Laboratory and Field Performance Evaluation of High-Workability Ultra-Thin Asphalt Overlays
Abstract
:1. Introduction
2. Background of the Field Test Pavements
3. Methodology
3.1. Raw Materials
3.2. Proportion Design of the Mixture
3.3. Paving of the Field Test Sections
4. Test Method
4.1. High-Temperature Stability Test
4.2. Low-Temperature Crack Resistance Test
4.3. Moisture Damage Resistance Test
4.4. Pendulum Test
4.5. Flatness Test
4.6. Compaction Test
4.7. Permeability Test
4.8. Rutting Depth Test
5. Results and Discussion
5.1. Laboratory Performance of Asphalt Mixtures
5.1.1. High-Temperature Stability
5.1.2. Low-Temperature Crack Resistance
5.1.3. Moisture Damage Resistance
5.1.4. Skid Resistance
5.2. Tests and Comparisons of Test Roads before and after the Operation
5.2.1. Pavement Flatness
5.2.2. Skid Resistance
5.2.3. Compaction Degree
5.2.4. Permeability Performance
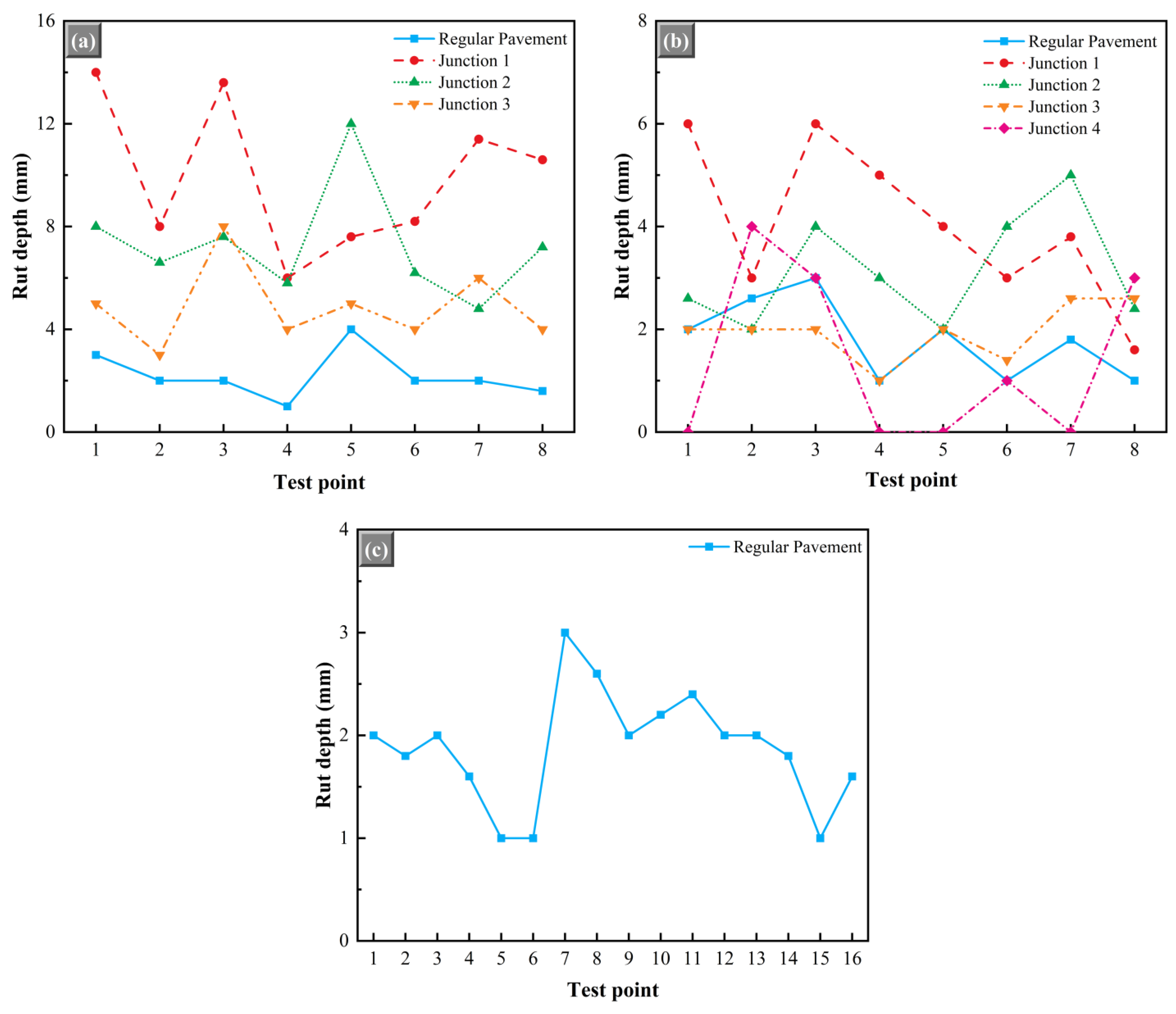
5.2.5. Rutting Depth
6. Conclusions
- The laboratory performance of the HWU asphalt mixture met the specifications. The use of a high-strength-modified asphalt binder and polyester fibers to the mixture contributed to the improved pavement performance of the HWU-modified asphalt mixture, which had better high-temperature stability and moisture damage resistance than that of the SBS-modified asphalt mixture.
