Composites Containing Nanohydroxyapatites and a Stable TEMPO Radical: Preparation and Characterization Using Spectrophotometry, EPR and 1H MAS NMR
Abstract
1. Introduction
2. Materials and Methods
2.1. Materials
2.2. Adsorption Studies
2.3. Spectrophotometric Measurements
2.4. EPR Measurements
2.5. NMR Measurements
2.6. Modeling of Adsorption Isotherm Data
2.7. Thermogravimetric Analysis with Differential Scanning Calorimetry (TGA-DSC)
2.8. Transmission Electron Microscopy (TEM)
3. Results
3.1. Adsorption Isotherms
3.1.1. Experimental Adsorption Isotherms
3.1.2. Coverage of Hydroxyapatite Surface by TEMPO Molecules
3.2. EPR Study
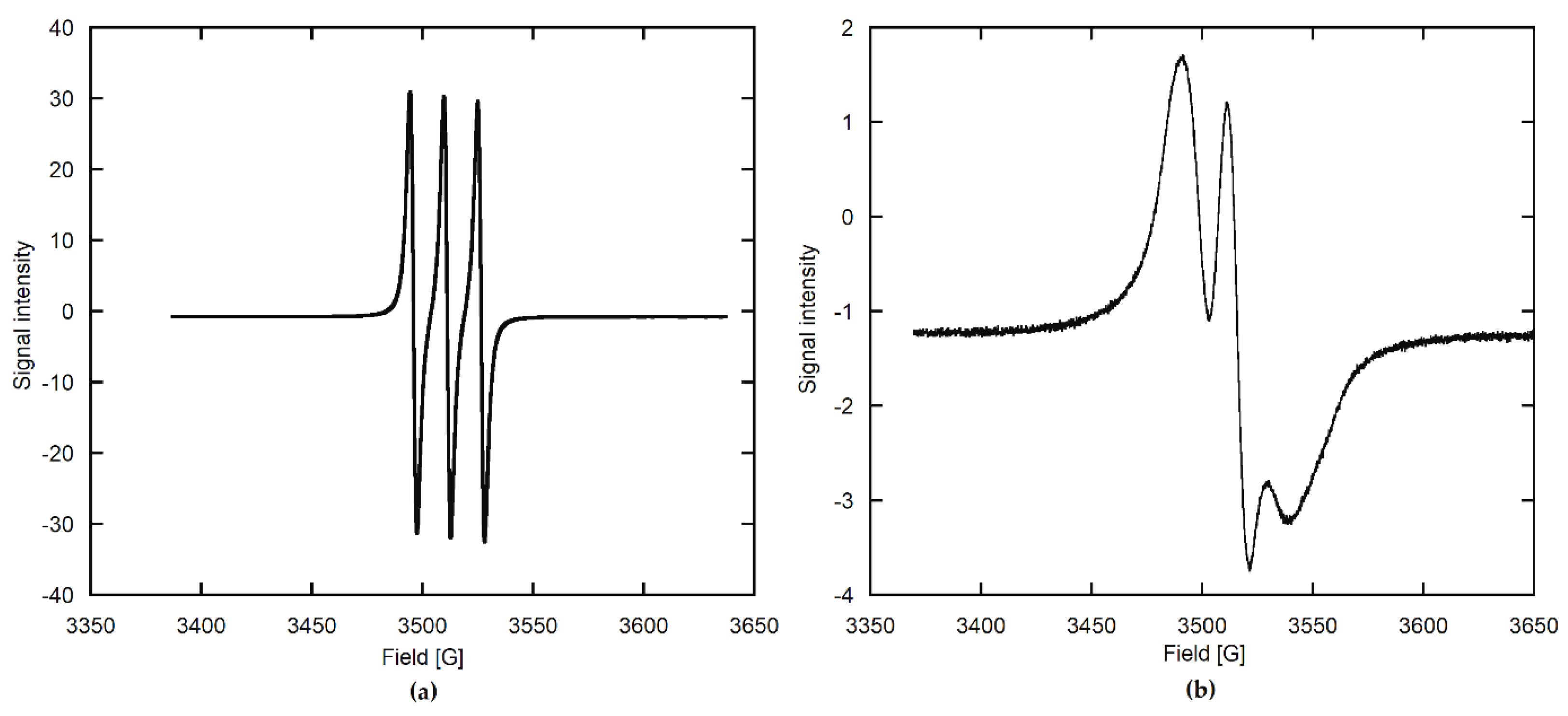
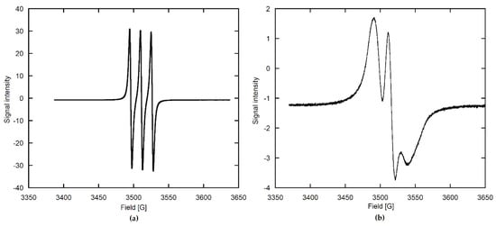
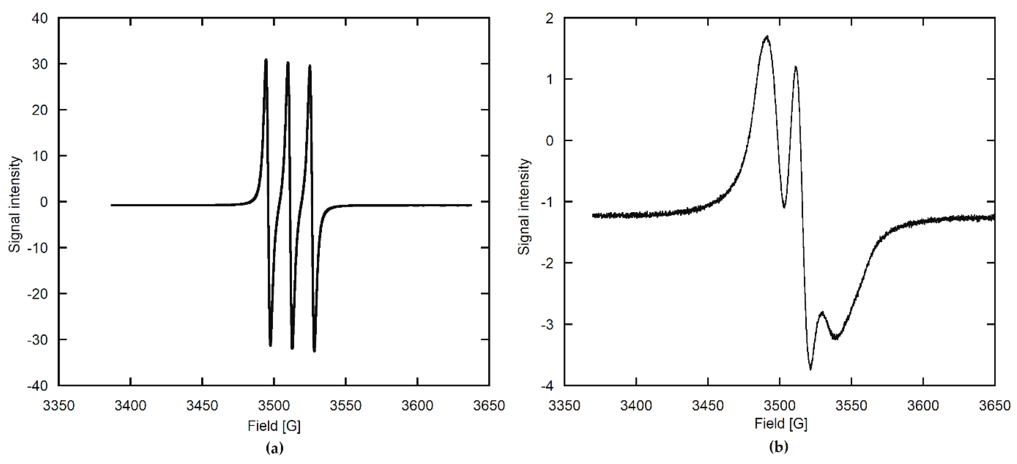
3.2.1. General Analysis of the EPR Spectra
3.2.2. Computer Analysis of the EPR Spectra and Signal Assignments
3.2.3. EPR Parameters of Adsorbed TEMPO
3.2.4. Distances between Molecules of Adsorbed TEMPO
3.2.5. Integral Intensities of the EPR Spectra
3.3. 1H NMR Study
3.3.1. HA83
3.3.2. HA259
4. Discussion
4.1. Adsorption Mechanisms
4.2. Distribution and Dynamics of TEMPO on Hydroxyapatite
4.3. The Role of a Solvent
4.4. Comparison of the Hydroxyapatites
4.5. EPR Signal Intensities Versus Adsorption Isotherms
4.6. Potential Applications of the Obtained Composites
5. Conclusions
- It is possible to reproducibly adsorb the TEMPO radical on hydroxyapatite, even if it contains a monolayer of surface water;
