Sol-Gel Synthesis and Characterization of the Cu-Mg-O System for Chemical Looping Application
Abstract
1. Introduction
2. Materials and Methods
2.1. Preparation of the Samples
2.1.1. Sol-Gel Synthesis of Cu-Mg-OH and Cu-Mg-O Systems
2.1.2. Preparation of Bulk CuO
2.2. Characterization and Testing of the Prepared Samples
2.2.1. Low-Temperature Nitrogen Adsorption
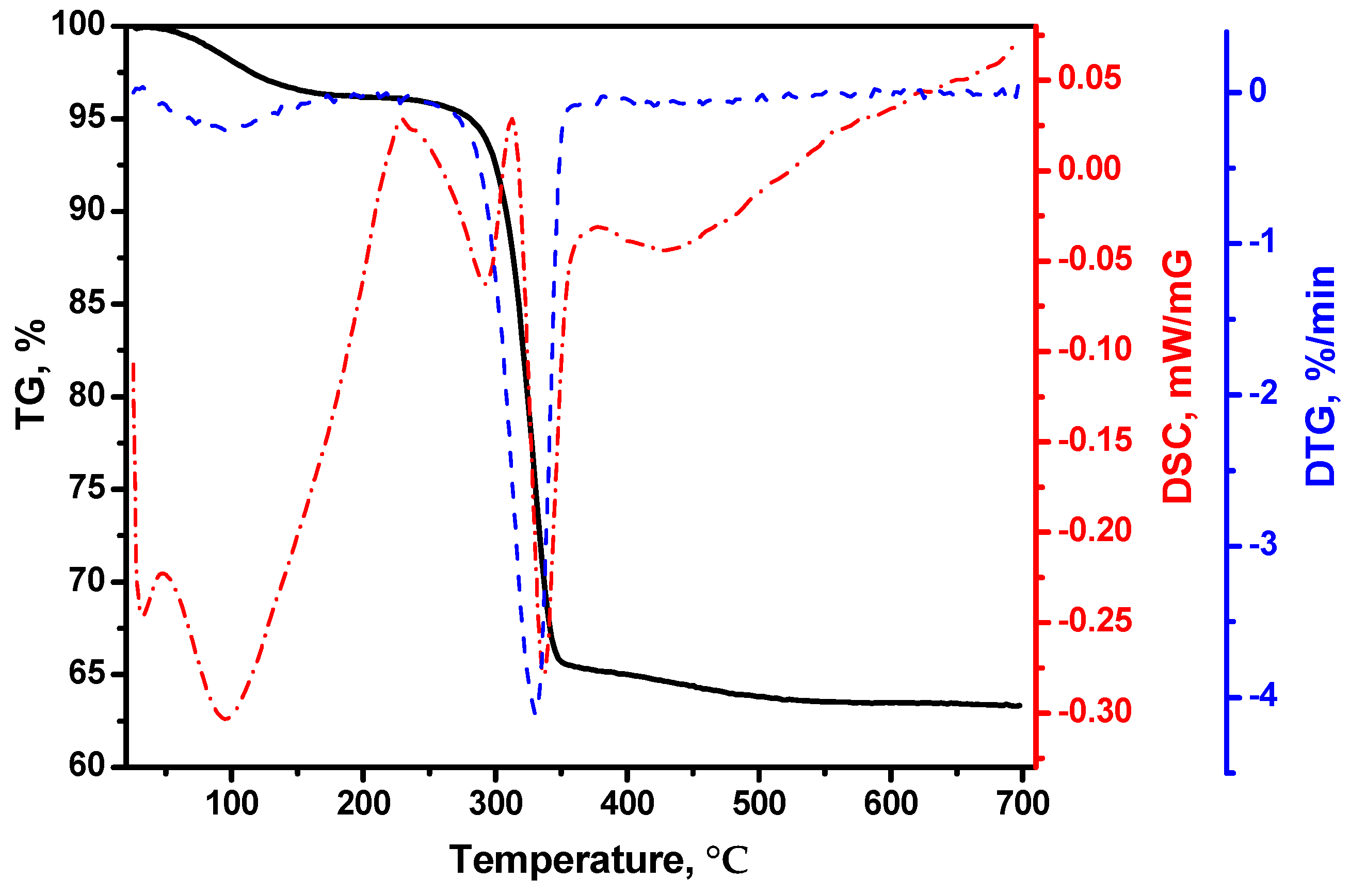
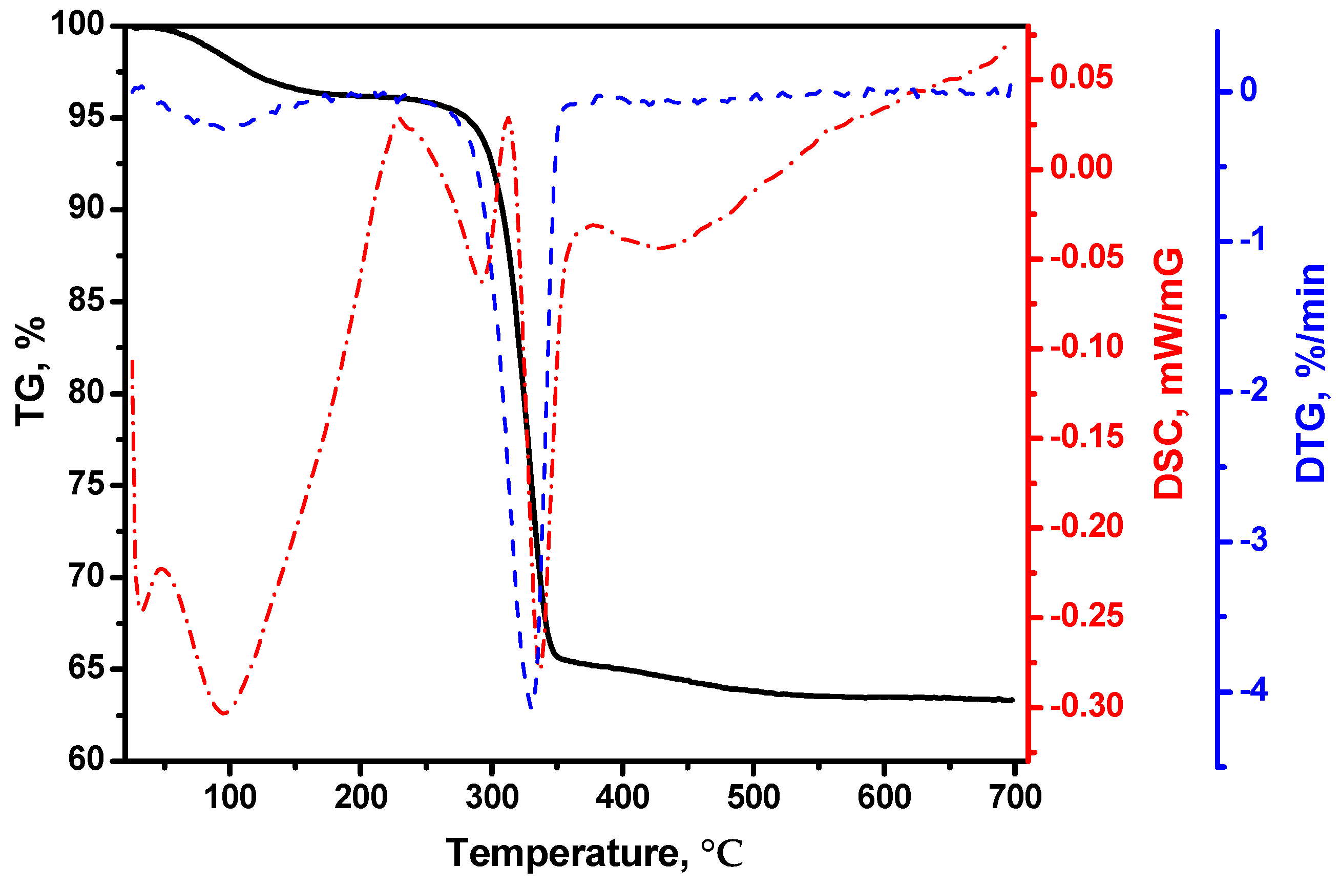
2.2.2. Differential Thermal Analysis (DTA)
2.2.3. Scanning Electron Microscopy (SEM)
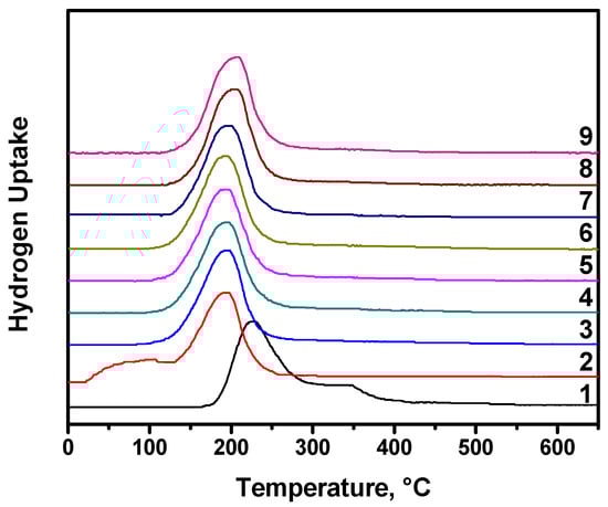
2.2.4. Temperature-Programmed Reduction (H2-TPR)
2.2.5. Temperature-Programmed Reduction/Oxidation Cycling
2.2.6. In Situ X-ray Diffraction Analysis at the Temperature-Programmed Reduction/Oxidation Conditions
3. Results and Discussion
4. Conclusions
Author Contributions
Funding
Institutional Review Board Statement
Informed Consent Statement
Data Availability Statement
Acknowledgments
Conflicts of Interest
References
- Lin, X.; Zhang, Y.; Yin, L.; Chen, C.; Zhan, Y.; Li, D. Characterization and catalytic performance of copper-based WGS catalysts derived from copper ferrite. Int. J. Hydrogen Energy 2014, 39, 6424–6432. [Google Scholar] [CrossRef]
- Shishido, T.; Yamamoto, M.; Atake, I.; Li, D.; Tian, Y.; Morioka, H.; Honda, M.; Sano, T.; Takehira, K. Cu/Zn-based catalysts improved by adding magnesium for water–gas shift reaction. J. Mol. Catal. A-Chem. 2006, 253, 270–278. [Google Scholar] [CrossRef]
- Atake, I.; Nishida, K.; Li, D.; Shishido, T.; Oumi, Y.; Sano, T.; Takehira, K. Catalytic behavior of ternary Cu/ZnO/Al2O3 systems prepared by homogeneous precipitation in water-gas shift reaction. J. Mol. Catal. A-Chem. 2007, 275, 130–138. [Google Scholar] [CrossRef]
- Nishida, K.; Atake, I.; Li, D.; Shishido, T.; Oumi, Y.; Sano, T.; Takehira, K. Effects of noble metal-doping on Cu/ZnO/Al2O3 catalysts for water–gas shift reaction. Appl. Catal. A-Gen. 2008, 337, 48–57. [Google Scholar] [CrossRef]
