. Results
4. Discussion
5. Conclusions
Supplementary Materials
Author Contributions
Funding
Institutional Review Board Statement
Informed Consent Statement
Data Availability Statement
Conflicts of Interest
References
- Keller, C. Über ternäre Oxide des Niobs und Tantals vom Typ ABO4. J. Inorg. Gen. Chem. 1962, 318, 89–106. (In German) [Google Scholar] [CrossRef]
- Haugsrud, R.; Norby, T. Proton conduction in rare-earth ortho-niobates and ortho-tantalates. Nat. Mater. 2006, 5, 193–196. [Google Scholar] [CrossRef]
- Haugsrud, R.; Norby, T. High-temperature proton conductivity in acceptor-doped LaNbO4. Solid State Ion. 2006, 177, 1129–1135. [Google Scholar] [CrossRef]
- Huse, M.; Skilbred, A.W.B.; Karlsson, M.; Eriksson, S.G.; Norby, T.; Haugsrud, R.; Knee, C.S. Neutron diffraction study of the monoclinic to tetragonal structural transition in LaNbO4 and its relation to proton mobility. J. Solid State Chem. 2012, 187, 27–34. [Google Scholar] [CrossRef]
- Tsipis, E.; Munnings, C.; Kharton, V.; Skinner, S.; Frade, J. Diffusion and conductivity properties of cerium niobate. Solid State Ion. 2006, 177, 2059–2064. [Google Scholar] [CrossRef]
- Dzierzgowski, K.; Wachowski, S.; Gojtowska, W.; Lewandowska, I.; Jasiński, P.; Gazda, M.; Mielewczyk-Gryń, A. Praseodymium substituted lanthanum orthoniobate: Electrical and structural properties. Ceram. Int. 2018, 44, 8210–8215. [Google Scholar] [CrossRef]
- Dzierzgowski, K.; Wachowski, S.; Gazda, M.; Mielewczyk-Gryń, A. Terbium Substituted Lanthanum Orthoniobate: Electrical and Structural Properties. Crystals 2019, 9, 91. [Google Scholar] [CrossRef] [Green Version]
- Mokkelbost, T.; Kaus, I.; Haugsrud, R.; Norby, T.; Grande, T.; Einarsrud, M.A. High-temperature proton-conducting lanthanum ortho-niobate-based materials. Part II: Sintering properties and solubility of alkaline earth oxides. J. Am. Ceram. Soc. 2008, 91, 879–886. [Google Scholar] [CrossRef]
- Kim, D.-W.; Kwon, D.-K.; Yoon, S.H.; Hong, K.S. Microwave Dielectric Properties of Rare-Earth Ortho-Niobates with Ferroelasticity. J. Am. Ceram. Soc. 2006, 89, 3861–3864. [Google Scholar] [CrossRef]
- Lee, H.-W.; Park, J.-H.; Nahm, S.; Kim, D.-W.; Park, J.-G. Low-temperature sintering of temperature-stable LaNbO4 microwave dielectric ceramics. Mater. Res. Bull. 2010, 45, 21–24. [Google Scholar] [CrossRef]
- Jian, L.; Wayman, C.M. Compressive behavior and domain-related shape memory effect in LaNbO4 ceramics. Mater. Lett. 1996, 26, 1–7. [Google Scholar] [CrossRef]
- Huang, H.; Wang, T.; Zhou, H.; Huang, D.; Wu, Y.; Zhou, G.; Hu, J.; Zhan, J. Luminescence, energy transfer, and up-conversion mechanisms of Yb3+ and Tb3+ co-doped LaNbO4. J. Alloys Compd. 2017, 702, 209–215. [Google Scholar] [CrossRef] [Green Version]
- Nazarov, M.; Kim, Y.J.; Lee, E.Y.; Min, K.-I.; Jeong, M.S.; Lee, S.W.; Noh, D.Y. Luminescence and Raman studies of YNbO4 phosphors doped by Eu3+, Ga3+, and Al3+. J. Appl. Phys. 2010, 107, 103104. [Google Scholar] [CrossRef]
- Peixoto, J.C.; Dias, A.; Matinaga, F.M.; Siqueira, K.P.F. Luminescence properties of PrNbO4 and EuNbO4 orthoniobates and investigation of their structural phase transition by high-temperature Raman spectroscopy. J. Lumin. 2021, 238, 118284. [Google Scholar] [CrossRef]