- After adsorption, TEMPO did not lose its paramagnetic character. The EPR signal shape changed significantly, indicating a decrease in the radical mobility with respect to the solution;
- The main factors influencing the radical loading are the solvent polarity and hydroxyapatite surface area. The more polar the solvent is, the more it competes with the radical, thereby diminishing its adsorption;
- In all studied cases, the adsorption was limited to a monolayer of TEMPO, and where it was possible to fit model isotherms, the best fit was achieved with the Langmuir model. The similar values of the Langmuir constant indicate that the affinity of TEMPO towards both apatites and the mechanisms of adsorption from organic solvents were the same;
- In the case of the adsorption from organic solvents, adsorption sites available to the radical were dependent on whether the apatite was hydrated or not:
- ο
- On the anhydrous HA259, all radical molecules were linked directly to the HA surface, presumably through the coordination bond between the TEMPO oxygen atom and the hydroxyapatite surface calcium cations;
- ο
- On the hydrated HA83, the majority of the TEMPO molecules also coordinated directly to the surface calcium cations, thereby displacing surface water molecules. Some TEMPO molecules (less than 20%), however, were bound through the hydrogen bonds of their oxygen atoms to the not yet displaced surface water molecules and were consequently more mobile than the directly adsorbed TEMPO molecules.