- The asphalt mixture prepared with HWU-10 gradation was easily compacted during the test road paving. It showed good construction workability, which played a positive role in improving the compactness of the pavement and reducing the occurrence of defects.
- After one year of opening traffic, the flatness and skid resistance of the test roads decreased while the compaction degree, anti-permeability, and rutting depth increased due to the influence of vehicle load. The poor high-temperature rutting resistance and moisture damage resistance of the SBS-modified asphalt mixture resulted in rutting and potholes on the test road surface. Compared with the SBS-modified asphalt mixture, the ultra-thin overlay paved with HWU asphalt mixture showed excellent performance degradation resistance and rutting resistance, which has potential for promotion and application in pavement preventive maintenance.
- This study only investigated the laboratory and field performance of asphalt mixtures and did not fully consider the effects of traffic volume and vehicle load on the test road pavement performance. In-depth analysis on asphalt binders and measures to ensure uniform dispersion of polyester fibers in the mixture and enhance the performance of road intersection pavements will be conducted in the future.
Author Contributions
Funding
Institutional Review Board Statement
Informed Consent Statement
Data Availability Statement
Conflicts of Interest
List of Abbreviations
| Abbreviations | Phrases |
| HWU | High-Workability Ultra-thin |
| HUFC | High-ductility Ultra-thin Friction Course |
| UTWC | Ultra-thin Wear Course |
| SMA | Stone Matrix Asphalt |
| SUP | Superpave |
| SBS | Styrene-butadiene-styrene |
| DS | Dynamic Stability |
| UTM | Universal Testing Machine |
| TSR | Tensile Strength Ratio |
| BPN | British Pendulum Number |
| HWU | Porous Asphalt Concrete |
References
- Qian, Z.; Lu, Q. Design and laboratory evaluation of small particle porous epoxy asphalt surface mixture for roadway pavements. Constr. Build. Mater. 2015, 77, 110–116. [Google Scholar] [CrossRef]
- Lee, J.; Nam, B.; Abdel-Aty, M. Effects of Pavement Surface Conditions on Traffic Crash Severity. J. Transp. Eng. 2015, 141, 04015020. [Google Scholar] [CrossRef]
- Giustozzi, F.; Crispino, M.; Flintsch, G. Preventive Maintenance on road pavements: Performance and environmental assessment of strategies. In Proceedings of the SIIV Roma MMXII-5th International Congress, Roma, Italy, 7–9 May 2012; pp. 1–11. [Google Scholar]
- Li, F.; Feng, J.; Li, Y.; Zhou, S. Introduction to the Pavement Preventive Maintenance Technology. In Preventive Maintenance Technology for Asphalt Pavement; Springer: Berlin/Heidelberg, Germany, 2021; pp. 1–35. [Google Scholar]
- Liu, Z. Asphalt Pavement Preventive Maintenance Technology Overview. Appl. Mech. Mater. 2014, 638–640, 1135–1138. [Google Scholar] [CrossRef]
- Jia, Y.; Dai, X.; Wang, S.; Gao, Y.; Wang, J.; Zhou, W. Evaluation of long-term effectiveness of preventive maintenance treatments using LTPP SPS-3 experiment data. Constr. Build. Mater. 2020, 247, 118585. [Google Scholar] [CrossRef]
- Sebaaly, P.E.; Hajj, E.; Weitzel, D.; Belancio, G. Effectiveness of Cape Seal Pavement Preservation Technique in Northern Nevada; University of Nevada, Reno: Reno, NV, USA, 2016. [Google Scholar]