- Mokkelbost, T.; Lein, H.L.; Vullum, P.E.; Holmestad, R.; Grande, T.; Einarsrud, M.A. Thermal and mechanical properties of LaNbO4-based ceramics. Ceram. Int. 2009, 35, 2877–2883. [Google Scholar] [CrossRef]
- Løken, A.; Ricote, S.; Wachowski, S. Thermal and chemical expansion in proton ceramic electrolytes and compatible electrodes. Crystals 2018, 8, 365. [Google Scholar] [CrossRef] [Green Version]
- Bi, Z.; Peña-Martínez, J.; Kim, J.-H.; Bridges, C.A.; Huq, A.; Hodges, J.P.; Paranthaman, M.P. Effect of Ca doping on the electrical conductivity of the high temperature proton conductor LaNbO4. Int. J. Hydrogen Energy 2012, 37, 12751–12759. [Google Scholar] [CrossRef]
- Mielewczyk-Gryń, A.; Gdula, K.; Molin, S.; Jasinski, P.; Kusz, B.; Gazda, M. Structure and electrical properties of ceramic proton conductors obtained with molten-salt and solid-state synthesis methods. J. Non. Cryst. Solids 2010, 356, 1976–1979. [Google Scholar] [CrossRef]
- Fjeld, H.; Kepaptsoglou, D.M.; Haugsrud, R.; Norby, T. Charge carriers in grain boundaries of 0.5% Sr-doped LaNbO4. Solid State Ion. 2010, 181, 104–109. [Google Scholar] [CrossRef]
- Ivanova, M.; Ricote, S.; Meulenberg, W.A.; Haugsrud, R.; Ziegner, M. Effects of A- and B-site (co-)acceptor doping on the structure and proton conductivity of LaNbO4. Solid State Ion. 2012, 213, 45–52. [Google Scholar] [CrossRef]
- Packer, R.J.; Skinner, S.J.; Yaremchenko, A.A.; Tsipis, E.V.; Kharton, V.V.; Patrakeev, M.V.; Bakhteeva, Y.A. Lanthanum substituted CeNbO4+δ scheelites: Mixed conductivity and structure at elevated temperatures. J. Mater. Chem. 2006, 16, 3503. [Google Scholar] [CrossRef]
- Solís, C.; Serra, J.M. Adjusting the conduction properties of La0.995Ca0.005NbO4-δ by doping for proton conducting fuel cells electrode operation. Solid State Ion. 2011, 190, 38–45. [Google Scholar] [CrossRef]
- Hakimova, L.; Kasyanova, A.; Farlenkov, A.; Lyagaeva, J.; Medvedev, D.; Demin, A.; Tsiakaras, P. Effect of isovalent substitution of La3+ in Ca-doped LaNbO4 on the thermal and electrical properties. Ceram. Int. 2019, 45, 209–215. [Google Scholar] [CrossRef]
- Cao, Y.; Chi, B.; Pu, J.; Jian, L. Effect of Ce and Yb co-doping on conductivity of LaNbO4. J. Eur. Ceram. Soc. 2014, 34, 1981–1988. [Google Scholar] [CrossRef]
- Brandão, A.D.; Gracio, J.; Mather, G.C.; Kharton, V.V.; Fagg, D.P. B-site substitutions in LaNb1-xMxO 4-δ materials in the search for potential proton conductors (M = Ga, Ge, Si, B, Ti, Zr, P, Al). J. Solid State Chem. 2011, 184, 863–870. [Google Scholar] [CrossRef]
- Huse, M.; Norby, T.; Haugsrud, R. Effects of A and B site acceptor doping on hydration and proton mobility of LaNbO4. Int. J. Hydrogen Energy 2012, 37, 8004–8016. [Google Scholar] [CrossRef]
- Wachowski, S.; Mielewczyk-Gryn, A.; Gazda, M. Effect of isovalent substitution on microstructure and phase transition of LaNb1−xMxO4 (M = Sb, V or Ta; x = 0.05 − 0.3). J. Solid State Chem. 2014, 219, 201–209. [Google Scholar] [CrossRef]
- Mielewczyk-Gryń, A.; Wachowski, S.; Witkowska, A.; Dzierzgowski, K.; Skubida, W.; Świerczek, K.; Regoutz, A.; Payne, D.J.; Hull, S.; Zhang, H.; et al. Antimony substituted lanthanum orthoniobate proton conductor—Structure and electronic properties. J. Am. Ceram. Soc. 2020, 103, 6575–6585. [Google Scholar] [CrossRef]