- For the adsorption from water, the distribution of TEMPO on the apatite surface was different than after adsorption from organic solvents and was similar for both HAs. As all the surface calcium cations were occupied by water, the majority of the radical molecules were linked to those surface water molecules via the N−O·…H−O hydrogen bonds, while the rest presumably formed such hydrogen bonds with water clusters located in spaces between particles of the apatite powder or with water molecules in the outer layers, further away from the HA surface;
- The analysis of dipole–dipole interactions and spin exchange allowed us to estimate mean distances between the TEMPO molecules. This led us to the assumption that the radical was not distributed homogenously on the HA surface but rather adsorbed preferentially in patches;
- The analysis of integral intensities of the EPR signals suggested that when the crowding of the radical molecules was high, they had a tendency to interact with the calcium cations on the HA surface by means of only one lone electron pair of the nitroxide oxygen atom. Furthermore, a certain part of them was not detected by the EPR spectroscopy, either because of EPR-inactive complexes formed with the apatite surface by means of both O and N of TEMPO (for both HA259 and HA83) or because of the radical disproportionation due to the acidic character of the hydroxyl groups of water bound to TEMPO by means of the hydrogen bonds (for HA83 only);
- The obtained HA/TEMPO composites were fairly stable over one year if they were stored under appropriate conditions.
Supplementary Materials
Author Contributions
Funding
Institutional Review Board Statement
Informed Consent Statement
Data Availability Statement
Acknowledgments
Conflicts of Interest
References
- Dorozhkin, S.V. Calcium orthophosphates in nature, biology and medicine. Materials 2009, 2, 399–498. [Google Scholar] [CrossRef]
- Kolmas, J.; Krukowski, S.; Laskus, A.; Jurkitewicz, M. Synthetic hydroxyapatite in pharmaceutical applications. Ceram. Int. 2016, 42, 2472–2487. [Google Scholar] [CrossRef]
- Skwarek, E.; Gladysz-Plaska, A.; Choromanska, J.B.; Broda, E. Adsorption of uranium ions on nano-hydroxyapatite and modified by Ca and Ag ions. Adsorption 2019, 25, 639–647. [Google Scholar] [CrossRef]
- Usami, K.; Okamoto, A. Hydroxyapatite: Catalyst for a one-pot pentose formation. Org. Biomol. Chem. 2017, 15, 8888–8893. [Google Scholar] [CrossRef] [PubMed]
- Mohd Zaffarin, A.S.; Ng, S.-F.; Ng, M.H.; Hassan, H.; Alias, E. Nano-Hydroxyapatite as a Delivery System for Promoting Bone Regeneration In Vivo: A Systematic Review. Nanomaterials 2021, 11, 2569. [Google Scholar] [CrossRef] [PubMed]
- Shi, H.; Zhou, Z.; Li, W.; Fan, Y.; Li, Z.; Wei, J. Hydroxyapatite Based Materials for Bone Tissue Engineering: A Brief and Comprehensive Introduction. Crystals 2021, 11, 149. [Google Scholar] [CrossRef]
- Dorozhkin, S.V. Calcium phosphates and human beings. J. Chem. Educ. 2006, 83, 713–719. [Google Scholar] [CrossRef]
- Lara-Ochoa, S.; Ortega-Lara, W.; Guerrero-Beltrán, C.E. Hydroxyapatite Nanoparticles in Drug Delivery: Physicochemistry and Applications. Pharmaceutics 2021, 13, 1642. [Google Scholar] [CrossRef]
- Rey, C.; Combes, C.; Drouet, C.; Sfihi, H.; Barroug, A. Physico-chemical properties of nanocrystalline apatites: Implications for biominerals and biomaterials. Mater. Sci. Eng. C 2007, 27, 198–205. [Google Scholar] [CrossRef]