- Han, S.; Yao, T.; Han, X.; Hongwei, Z.; Yang, X. Performance evaluation of waterborne epoxy resin modified hydrophobic emulsified asphalt micro-surfacing mixture. Constr. Build. Mater. 2020, 249, 118835. [Google Scholar] [CrossRef]
- Luo, Y.; Zhang, K.; Xie, X.; Yao, X. Performance evaluation and material optimization of Micro-surfacing based on cracking and rutting resistance. Constr. Build. Mater. 2019, 206, 193–200. [Google Scholar] [CrossRef]
- Sun, X.; Zhang, X. Experimental study on high performance micro-surfacing. J. Tongji Univ. Nat. Sci. 2012, 40, 867–870. [Google Scholar]
- Ali, H.; Mohammadafzali, M. Asphalt Surface Treatment Practice in Southeastern United States; Louisiana Transportation Research Center: Baton Rouge, LA, USA, 2014. [Google Scholar]
- Andrés-Valeri, V.C.; Rodriguez-Torres, J.; Calzada-Perez, M.A.; Rodriguez-Hernandez, J. Exploratory study of porous asphalt mixtures with additions of reclaimed tetra pak material. Constr. Build. Mater. 2018, 160, 233–239. [Google Scholar] [CrossRef] [Green Version]
- Game, D.; Mousa, M.R.; Hassan, M. Performance Assessment of Ultra-Thin Asphalt Treatments in Louisiana; Tran-SET 2021; American Society of Civil Engineers Reston: Reston, VA, USA, 2021; pp. 296–303. [Google Scholar]
- Wang, X.; Gu, X.; Dong, Q.; Wu, J.; Jiang, J. Evaluation of permanent deformation of multilayer porous asphalt courses using an advanced multiply-repeated load test. Constr. Build. Mater. 2018, 160, 19–29. [Google Scholar] [CrossRef]
- Chu, L.; Fwa, T.F.; Tan, K.H. Evaluation of wearing course mix designs on sound absorption improvement of porous asphalt pavement. Constr. Build. Mater. 2017, 141, 402–409. [Google Scholar] [CrossRef]
- Hanson, D.I.; James, R.S. Colorado DOT Tire/Pavement Noise Study; Ncat Report; Colorado Department of Transportation: Denver, CO, USA, 2004. [Google Scholar]
- Ding, L.; Wang, X.; Zhang, K.; Zhang, M.; Yang, J.; Chen, Z. Durability evaluation of easy compaction and high-durability ultra-thin overlay. Constr. Build. Mater. 2021, 302, 124407. [Google Scholar] [CrossRef]
- Yu, J.; Chen, F.; Deng, W.; Ma, Y.; Yu, H. Design and performance of high-toughness ultra-thin friction course in south China. Constr. Build. Mater. 2020, 246, 118508. [Google Scholar] [CrossRef]
- Cui, W.; Wu, K.; Cai, X.; Tang, H.; Huang, W. Optimizing Gradation Design for Ultra-Thin Wearing Course Asphalt. Materials 2020, 13, 189. [Google Scholar] [CrossRef] [Green Version]
- Liu, Z.; Luo, S.; Quan, X.; Wei, X.; Yang, X.; Li, Q. Laboratory evaluation of performance of porous ultra-thin overlay. Constr. Build. Mater. 2019, 204, 28–40. [Google Scholar] [CrossRef]
- Liu, Z.; Wang, X.; Luo, S.; Yang, X.; Li, Q. Asphalt mixture design for porous ultra-thin overlay. Constr. Build. Mater. 2019, 217, 251–264. [Google Scholar] [CrossRef]
- Hu, M.; Li, L.; Peng, F. Laboratory investigation of OGFC-5 porous asphalt ultra-thin wearing course. Constr. Build. Mater. 2019, 219, 101–110. [Google Scholar] [CrossRef]
- JTG F40-2004; Technical Specification for Highway Asphalt Pavement Construction. China Communications Press: Beijing, China, 2004.
- JTG E60-2008; Field Test Methods of Highway Subgrade and Pavement. China Communications Press: Beijing, China, 2008.
- JTG E20-2011; Highway Engineering Asphalt and Asphalt Mixture Test Regulations. China Communications Press: Beijing, China, 2011.