- Winiarz, P.; Dzierzgowski, K.; Mielewczyk-Gryń, A.; Gazda, M.; Wachowski, S. High-Temperature Proton Conduction in LaSbO4. Chem. A Eur. J. 2021, 27, 5393–5398. [Google Scholar] [CrossRef]
- Li, M.; Wu, R.; Zhu, L.; Cheng, J.; Hong, T.; Xu, C. Enhanced sinterability and conductivity of cobalt doped lanthanum niobate as electrolyte for proton-conducting solid oxide fuel cell. Ceram. Int. 2019, 45, 573–578. [Google Scholar] [CrossRef]
- Wachowski, S.L.; Kamecki, B.; Winiarz, P.; Dzierzgowski, K.; Jurkowski, M.; Dzisevič, J.; Mielewczyk-Gryń, A.; Gazda, M. Fabrication and Structural Properties of LaNb1-xAsxO4 Ceramics. ChemistrySelect 2019, 4, 8645–8651. [Google Scholar] [CrossRef]
- Wachowski, S.; Kamecki, B.; Winiarz, P.; Dzierzgowski, K.; Mielewczyk-Gryń, A.; Gazda, M. Tailoring structural properties of lanthanum orthoniobates through an isovalent substitution on the Nb-site. Inorg. Chem. Front. 2018, 5, 2157–2166. [Google Scholar] [CrossRef]
- Virbukas, D.; Bočkutė, K.; Laukaitis, G. The Investigation of the Zr-doped LaNbO4 Thin Ceramic Films by Electrochemical Impedance Spectroscopy. Mater. Sci. 2015, 21, 439–443. [Google Scholar] [CrossRef]
- Cao, Y.; Duan, N.; Wang, X.; Chi, B.; Pu, J.; Jian, L. Enhanced electrical conductivity of Mo-doped LaNbO4. J. Eur. Ceram. Soc. 2015, 35, 1979–1983. [Google Scholar] [CrossRef]
- Lv, Y.; Geng, S.; Wei, T.; Liu, J.; Xu, X.; Yi, H.; Xu, J. Effects of Sn Doping and A-Site Deficiency on the Phases and Electrical Conductivities of the High-Temperature Proton Conductor LaNbO4. Phys. Status Solidi B 2020, 257, 2000110. [Google Scholar] [CrossRef]
- Li, C.; Pramana, S.S.; Skinner, S.J. Room temperature structure and transport properties of the incommensurate modulated LaNb0.88W0.12O4.06. Dalt. Trans. 2019, 48, 1633–1646. [Google Scholar] [CrossRef] [PubMed]
- David, W.I.F. High Resolution Neutron Powder Diffraction Studies of the Ferroelastic Phase Transition in LaNbO4. MRS Proc. 1989, 166, 203. [Google Scholar] [CrossRef]
- Lyagaeva, Y.G.; Medvedev, D.A.; Demin, A.K.; Tsiakaras, P.; Reznitskikh, O.G. Thermal expansion of materials in the barium cerate-zirconate system. Phys. Solid State 2015, 57, 285–289. [Google Scholar] [CrossRef]
- Yamazaki, Y.; Hernandez-Sanchez, R.; Haile, S.M. High Total Proton Conductivity in Large-Grained Yttrium-Doped Barium Zirconate. Chem. Mater. 2009, 21, 2755–2762. [Google Scholar] [CrossRef]
- Zhu, Z.; Sun, W.; Shi, Z.; Liu, W. Proton-conducting solid oxide fuel cells with yttrium-doped barium zirconate electrolyte films sintered at reduced temperatures. J. Alloys Compd. 2016, 658, 716–720. [Google Scholar] [CrossRef]
- Zhu, H.; Ricote, S.; Duan, C.; O’Hayre, R.P.; Tsvetkov, D.S.; Kee, R.J. Defect Incorporation and Transport within Dense BaZr0.8Y0.2O3−δ (BZY20) Proton-Conducting Membranes. J. Electrochem. Soc. 2018, 165, F581–F588. [Google Scholar] [CrossRef]
- Iwahara, H.; Uchida, H.; Ono, K.; Ogaki, K. Proton Conduction in Sintered Oxides Based on BaCeO3. J. Electrochem. Soc. 1988, 135, 529. [Google Scholar] [CrossRef]