- Zottler, E.; Gescheidt, G. Nitroxides: Versatile reporters and reactants. J. Chem. Res. 2011, 35, 257–267. [Google Scholar] [CrossRef]
- Wilcox, C.S. Effects of tempol and redox-cycling nitroxides in models of oxidative stress. Pharmacol. Ther. 2010, 126, 119–145. [Google Scholar] [CrossRef] [PubMed]
- Yoshitomi, T.; Nagasaki, Y. Nitroxide radical-containing nanoparticles for novel nanomedicine against oxidative stress injury. Nanomedicine 2011, 6, 509–518. [Google Scholar] [CrossRef] [PubMed]
- Lewandowski, M.; Gwozdzinski, K. Nitroxides as antioxidants and anticancer drugs. Int. J. Mol. Sci. 2017, 18, 2490. [Google Scholar] [CrossRef] [PubMed]
- Wessig, M.; Drescher, M.; Polarz, S. Probing functional group specific surface interactions in porous solids using ESR spectroscopy as a sensitive and quantitative tool. J. Phys. Chem. C 2013, 117, 2805–2816. [Google Scholar] [CrossRef]
- Khramtsov, V.V. In Vivo Spectroscopy and Imaging of Nitroxide Probes. In Nitroxides–Theory, Experiments and Applications, 1st ed.; Kokorin, A.I., Ed.; InTech Open: London, UK, 2012; pp. 317–346. [Google Scholar] [CrossRef]
- Xie, Y.; Zhang, K.; Yamauchi, Y.; Jia, Z. Nitroxide polymer gels for recyclable catalytic oxidation of primary alcohols to aldehydes. Polym. Chem. 2020, 11, 4155–4163. [Google Scholar] [CrossRef]
- Biedrzycka, A.; Skwarek, E.; Osypiuk, D.; Cristóvao, B. Synthesis of Hydroxyapatite/Iron Oxide Composite and Comparison of Selected Structural, Surface, and Electrochemical Properties. Materials 2022, 15, 1139. [Google Scholar] [CrossRef]
- Lin, W.-C.; Chuang, C.-C.; Wang, P.-T.; Tang, C.-M. A Comparative Study on the Direct and Pulsed Current Electrodeposition of Cobalt-Substituted Hydroxyapatite for Magnetic Resonance Imaging Application. Materials 2019, 12, 116. [Google Scholar] [CrossRef]
- Mondal, S.; Manivasagan, P.; Bharathiraja, S.; Santha Moorthy, M.; Kim, H.H.; Seo, H.; Lee, K.D.; Oh, J. Magnetic hydroxyapatite: A promising multifunctional platform for nanomedicine application. Int. J. Nanomed. 2017, 12, 8389–8410. [Google Scholar] [CrossRef]
- Yoder, C.; Pasteris, J.; Worcester, K.; Schermerhorn, D.; Sternlieb, M.; Goldenberg, J.; Wilt, Z. Dehydration and rehydration of carbonated fluor- and hydroxylapatite. Minerals 2012, 2, 100–117. [Google Scholar] [CrossRef]
- Altenbach–Multicomponent. Available online: https://sites.google.com/site/altenbach/labview-programs/epr-programs/multicomponent (accessed on 14 December 2021).
- Gomez-Morales, J.; Iafisco, M.; Manuel Delgado-Lopez, J.; Sarda, S.; Drouet, C. Progress on the preparation of nanocrystalline apatites and surface characterization: Overview of fundamental and applied aspects. Prog. Cryst. Growth Charact. Mater. 2013, 59, 1–46. [Google Scholar] [CrossRef]
- Spiess, A.N.; Neumeyer, N. An evaluation of R2 as an inadequate measure for nonlinear models in pharmacological and biochemical research: A Monte Carlo approach. BMC Pharmacol. 2010, 10, 6. [Google Scholar] [CrossRef] [PubMed]
- Hadi, M.; McKay, G.; Samarghandi, M.; Maleki, A.; Aminabad, M. Prediction of optimum adsorption isotherm: Comparison of chi-square and Log-likelihood statistics. Desalination Water Treat. 2012, 49, 81–94. [Google Scholar] [CrossRef]
- Akpa, O.M.; Unuabonah, E.I. Small-Sample Corrected Akaike Information Criterion: An appropriate statistical tool for ranking of adsorption isotherm models. Desalination 2011, 272, 20–26. [Google Scholar] [CrossRef]