- Zhang, Z.; Sun, J.; Huang, Z.; Wang, F.; Jia, M.; Lv, W.; Ye, J. A laboratory study of epoxy/polyurethane modified asphalt binders and mixtures suitable for flexible bridge deck pavement. Constr. Build. Mater. 2021, 274, 122084. [Google Scholar] [CrossRef]
- Zhang, Z.; Sun, J.; Jia, M.; Ban, X.; Wang, L.; Chen, L.; Huang, T.; Liu, H. Effects of Polyurethane Thermoplastic Elastomer on Properties of Asphalt Binder and Asphalt Mixture. J. Mater. Civ. Eng. 2021, 33, 04020477. [Google Scholar] [CrossRef]
- Sun, J.; Zhang, Z.; Wang, L.; Liu, H.; Ban, X.; Ye, J. Investigation on the epoxy/polyurethane modified asphalt binder cured with bio-based curing agent: Properties and optimization. Constr. Build. Mater. 2022, 320, 126221. [Google Scholar] [CrossRef]
- Ud Din, I.M.; Mir, M.S.; Farooq, M.A. Effect of Freeze-Thaw Cycles on the Properties of Asphalt Pavements in Cold Regions: A Review. Transp. Res. Procedia 2020, 48, 3634–3641. [Google Scholar] [CrossRef]
- JTG 5142-2019; Technical Specifications for Maintenance of Highway Asphalt Pavement. China Communications Press: Beijing, China, 2019.
- Serigos, P.A.; De Fortier Smit, A.; Prozzi, J.A. Incorporating Surface Microtexture in the Prediction of Skid Resistance of Flexible Pavements. Transp. Res. Rec. 2014, 2457, 105–113. [Google Scholar] [CrossRef]
- JTG F80/1-2017; Inspection and Evaluation Quality Standards for Highway Engineering. China Communications Press: Beijing, China, 2017.
- Liu, J.; Guan, B.; Chen, H.; Liu, K.; Xiong, R.; Xie, C. Dynamic Model of Polished Stone Value Attenuation in Coarse Aggregate. Materials 2020, 13, 1875. [Google Scholar] [CrossRef] [PubMed]
- Liu, P.; Hu, J.; Canon Falla, G.; Wang, D.; Leischner, S.; Oeser, M. Primary investigation on the relationship between microstructural characteristics and the mechanical performance of asphalt mixtures with different compaction degrees. Constr. Build. Mater. 2019, 223, 784–793. [Google Scholar] [CrossRef]
- Esmaeili, N.; Hamedi, G.H.; Khodadadi, M. Determination of the stripping process of asphalt mixtures and the effective mix design and SFE parameters on its different phases. Constr. Build. Mater. 2019, 213, 167–181. [Google Scholar] [CrossRef]
- Cong, P.; Guo, X.; Ge, W. Effects of moisture on the bonding performance of asphalt-aggregate system. Constr. Build. Mater. 2021, 295, 123667. [Google Scholar] [CrossRef]
- Sun, J.; Huang, L.; Li, C. Research on the technology applying anti-rutting additive to asphalt mixture. In Mechanical Engineering and Control Systems: Proceedings of 2015 International Conference on Mechanical Engineering and Control Systems (MECS2015), Wuhan, China, 23–25 January 2015; pp. 379–381. Available online: http://https://www.worldscientific.com/doi/abs/10.1142/9789814740616_0082 (accessed on 7 February 2022). [CrossRef]















| Items | High-Strength Asphalt Binder | SBS-Modified Asphalt Binder | Test Standards | |||
|---|---|---|---|---|---|---|
| Results | Specifications | Results | Specifications | |||
| Penetration (25 °C, 100 g, 5 s) (0.1 mm) | 24 | 20–40 | 57 | 40–70 | T 0604-2011 | |
| Penetration index (PI) | 0.1 | ≥−0.4 | 0.04 | −0.2–1.0 | ||
| Ductility (5 °C, 5 cm/min), cm | — | — | 35 | ≥25 | T 0605-2011 | |