- Lee, T.H.; Dorris, S.E.; Balachandran, U. Thin film preparation and hydrogen pumping characteristics of BaCe0.8Y0.2O3−δ. Solid State Ion. 2005, 176, 479–1484. [Google Scholar] [CrossRef]
- Guan, J.; Dorris, S.E.; Balachandran, U.; Liu, M. Transport properties of SrCe0.95Y0.05O3 − δ and its application for hydrogen separation. Solid State Ion. 1998, 110, 303–310. [Google Scholar] [CrossRef]
- Wang, J.; Bai, S.; Zhang, H.; Zhang, C. The structure, thermal expansion coefficient and sintering behavior of Nd3+-doped La2Zr2O7 for thermal barrier coatings. J. Alloys Compd. 2009, 476, 89–91. [Google Scholar] [CrossRef]
- Omataz, T.; Otsuka-Yao-Matsuo, S. Electrical Properties of Proton-Conducting Ca2+-Doped La2Zr2O7 with a Pyrochlore-Type Structure. J. Electrochem. Soc. 2001, 148, E252–E261. [Google Scholar] [CrossRef]
- Norby, T.; Christiansen, N. Proton conduction in Ca- and Sr-substituted LaPO4. Solid State Ion. 1995, 77, 240–243. [Google Scholar] [CrossRef]
- Haugsrud, R.; Norby, T. High-Temperature Proton Conductivity in Acceptor-Substituted Rare-Earth Ortho-Tantalates, LnTaO4. J. Am. Ceram. Soc. 2007, 90, 1116–1121. [Google Scholar] [CrossRef]
- Akiyama, K.; Nagano, I.; Shida, M.; Ota, S. Thermal Barrier Coating Material. US Patent US7622411B2, 24 November 2009. [Google Scholar]
- Huse, M.; Norby, T.; Haugsrud, R. Proton Conductivity in Acceptor-Doped LaVO4. J. Electrochem. Soc. 2011, 158, B857–B865. [Google Scholar] [CrossRef]
- Zhang, S.; Zhou, S.; Li, H.; Li, L. Investigation of Thermal Expansion and Compressibility of Rare-Earth Orthovanadates Using a Dielectric Chemical Bond Method. Inorg. Chem. 2008, 47, 7863–7867. [Google Scholar] [CrossRef]
- Buyanova, E.S.; Mikhailovskaya, Z.A.; Emel’yanova, Y.V.; Levina, A.A.; Morozova, M.V.; Petrova, S.A.; Tarakina, N.V. Production and characteristics of substituted lanthanum niobate LaNb1−xWxO4+δ. Russ. J. Inorg. Chem. 2017, 62, 211–217. [Google Scholar] [CrossRef]
- Laguna-Bercero, M.A.; Bayliss, R.D.; Skinner, S.J. LaNb0.84W0.16O4.08 as a novel electrolyte for high temperature fuel cell and solid oxide electrolysis applications. Solid State Ion. 2014, 262, 298–302. [Google Scholar] [CrossRef]
- Li, C.; Pramana, S.S.; Bayliss, R.D.; Grey, C.P.; Blanc, F.; Skinner, S.J. Evolution of Structure in the Incommensurate Modulated LaNb1−xWxO4+x/2(x = 0.04 − 0.16) Oxide Ion Conductors. Chem. Mater. 2020, 32, 2292–2303. [Google Scholar] [CrossRef]
- Li, C.; Bayliss, R.D.; Skinner, S.J. Crystal structure and potential interstitial oxide ion conductivity of LnNbO4 and LnNb0.92 W0.08O4.04 (Ln = La, Pr, Nd). Solid State Ion. 2014, 262, 530–535. [Google Scholar] [CrossRef]
- Rodríguez-Carvajal, J. Recent Developments of the Program FULLPROF, in Commission on Powder Diffraction (IUCr). Newsletter 2001, 26, 12–19. [Google Scholar]
- Trunov, V.K.; Kinzhibalo, L.N. Change of LnNbO4 structures in lanthanoid series. Dokl. Akad. Nauk SSSR 1982, 263, 348–351. [Google Scholar]
- Tomaszewski, P.E. Structural phase transitions in crystals. I. Database. Ph. Transit. 1992, 38, 127–220. [Google Scholar] [CrossRef]
- Kwok, R. XPS Peak 4.1. Available online: https://xpspeak.software.informer.com/ (accessed on 2 July 2020).