- Sagata, K.; Imazu, N.; Yahiro, H. Study on factors controlling catalytic activity for low-temperature water–gas-shift reaction on Cu-based catalysts. Catal. Today 2013, 201, 145–150. [Google Scholar] [CrossRef]
- Shishido, T.; Nishimura, S.; Yoshinaga, Y.; Ebitani, K.; Teramura, K.; Tanaka, T. High sustainability of Cu–Al–Ox catalysts against daily start-up and shut-down (DSS)-like operation in the water–gas shift reaction. Catal. Commun. 2009, 10, 1057–1061. [Google Scholar] [CrossRef]
- Li, L.; Song, L.; Wang, H.; Chen, C.; She, Y.; Zhan, Y.; Lin, X.; Zheng, Q. Water-gas shift reaction over CuO/CeO2 catalysts: Effect of CeO2 supports previously prepared by precipitation with different precipitants. Int. J. Hydrogen Energy 2011, 36, 8839–8849. [Google Scholar] [CrossRef]
- Tanaka, Y. Water gas shift reaction for the reformed fuels over Cu/MnO catalysts prepared via spinel-type oxide. J. Catal. 2003, 215, 271–278. [Google Scholar] [CrossRef]
- Yousefi Amiri, T.; Moghaddas, J. Cogeled copper–silica aerogel as a catalyst in hydrogen production from methanol steam reforming. Int. J. Hydrogen Energy 2015, 40, 1472–1480. [Google Scholar] [CrossRef]
- Turco, M.; Cammarano, C.; Bagnasco, G.; Moretti, E.; Storaro, L.; Talon, A.; Lenarda, M. Oxidative methanol steam reforming on a highly dispersed CuO/CeO2/Al2O3 catalyst prepared by a single-step method. Appl. Catal. B-Environ. 2009, 91, 101–107. [Google Scholar] [CrossRef]
- Clancy, P.; Breen, J.P.; Ross, J.R.H. The preparation and properties of coprecipitated Cu–Zr–Y and Cu–Zr–La catalysts used for the steam reforming of methanol. Catal. Today 2007, 127, 291–294. [Google Scholar] [CrossRef]
- Díez-Martín, L.; Grasa, G.; Murillo, R.; Martini, M.; Gallucci, F.; van Sint Annaland, M. Determination of the oxidation kinetics of high loaded CuO-based materials under suitable conditions for the Ca/Cu H2 production process. Fuel 2018, 219, 76–87. [Google Scholar] [CrossRef]