| Softening point (°C) | 76.7 | ≥60 | 80 | ≥70 | T 0606-2011 | |
| Kinematic viscosity (135 °C) (Pa.s) | 2.8 | ≤3 | 2.6 | ≤3 | T 0625-2011 | |
| Dynamic viscosity (60 °C) (Pa.s) | 6400 | ≥4000 | 30,000 | ≥20,000 | T 0620-2000 | |
| Flash point (°C) | 320 | ≥230 | 315 | ≥245 | T 0611-2011 | |
| Storage stability, 48 h softening point difference (°C) | 1.2 | ≤2.5 | 1.5 | ≤2.5 | T 0661-2011 | |
| Rotating film heating (163 °C, 5 h) | Mass variation (%) | −0.15 | −1.0–1.0 | −0.16 | ≤0.5 | T 0609-2011 |
| Penetration ratio (%) | 75.4 | ≥65 | 75 | ≥65 | T 0604-2011 | |
| Ductility (5 °C, 5 cm/min) (cm) | — | — | 22 | ≥15 | T 0605-2011 | |
| Items | Results | Specifications | Test Standards |
|---|---|---|---|
| Tensile strength (MPa) | 763 | ≥550 | GB/T 14337-2008 |
| Elongation at break (%) | 32.4 | 30 ± 9 | |
| Color | White | White | — |
| Melting point (°C) | 255 | ≥230 | FZ/T 01057.6-2007 |
| Diameter (μm) | 19.9 | 20 ± 4 | — |
| Density (g/cm3) | 1.38 | 1.36–1.40 | GB/T 14335-2008 |
| Test | Specifications | Test Standards |
|---|---|---|
| Rutting test | JTG E20-2011 | T0719-2011 |
| Bending beam test | T0715-2011 | |
| Freeze–thaw splitting tensile strength test | T0729-2011 | |
| Pendulum test | JTG 3450-2019 | T0964-2008 |
| Flatness test | T0932-2008 | |
| Compaction test | T0924-2008 | |
| Permeability test | T0971-2019 | |
| Rutting depth test | T0973-2019 |
| Temperature (°C) | 0 | 5 | 10 | 15 | 20 | 25 | 30 | 35 | 40 |
|---|---|---|---|---|---|---|---|---|---|
| Temperature correction value ΔBPN | −6 | −4 | −3 | −1 | 0 | +2 | +3 | +5 | +7 |
| Mesh Size (mm) | 9.5 | 4.75 | 2.36 | 1.18 | 0.6 | 0.3 | 0.15 | 0.075 |
|---|---|---|---|---|---|---|---|---|
| Passing percentage (%) | 100.0 | 17.7 | 11.0 | 7.0 | 6.8 | 6.1 | 5.1 | 4.0 |
| Test Road Number | Test Road 1 | Test Road 2 | Test Road 3 | |||
|---|---|---|---|---|---|---|
| Before | After 1 Year | Before | After 1 Year | Before | After 1 Year | |
| Number of detection points | 100 | 20 | 116 | 59 | 92 | 20 |
| Mean value of flatness (mm) | 0.58 | 0.74 | 0.65 | 0.72 | 0.61 | 0.72 |
Publisher’s Note: MDPI stays neutral with regard to jurisdictional claims in published maps and institutional affiliations. |
© 2022 by the authors. Licensee MDPI, Basel, Switzerland. This article is an open access article distributed under the terms and conditions of the Creative Commons Attribution (CC BY) license (https://creativecommons.org/licenses/by/4.0/).
Share and Cite
Wang, J.; Sun, J.; Luo, S.; Li, Q. Laboratory and Field Performance Evaluation of High-Workability Ultra-Thin Asphalt Overlays. Materials 2022, 15, 2123. https://doi.org/10.3390/ma15062123
Wang J, Sun J, Luo S, Li Q. Laboratory and Field Performance Evaluation of High-Workability Ultra-Thin Asphalt Overlays. Materials. 2022; 15(6):2123. https://doi.org/10.3390/ma15062123
Chicago/Turabian StyleWang, Jinquan, Jia Sun, Sang Luo, and Qiang Li. 2022. "Laboratory and Field Performance Evaluation of High-Workability Ultra-Thin Asphalt Overlays" Materials 15, no. 6: 2123. https://doi.org/10.3390/ma15062123
APA StyleWang, J., Sun, J., Luo, S., & Li, Q. (2022). Laboratory and Field Performance Evaluation of High-Workability Ultra-Thin Asphalt Overlays. Materials, 15(6), 2123. https://doi.org/10.3390/ma15062123