- Bruggeman, D.A.G. Berechnung verschiedener physikalischer Konstanten von heterogenen Substanzen. I. Dielektrizitätskonstanten und Leitfähigkeiten der Mischkörper aus isotropen Substanzen. Ann. Phys. 1935, 416, 636–664. (In German) [Google Scholar] [CrossRef]
- Cabaret, D.; Bordage, A.; Juhin, A.; Arfaoui, M.; Gaudry, E. First-principles calculations of X-ray absorption spectra at the K-edge of 3d transition metals: An electronic structure analysis of the pre-edge. Phys. Chem. Chem. Phys. 2010, 12, 5619. [Google Scholar] [CrossRef] [Green Version]
- Lütkehoff, S.; Neumann, M.; Slebarski, A. 3d and 4d X-ray-photoelectron spectra of Pr under gradual oxidation. Phys. Rev. B Condens. Matter 1995, 52, 13808–13811. [Google Scholar] [CrossRef]
- Naumkin, A.V.; Kraut-Vass, A.; Gaarenstroom, S.W.; Powell, C.J. NIST X-ray Photoelectron Spectroscopy, NIST Standard Reference Database 20; National Institute of Standards and Technology: Gaithersburg, MD, USA, 2000. [Google Scholar] [CrossRef]
- Wei, K.; Guo, W.; Du, C.; Zhao, N.; Li, X. Preparation of PrxZn1 − xO nanopowder with UV-visible light response. Mater. Lett. 2009, 63, 1781–1784. [Google Scholar] [CrossRef]
- Kruczek, M.; Talik, E.; Pawlak, D.A.; Łukasiewicz, T. X-Ray photoelectron spectroscopy studies of PrA1O3 crystals before and after thermal treatment. Opt. Appl. 2005, 35, 347–354. [Google Scholar]
- Pajaczkowska, A.; Novoselov, A.; Klimm, D.; Talik, E.; Uecker, R. Does valency of Pr ions influence color of SrPrGaO4 single crystals. Cryst. Growth Des. 2004, 4, 497–501. [Google Scholar] [CrossRef]
- Hellwig, M.; Milanov, A.; Barreca, D.; Deborde, J.-L.; Thomas, R.; Winter, M.; Kunze, U.; Fischer, R.A.; Devi, A. Stabilization of Amide-Based Complexes of Niobium and Tantalum Using Malonates as Chelating Ligands: Precursor Chemistry and Thin Film Deposition. Chem. Mater. 2007, 19, 6077–6087. [Google Scholar] [CrossRef]
- Schaefer, A.; Gevers, S.; Zielasek, V.; Schroeder, T.; Falta, J.; Wollschläger, J.; Bäumer, M. Photoemission study of praseodymia in its highest oxidation state: The necessity of in situ plasma treatment. J. Chem. Phys. 2011, 134, 054701. [Google Scholar] [CrossRef] [Green Version]
- Ogasawara, H.; Kotani, A.; Potze, R.; Sawatzky, G.A.; Thole, B.T. Praseodymium 3 d- and 4 d-core photoemission spectra of Pr2O3. Phys. Rev. B 1991, 44, 5465–5469. [Google Scholar] [CrossRef]
- Kotani, A.; Ogasawara, H. Theory of core-level spectroscopy of rare-earth oxides. J. Electron Spectros. Relat. Phenomena 1992, 60, 257–299. [Google Scholar] [CrossRef]
- Mielewczyk-Gryn, A.; Wachowski, S.; Lilova, K.I.; Guo, X.; Gazda, M.; Navrotsky, A. Influence of antimony substitution on spontaneous strain and thermodynamic stability of lanthanum orthoniobate. Ceram. Int. 2015, 41, 2128–2133. [Google Scholar] [CrossRef]