- Motulsky, H.; Christopoulos, A. Fitting Models to Biological Data Using Linear and Nonlinear Regression. A Practical Guide to Curve Fitting, 1st ed.; GraphPad Software Inc.: San Diego, CA, USA, 2003; pp. 143–148. [Google Scholar]
- Foo, K.Y.; Hameed, B.H. Insights into the modeling of adsorption isotherm systems. Chem. Eng. J. 2010, 156, 2–10. [Google Scholar] [CrossRef]
- Yang, X.; Chasteen, N.D. Molecular diffusion into horse spleen ferritin: A nitroxide radical spin probe study. Biophys. J. 1996, 71, 1587–1595. [Google Scholar] [CrossRef]
- Doetschman, D.C.; Thomas, G.D. Molecular motions of nitroxyl radical spin probes in X-zeolites. Dependence on zeolite cation and spin probe chemical functional group. Chem. Phys. 1998, 228, 103–114. [Google Scholar] [CrossRef]
- Rootare, H.M.; Craig, R.G. Vapor phase adsorption of water on hydroxyapatite. J. Dent. Res. 1977, 56, 1437–1448. [Google Scholar] [CrossRef]
- Likhtenshtein, G.L.; Yamauchi, J.; Nakatsuji, S.; Smirnov, A.I.; Tamura, R. Nitroxides: Applications in Chemistry, Biomedicine, and Materials Science, 1st ed.; Wiley-VCH: Weinheim, Germany, 2008. [Google Scholar] [CrossRef]
- Ottaviani, M.F.; Garcia-Garibay, M.; Turro, N.J. TEMPO radicals as EPR probes to monitor the adsorption of different species into X zeolite. Colloids Surf. A 1993, 72, 321–332. [Google Scholar] [CrossRef]
- Budil, D.E.; Lee, S.; Saxena, S.; Freed, J.H. Nonlinear-least-squares analysis of slow-motion EPR spectra in one and two dimensions using a modified Levenberg-Marquardt algorithm. J. Magn. Reson. Ser. A 1996, 120, 155–189. [Google Scholar] [CrossRef]
- Catte, A.; White, G.F.; Wilson, M.R.; Oganesyan, V.S. Direct prediction of EPR spectra from lipid bilayers: Understanding structure and dynamics in biological membranes. Chemphyschem 2018, 19, 2183–2193. [Google Scholar] [CrossRef]
- Van der Est, A. Continuous-Wave EPR. eMagRes 2016, 5, 1411–1422. [Google Scholar] [CrossRef]
- Sackmann, E.; Träuble, H. Studies of the crystalline-liquid crystalline phase transition of lipid model membranes. II. Analysis of electron spin resonance spectra of steroid labels incorporated into lipid membranes. J. Am. Chem. Soc. 1972, 94, 4492–4498. [Google Scholar] [CrossRef] [PubMed]
- Vorobiev, A.K.; Chumakova, N.A. Simulation of rigid-limit and slow-motion EPR spectra for extraction of quantitative dynamic and orientational information. In Nitroxides–Theory, Experiments and Applications, 1st ed.; Kokorin, A.I., Ed.; InTech Open: London, UK, 2012; pp. 57–112. [Google Scholar] [CrossRef][Green Version]
- Sachse, J.H.; Marsh, D. Notes: Line intensities in spin-exchanged nitroxide ESR spectra. J. Magn. Reson. 1986, 68, 540–543. [Google Scholar] [CrossRef]
- Roessler, M.M.; Salvadori, E. Principles and applications of EPR spectroscopy in the chemical sciences. Chem. Soc. Rev. 2018, 47, 2534–2553. [Google Scholar] [CrossRef] [PubMed]
- Cordischi, D.; Occhiuzzi, M.; Dragone, R. Quantitative EPR spectroscopy: Comparison between primary standards and application to MgO-MnO and α-Al2O3-Cr2O3 solid solutions. Appl. Magn. Reson. 1999, 16, 427–445. [Google Scholar] [CrossRef]
- Ding, Y.; Nguyen, P.; Tangprasertchai, N.S.; Reyes Vazques, C.; Zhang, X.; Qin, P.Z. Nucleic acid structure and dynamics: Perspectives from site-directed spin labelling. Electron. Paramagn. Reson. 2015, 24, 122–147. [Google Scholar] [CrossRef]
- Kecki, Z.; Lyczkowski, B.; Kolodziejski, W. Critical comparison of empirical systems used to describe solvent properties. J. Solut. Chem. 1986, 15, 413–422. [Google Scholar] [CrossRef]