- Song, W.; Perez Ferrandez, D.M.; van Haandel, L.; Liu, P.; Nijhuis, T.A.; Hensen, E.J.M. Selective Propylene Oxidation to Acrolein by Gold Dispersed on MgCuCr2O4 Spinel. ACS Catal. 2015, 5, 1100–1111. [Google Scholar] [CrossRef]
- Li, G.; Vassilev, P.; Sanchez-Sanchez, M.; Lercher, J.A.; Hensen, E.J.M.; Pidko, E.A. Stability and reactivity of copper oxo-clusters in ZSM-5 zeolite for selective methane oxidation to methanol. J. Catal. 2016, 338, 305–312. [Google Scholar] [CrossRef]
- Gonçalves, R.V.; Wojcieszak, R.; Wender, H.; Dias, C.S.B.; Vono, L.L.R.; Eberhardt, D.; Teixeira, S.R.; Rossi, L.M. Easy Access to Metallic Copper Nanoparticles with High Activity and Stability for CO Oxidation. ACS Appl. Mater. Interf. 2015, 7, 7987–7994. [Google Scholar] [CrossRef]
- Acharyya, S.S.; Ghosh, S.; Adak, S.; Tripathi, D.; Bal, R. Fabrication of CuCr2O4 spinel nanoparticles: A potential catalyst for the selective oxidation of cycloalkanes via activation of Csp3–H bond. Catal. Commun. 2015, 59, 145–150. [Google Scholar] [CrossRef]
- Liu, C.-H.; Lai, N.-C.; Lee, J.-F.; Chen, C.-S.; Yang, C.-M. SBA-15-supported highly dispersed copper catalysts: Vacuum–thermal preparation and catalytic studies in propylene partial oxidation to acrolein. J. Catal. 2014, 316, 231–239. [Google Scholar] [CrossRef]
- Senanayake, S.D.; Stacchiola, D.; Rodriguez, J.A. Unique Properties of Ceria Nanoparticles Supported on Metals: Novel Inverse Ceria/Copper Catalysts for CO Oxidation and the Water-Gas Shift Reaction. Acc. Chem. Res. 2013, 46, 1702–1711. [Google Scholar] [CrossRef]
- Belin, S.; Bracey, C.L.; Briois, V.; Ellis, P.R.; Hutchings, G.J.; Hyde, T.I.; Sankar, G. CuAu/SiO2 catalysts for the selective oxidation of propene to acrolein: The impact of catalyst preparation variables on material structure and catalytic performance. Catal. Sci. Technol. 2013, 3, 2944–2957. [Google Scholar] [CrossRef]