- Shannon, R.D. Revised effective ionic radii and systematic studies of interatomic distances in halides and chalcogenides. Acta Crystallogr. Sect. A 1976, 32, 751–767. [Google Scholar] [CrossRef]
- Tsunekawa, S.; Kamiyama, T.; Sasaki, K.; Asano, H.; Fukuda, T. Precise structure analysis by neutron diffraction for RNbO4 and distortion of NbO4 tetrahedra. Acta Crystallogr. Sect. A Found. Crystallogr. 1993, 49, 595–600. [Google Scholar] [CrossRef]
- Nikiforova, G.E.; Khoroshilov, A.V.; Gavrichev, K.S.; Knyazev, A.V.; Knyazeva, S.S. Fergusonite–Scheelite Phase Transition of Praseodymium Orthoniobate. Inorg. Mater. 2019, 55, 964–967. [Google Scholar] [CrossRef]
- Kriven, W.M.; Sarin, P.; Siah, L.F. Phase Transformations in Rare Earth Niobates. In Proceedings of the International Conference on Solid-Solid Phase Transformations in Inorganic Materials, Phoenix, AZ, USA, 29 May–3 June 2005. [Google Scholar]
- Sarin, P.; Hughes, R.W.; Lowry, D.R.; Apostolov, Z.D.; Kriven, W.M. High-Temperature Properties and Ferroelastic Phase Transitions in Rare-Earth Niobates (LnNbO4). J. Am. Ceram. Soc. 2014, 97, 3307–3319. [Google Scholar] [CrossRef]
- Vullum, F.; Nitsche, F.; Selbach, S.M.; Grande, T. Solid solubility and phase transitions in the system LaNb1-xTaxO4. J. Solid State Chem. 2008, 181, 2580–2585. [Google Scholar] [CrossRef]
- Mahato, N.; Banerjee, A.; Gupta, A.; Omar, S.; Balani, K. Progress in material selection for solid oxide fuelcell technology: A review. Prog. Mater. Sci. 2015, 72, 141–337. [Google Scholar] [CrossRef]
- Hussain, S.; Yangping, L. Review of solid oxide fuel cell materials: Cathode, anode and electrolyte. Energy Transit 2020, 4, 113–126. [Google Scholar] [CrossRef]
- Medvedev, D.A. Current drawbacks of proton-conducting ceramic materials: How to overcome them for real electrochemical purposes. Curr. Opin. 2021, 32, 100549. [Google Scholar] [CrossRef]
- Toyoura, K.; Sakakibara, Y.; Yokoi, T.; Nakamura, A.; Matsunaga, K. Oxide-ion conduction: Via interstitials in scheelite-type LaNbO4: A first-principles study. J. Mater. Chem. A 2018, 6, 12004–12011. [Google Scholar] [CrossRef]
- Pramana, S.S.; Baikie, T.; An, T.; Tucker, M.G.; Wu, J.; Schreyer, M.K.; Wei, F.; Bayliss, R.D.; Kloc, C.L.; White, T.J.; et al. Correlation of Local Structure and Diffusion Pathways in the Modulated Anisotropic Oxide Ion Conductor CeNbO4.25. J. Am. Chem. Soc. 2016, 138, 1273–1279. [Google Scholar] [CrossRef]
- Thompson, J.G.; Withers, R.L.; Brink, F.J. Modulated Structures in Oxidized Cerium Niobates. J. Solid State Chem. 1999, 143, 122–131. [Google Scholar] [CrossRef]
- Navarro, I.; Marques, F.; Frade, J. N-Type Conductivity in Gadolinia-Doped Ceria. J. Electrochem. Soc. 1997, 144, 267–273. [Google Scholar] [CrossRef]