- Miaskiewicz, K.; Kolodziejski, W. Paramagnetic probe for molecular interactions: Part 4. UHF open-shell SCF study of the interaction of lithium cation with dimethylnitroxide radical. J. Mol. Struct. (THEOCHEM) 1990, 204, 15–20. [Google Scholar] [CrossRef]
- Ionita, P.; Caragheorgheopol, A.; Gilbert, B.C.; Chechik, V. Dipole−dipole interactions in spin-labeled Au nanoparticles as a measure of interspin distances. J. Phys. Chem. B 2005, 109, 3734–3742. [Google Scholar] [CrossRef]
- Kokorin, A.I. Forty years of the d1/d parameter. In Nitroxides–Theory, Experiments and Applications, 1st ed.; Kokorin, A.I., Ed.; InTech Open: London, UK, 2012; pp. 113–164. [Google Scholar]
- Kolmas, J.; Kolodziejski, W. Inverse 31P→1H NMR cross-polarization in hydrated nanocrystalline calcium hydroxyapatite. Chem. Phys. Lett. 2012, 554, 128–132. [Google Scholar] [CrossRef]
- Kaflak-Hachulska, A.; Samoson, A.; Kolodziejski, W. 1H MAS and 1H→31P CP/MAS NMR study of human bone mineral. Calcif. Tissue Int. 2003, 73, 476–486. [Google Scholar] [CrossRef] [PubMed]
- Mas-Torrent, M.; Crivillers, N.; Rovira, C.; Veciana, J. Attaching persistent organic free radicals to surfaces: How and why. Chem. Rev. 2012, 112, 2506–2527. [Google Scholar] [CrossRef] [PubMed]
- Katter, U.J.; Hill, T.; Risse, T.; Schlienz, H.; Beckendorf, M.; Kluner, T.; Hamann, H.; Freund, H.J. Adsorption of the stable radical di-tert-butyl nitroxide (DTBN) on an epitaxially grown Al2O3 film. J. Phys. Chem. B 1997, 101, 552–560. [Google Scholar] [CrossRef]
- Diallo-Garcia, S.; Osman, M.B.; Krafft, J.M.; Boujday, S.; Guylène, C. Discrimination of infrared fingerprints of bulk and surface POH and OH of hydroxyapatites. Catal. Today 2014, 226, 81–88. [Google Scholar] [CrossRef]
- Lunina, E.V. EPR spectroscopy of adsorbed nitroxides to investigate catalyst surfaces. Appl. Spectrosc. 1996, 50, 1413–1420. [Google Scholar] [CrossRef]
- Bertinetti, L.; Tampieri, A.; Landi, E.; Ducati, C.; Midgley, P.A.; Coluccia, S.; Martra, G. Surface structure, hydration, and cationic sites of nanohydroxyapatite: UHR-TEM, IR and microgravimetric studies. J. Phys. Chem. C 2007, 111, 4027–4035. [Google Scholar] [CrossRef]
- Kolodziejski, W.; Maciel, G.E. Multinuclear nuclear magnetic resonance study of LiClO4-solvent-nitroxide radical systems. J. Phys. Chem. 1983, 87, 4694–4699. [Google Scholar] [CrossRef]
- Kolodziejski, W. Paramagnetic probe for molecular interactions: I. EPR and electronic absorption studies of lithium cation solvation by a nitroxide radical. J. Solut. Chem. 1986, 15, 597–610. [Google Scholar] [CrossRef]
- Kolodziejski, W. Paramagnetic probe for molecular interactions: III. EPR and 23 Na NMR studies of ionic association and of sodium cation solvation by a nitroxide radical. J. Mol. Struct. 1987, 159, 335–343. [Google Scholar] [CrossRef]
- Vegas, A. Cations in inorganic solids. Crystallogr. Rev. 2000, 7, 189–283. [Google Scholar] [CrossRef]
- Bogart, L.K.; Pourroy, G.; Murphy, C.J.; Puntes, V.; Pellegrino, T.; Rosenblum, D.; Peer, D.; Lévy, R. Nanoparticles for imaging, sensing, and therapeutic intervention. ACS Nano 2014, 8, 3107–3122. [Google Scholar] [CrossRef] [PubMed]
- Hunold, J.; Eisermann, J.; Brehm, M.; Hinderberger, D. Characterization of aqueous lower-polarity solvation shells around amphiphilic 2,2,6,6-tetramethylpiperidine-1-oxyl radicals in water. J. Phys. Chem. B 2020, 124, 8601–8609. [Google Scholar] [CrossRef] [PubMed]