- Petit, C.T.G.; Lan, R.; Cowin, P.I.; Irvine, J.T.S.; Tao, S. Novel redox reversible oxide, Sr-doped cerium orthovanadate to metavanadate. J. Mater. Chem. 2011, 21, 525–531. [Google Scholar] [CrossRef]
- Tsipis, E.V.; Patrakeev, M.V.; Kharton, V.V.; Vyshatko, N.P.; Frade, J.R. Ionic and p-type electronic transport in zircon-type Ce1 − xAxVO4 ± δ (A = Ca{,} Sr). J. Mater. Chem. 2002, 12, 3738–3745. [Google Scholar] [CrossRef]
- Watanabe, A. Highly Conductive Oxides, CeVO4, Ce1−xMxVO4−0.5x(M = Ca, Sr, Pb) and Ce1−yBiyVO4, with Zircon-Type Structure Prepared by Solid-State Reaction in Air. J. Solid State Chem. 2000, 153, 174–179. [Google Scholar] [CrossRef]
- Yamazaki, Y.; Blanc, F.; Okuyama, Y.; Buannic, L.; Lucio-Vega, J.C.; Grey, C.P.; Haile, S.M. Proton trapping in yttrium-doped barium zirconate. Nat. Mater. 2013, 12, 647–651. [Google Scholar] [CrossRef] [Green Version]
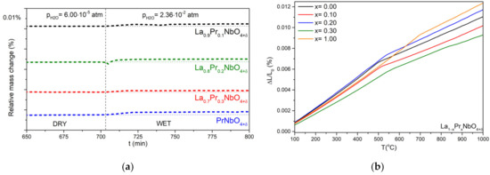
- Mielewczyk-Gryń, A.; Wachowski, S.; Prześniak-Welenc, M.; Dzierzgowski, K.; Regoutz, A.; Payne, D.J.; Gazda, M. Water uptake analysis of acceptor-doped lanthanum orthoniobates. J. Therm. Anal. Calorim. 2019, 138, 225–232. [Google Scholar] [CrossRef] [Green Version]
- Wachowski, S.; Mielewczyk-Gryń, A.; Zagórski, K.; Li, C.; Jasiński, P.; Skinner, S.J.; Haugsrud, R.; Gazda, M. Influence of Sb-substitution on ionic transport in lanthanum orthoniobates. J. Mater. Chem. A 2016, 4, 11696–11707. [Google Scholar] [CrossRef] [Green Version]
- Xing, W.; Kalland, L.E.; Li, Z.; Haugsrud, R. Defects and transport properties in TiNb2O7. J. Am. Ceram. Soc. 2013, 96, 3775–3781. [Google Scholar] [CrossRef]
- Fisher, C.A.J.; Islam, M.S. Defect, protons and conductivity in brownmillerite-structured Ba2In2O5. Solid State Ion. 1999, 118, 355–363. [Google Scholar] [CrossRef]












| Material | Structure | σtotal (S/cm) | TEC (10−6 K−1) | tOH |
|---|---|---|---|---|
| La0.99Ca0.01NbO4−δ [17,37] | 1 × 10−3 (800 °C) | 12 A/8.3 B | ≈ 1 | |
| BaZr0.8Y0.2O3−δ [38,39,40,41] | 2 × 10−3 (700 °C) | 8.2 | ≈ 0.8 | |
| BaCe0.8Y0.2O3−δ [38,42,43] | 5 × 10−2 (800 °C) | 11.6 | ≈ 0.9 | |
| SrCe0.95Y0.05O3−δ [16,44] | 2 × 10−3 (600 °C) | 11.1 | ≈ 0.9 | |
| La2Zr1.985Ca0.015O7−δ [45,46] | 1 × 10−3 (800 °C) | 9.6 | ≈ 0.6 | |
| La0.96Sr0.04PO4−δ [16,47] | 3 × 10−4 (800 °C) | 10.0 | ≈ 1 | |
| La0.99Ca0.01TaO4−δ [48,49] | 2 × 10−3 (800 °C) | 5.3 | ≈ 1 | |
| La0.99Ca0.01VO4−δ [50,51] | 3 × 10−4 (800 °C) | 6.1 | ≈ 0.15 |
| Sample | Density | |||
|---|---|---|---|---|
| Theoretical (g/cm3) | Experimental (g/cm3) | Relative (%) | Porosity (%) | |
| LaNbO4+δ | 5.900 | 5.901 | 100 | x |
| La0.95Pr0.05NbO4+δ | 5.915 | 5.700 | 96.4 | 3.6 |
| La0.9Pr0.1NbO4+δ | 5.928 | 5.041 | 85.0 | 15.0 |
| La0.85Pr0.15NbO4+δ | 5.943 | 5.564 | 93.6 | 6.4 |