- Mugnaini, V.; Punta, C.; Liantonio, R.; Metrangolo, P.; Recupero, F.; Resnati, G.; Pedulli, G.F.; Lucarini, M. Noncovalent paramagnetic complexes: Detection of halogen bonding in solution by ESR spectroscopy. Tetrahedron Lett. 2006, 47, 3265–3269. [Google Scholar] [CrossRef]
- Zeglinski, J.; Nolan, M.; Thompson, D.; Tofail, S.A.M. Reassigning the most stable surface of hydroxyapatite to the water resistant hydroxyl terminated (010) surface. Surf. Sci. 2014, 623, 55–63. [Google Scholar] [CrossRef]
- Chiatti, F.; Piane, M.D.; Ugliengo, P.; Corno, M. Water at hydroxyapatite surfaces: The effect of coverage and surface termination as investigated by all-electron B3LYP-D * simulations. Theor. Chem. Acc. 2016, 135, 54. [Google Scholar] [CrossRef]
- Posner, A.S.; Perloff, A.; Diorio, A.F. Refinement of the hydroxyapatite structure. Acta Cryst. 1958, 11, 308–309. [Google Scholar] [CrossRef]
- Grampp, G.; Landgraf, S.; Rasmussen, K.; Strauss, S. Dimerization of organic free radicals in solution. 1. Temperature dependent measurements. Spectrochim. Acta A Mol. Biomol. Spectrosc. 2002, 58, 1219–1226. [Google Scholar] [CrossRef]
- Golubev, V.A.; Sen, V.D.; Kulyk, I.V.; Aleksandrov, A.L. Mechanism of the oxygen disproportionation of di-tert-alkylnitroxyl radicals. Izv. Akad. Nauk SSSR Ser. Khim. 1975, 10, 2235–2243. [Google Scholar]
- Yurpalov, V.L.; Fedorova, E.D.; Drozdov, V.A.; Lavrenov, A.V. Evaluation of the acidic properties of the B2O3–Al2O3 and Pt/B2O3–Al2O3 systems by spin probe EPR spectroscopy and their correlation with the occurrence of the joint hydroisomerization of heptane and benzene. Kinet. Catal. 2016, 57, 540–545. [Google Scholar] [CrossRef]
- Mastrogiacomo, S.; Dou, W.; Jansen, J.A.; Walboomers, F. Magnetic resonance imaging of hard tissues and hard tissue engineered bio-substitutes. Mol. Imaging Biol. 2019, 21, 1003–1019. [Google Scholar] [CrossRef]
- Nguyen, H.V.T.; Chen, Q.; Paletta, J.T.; Harvey, P.; Jiang, Y.; Zhang, H.; Boska, M.D.; Ottaviani, M.F.; Jasanoff, A.; Rajca, A.; et al. Nitroxide-based macromolecular contrast agents with unprecedented transverse relaxivity and stability for magnetic resonance imaging of tumours. ACS Cent. Sci. 2017, 3, 800–811. [Google Scholar] [CrossRef] [PubMed]
- Megiel, E. Surface modification using TEMPO and its derivatives. Adv. Colloid Interface Sci. 2017, 250, 158–184. [Google Scholar] [CrossRef] [PubMed]
- Prakash, N.; Rajeev, R.; John, A.; Vijayan, A.; George, L.; Varghese, A. 2,2,6,6-tetramethylpiperidinyloxyl (TEMPO) radical mediated electro-oxidation reactions: A review. ChemistrySelect 2021, 6, 7691–7710. [Google Scholar] [CrossRef]
- Rial, R.; Gonzalez-Durruthy, M.; Liu, Z.; Ruso, J.M. Advanced materials based on nanosized hydroxyapatite. Molecules 2021, 26, 3190. [Google Scholar] [CrossRef] [PubMed]









| Solvent | R2L | R2F | χ2L(×10−5) | χ2F(×10−5) | ΔAICc a | Evidence Ratio L/F b |
|---|---|---|---|---|---|---|
| HA83 | ||||||
| CH | 0.979 | 0.946 | 3.77 | 9.85 | 16.32 | 3498 |
| BuCl | 0.910 | 0.898 | 0.79 | 9.02 | 2.21 | 3 |
| HA259 | ||||||
| CH | 0.992 | 0.986 | 37.58 | 64.59 | 9.20 | 99 |
| BuCl | 0.996 | 0.990 | 1.96 | 4.66 | 14.72 | 1572 |
| Solvent | HA83 | HA259 | ε [L·mol−1·cm−1] | ||
|---|---|---|---|---|---|
| Q0 [mmol·g−1] | KL [L·mmol−1] | Q0 [mmol·g−1] | KL [L·mmol−1] | ||
| CH | 0.0493 ± 0.0014 | 0.351 ± 0.036 | 0.243 ± 0.006 | 0.292 ± 0.021 | 1836 |
| BuCl | 0.0139 ± 0.0030 | 0.072 ± 0.028 | 0.116 ± 0.006 | 0.061 ± 0.005 | 1922 |
| W | - | - | - | - | 2060 |