| La0.8Pr0.2NbO4+δ | 5.948 | 5.771 | 97.0 | 3.0 |
| La0.7Pr0.3NbO4+δ | 5.986 | 5.408 | 90.3 | 9.7 |
| PrNbO4+δ | 6.168 | 6.017 | 97.5 | 2.5 |
| Sample | TEC (10−6/K) | TC (°C) | [OH⦁] (10−4 mol/mol) | |
|---|---|---|---|---|
| Monoclinic | Tetragonal | |||
| LaNbO4 | 16.0(1) | 8.6(1) | 500(5) | - |
| La0.95Pr0.05NbO4+δ | 14.2(1) | 7.5(1) | 507(5) | - |
| La0.9Pr0.1NbO4+δ | 14.2(1) | 7.5(1) | 516(4) | 3.7(22) |
| La0.85Pr0.15NbO4+δ | 14.6(1) | 8.7(1) | 526(3) | - |
| La0.8Pr0.2NbO4+δ | 15.9(1) | 9.2(1) | 535(6) | 4.9(7) |
| La0.7Pr0.3NbO4+δ | 12.5(1) | 8.2(1) | 556(9) | 2.7(7) |
| PrNbO4+δ | 15.8(1) | 10.0(1) | 700(4) | 2.9(14) |
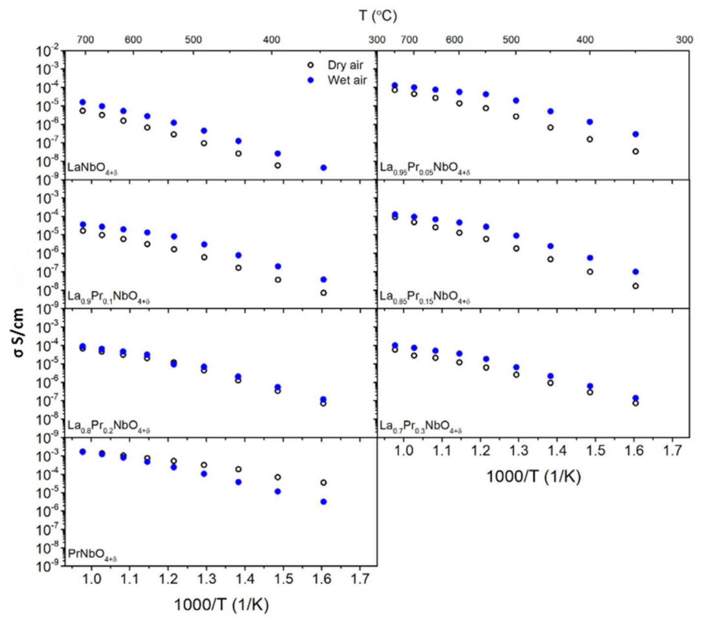
| Total Conductivity (S/cm) | ||||
|---|---|---|---|---|
| Sample | 700 °C | 400 °C | ||
| Dry Air | Wet Air | Dry Air | Wet Air | |
| LaNbO4+δ | 3.2 × 10−6 | 9.6 × 10−6 | 5.8 × 10−9 | 5.6 × 10−8 |
| La0.95Pr0.05NbO4+δ | 4.4 × 10−5 | 1.0 × 10−4 | 1.5 × 10−7 | 1.3 × 10−6 |
| La0.9Pr0.1NbO4+δ | 1.1 × 10−5 | 3.3 × 10−5 | 8.0 × 10−8 | 5.2 × 10−7 |
| La0.85Pr0.15NbO4+δ | 4.9 × 10−5 | 9.6 × 10−5 | 9.8 × 10−8 | 5.7 × 10−7 |
| La0.8Pr0.2NbO4+δ | 4.6 × 10−5 | 6.4 × 10−5 | 3.4 × 10−7 | 5.4 × 10−7 |
| La0.7Pr0.3NbO4+δ | 2.8 × 10−5 | 7.4 × 10−5 | 2.8 × 10−7 | 6.1 × 10−7 |
| PrNbO4+δ | 1.4 × 10−3 | 1.2 × 10−3 | 7.0 × 10−5 | 1.2 × 10−8 |
Publisher’s Note: MDPI stays neutral with regard to jurisdictional claims in published maps and institutional affiliations. |
© 2022 by the authors. Licensee MDPI, Basel, Switzerland. This article is an open access article distributed under the terms and conditions of the Creative Commons Attribution (CC BY) license (https://creativecommons.org/licenses/by/4.0/).
Share and Cite
Dzierzgowski, K.; Wachowski, S.; Łapiński, M.; Mielewczyk-Gryń, A.; Gazda, M. Praseodymium Orthoniobate and Praseodymium Substituted Lanthanum Orthoniobate: Electrical and Structural Properties. Materials 2022, 15, 2267. https://doi.org/10.3390/ma15062267
Dzierzgowski K, Wachowski S, Łapiński M, Mielewczyk-Gryń A, Gazda M. Praseodymium Orthoniobate and Praseodymium Substituted Lanthanum Orthoniobate: Electrical and Structural Properties. Materials. 2022; 15(6):2267. https://doi.org/10.3390/ma15062267
Chicago/Turabian StyleDzierzgowski, Kacper, Sebastian Wachowski, Marcin Łapiński, Aleksandra Mielewczyk-Gryń, and Maria Gazda. 2022. "Praseodymium Orthoniobate and Praseodymium Substituted Lanthanum Orthoniobate: Electrical and Structural Properties" Materials 15, no. 6: 2267. https://doi.org/10.3390/ma15062267
APA StyleDzierzgowski, K., Wachowski, S., Łapiński, M., Mielewczyk-Gryń, A., & Gazda, M. (2022). Praseodymium Orthoniobate and Praseodymium Substituted Lanthanum Orthoniobate: Electrical and Structural Properties. Materials, 15(6), 2267. https://doi.org/10.3390/ma15062267