| Q0 | CH | BuCl | |||
|---|---|---|---|---|---|
| C0 | HA83 | HA259 | HA83 | HA259 | |
| c0 [mM] | 0.5 | 19.47 | 17.87 | 286.01 | 124.89 |
| 5 | 4.35 | 3.50 | 41.87 | 16.54 | |
| 14 | 3.35 | 2.24 | 22.32 | 8.08 | |
| Q0 | 2.81 | 1.77 | 9.95 | 3.71 | |
| Apatite | HA259 | HA83 | HA83 | HA83 | HA259 | HA83 | HA83 | HA83 | HA259 | HA259 | HA83 | HA83 |
|---|---|---|---|---|---|---|---|---|---|---|---|---|
| Solvent | CH | CH | CH | CH | BuCl | BuCl | BuCl | BuCl | W | W | W | W |
| Component | 1 | 1 | 2 | 3 | 1 | 1 | 2 | 3 | 2 | 3 | 2 | 3 |
| Contribution (%) | ||||||||||||
| 100 | 99.0–79.4 [0.5–16] | 1.1–20.6 [0.5–16] | 0.07–0.04 [1–4] | 100 | 98.0–80.0 [0.5–16] | 2.0–20.0 [0.5–16] | 0.06–0.04 [2–3] | 94.2 [8] 1 | 5.8 [8] 1 | 89.8 [8] 1 | 10.2 [8] 1 | |
| Nitrogen-14 hyperfine coupling tensor | ||||||||||||
| Axx (G) | 7.72 | 7.72 | 5.69 | 7.72 | 7.72 | 7.93 | 9.17 | 9.17 | 8.82 | 8.82 | ||
| Ayy (G) | 8.48 | 8.48 | 5.69 | 8.48 | 8.48 | 7.93 | 8.83 | 8.83 | 8.60 | 8.60 | ||
| Azz (G) | 37.70 | 37.70 | 38.85 | 37.70 | 37.70 | 34.54 | 33.10 | 33.10 | 33.63 | 33.63 | ||
| Aiso (G) | 17.28 | 17.28 | ||||||||||
| Line broadening, dynamic parameters and tilt angle | ||||||||||||
| Wiso (G) | 9.8–14.4 [0.5–16] | 14.4–16.7 [0.5–16] | 4.3–21.8 [0.5–16] | 3.0 [1–4] | 7.8–14.2 [0.5–16] | 14.4–17.3 [0.5–16] | 3.0–22.0 [0.5–16] | 3.0 [2–3] | 18.1 [8] 1 | 1.8 [8] 1 | 14.9 [8] 1 | 1.5 [8] 1 |
| νex (107 s−1) | 5.1–30.9 [0.5–16] | 30.2–246 [0.5–16] | 0 [0.5–16] 2 | 0 [1–4] 2 | 0.5–14.8 [2–16] | 15.5–224 [0.5–16] | 0 [0.5–16] 2 | 0 [2–3] 2 | 0 [8] 1 | 0 [8] 1 | 0 [8] 1 | 0 [8] 1 |
| τz (ns) | 3.5–11.8 [0.5–4] 3,4 | 0.06–0.24 [0.5–3] 3,5 | 3.8–17.5 [0.5–15] 3,5 | 0.06–0.44 [0.5–6] 3,5 | ||||||||
| τiso (ns) | 0.54 [0.5] 5 | <0.01 [1–4] 6 | 0.97–1.18 [0.5–1] 5 | <0.01 [2–3] 6 | 0.3 [8] 1,6 | 0.5 [8] 1,6 | 0.2 [8] 1,6 | 0.7 [8] 1,6 | ||||
| βD (degrees) | 90 [0.5–16] | 54 [0.5–16] | 0 7 | 0 7 | 90 [0.5–16] | 54 [0.5–16] | 0 7 | 0 7 | 0 7 | 0 7 | 0 7 | 0 7 |
Publisher’s Note: MDPI stays neutral with regard to jurisdictional claims in published maps and institutional affiliations. |
© 2022 by the authors. Licensee MDPI, Basel, Switzerland. This article is an open access article distributed under the terms and conditions of the Creative Commons Attribution (CC BY) license (https://creativecommons.org/licenses/by/4.0/).
Share and Cite
Byra, N.; Krukowski, S.; Sadlo, J.; Kolodziejski, W. Composites Containing Nanohydroxyapatites and a Stable TEMPO Radical: Preparation and Characterization Using Spectrophotometry, EPR and 1H MAS NMR. Materials 2022, 15, 2043. https://doi.org/10.3390/ma15062043
Byra N, Krukowski S, Sadlo J, Kolodziejski W. Composites Containing Nanohydroxyapatites and a Stable TEMPO Radical: Preparation and Characterization Using Spectrophotometry, EPR and 1H MAS NMR. Materials. 2022; 15(6):2043. https://doi.org/10.3390/ma15062043
Chicago/Turabian StyleByra, Natalia, Sylwester Krukowski, Jaroslaw Sadlo, and Waclaw Kolodziejski. 2022. "Composites Containing Nanohydroxyapatites and a Stable TEMPO Radical: Preparation and Characterization Using Spectrophotometry, EPR and 1H MAS NMR" Materials 15, no. 6: 2043. https://doi.org/10.3390/ma15062043
APA StyleByra, N., Krukowski, S., Sadlo, J., & Kolodziejski, W. (2022). Composites Containing Nanohydroxyapatites and a Stable TEMPO Radical: Preparation and Characterization Using Spectrophotometry, EPR and 1H MAS NMR. Materials, 15(6), 2043. https://doi.org/10.3390/ma15062043