- Duzenli, D.; Seker, E.; Senkan, S.; Onal, I. Epoxidation of Propene by High-Throughput Screening Method Over Combinatorially Prepared Cu Catalysts Supported on High and Low Surface Area Silica. Catal. Lett. 2012, 142, 1234–1243. [Google Scholar] [CrossRef]
- Bracey, C.L.; Carley, A.F.; Edwards, J.K.; Ellis, P.R.; Hutchings, G.J. Understanding the effect of thermal treatments on the structure of CuAu/SiO2 catalysts and their performance in propene oxidation. Catal. Sci. Technol. 2011, 1, 76–85. [Google Scholar] [CrossRef]
- Tüysüz, H.; Galilea, J.L.; Schüth, F. Highly Diluted Copper in a Silica Matrix as Active Catalyst for Propylene Oxidation to Acrolein. Catal. Lett. 2009, 131, 49–53. [Google Scholar] [CrossRef]
- Su, W.; Wang, S.; Ying, P.; Feng, Z.; Li, C. A molecular insight into propylene epoxidation on Cu/SiO2 catalysts using O2 as oxidant. J. Catal. 2009, 268, 165–174. [Google Scholar] [CrossRef]
- Desyatykh, I.V.; Vedyagin, A.A.; Kotolevich, Y.S.; Tsyrul’nikov, P.G. Preparation of CuO-CeO2 catalysts deposited on glass cloth by surface self-propagating thermal synthesis. Combust. Explos. Shock Waves 2011, 47, 677–682. [Google Scholar] [CrossRef]
- Desyatykh, I.V.; Vedyagin, A.A.; Mishakov, I.V.; Shubin, Y.V. CO oxidation over fiberglasses with doped Cu-Ce-O catalytic layer prepared by surface combustion synthesis. Appl. Surf. Sci. 2015, 349, 21–26. [Google Scholar] [CrossRef]
- Hu, Q.; Fan, G.; Yang, L.; Li, F. Aluminum-Doped Zirconia-Supported Copper Nanocatalysts: Surface Synergistic Catalytic Effects in the Gas-Phase Hydrogenation of Esters. ChemCatChem 2014, 6, 3501–3510. [Google Scholar] [CrossRef]
- Dhakshinamoorthy, A.; Navalon, S.; Sempere, D.; Alvaro, M.; Garcia, H. Reduction of alkenes catalyzed by copper nanoparticles supported on diamond nanoparticles. Chem. Commun. 2013, 49, 2359–2361. [Google Scholar] [CrossRef]
- Ungureanu, A.; Dragoi, B.; Chirieac, A.; Royer, S.; Duprez, D.; Dumitriu, E. Synthesis of highly thermostable copper-nickel nanoparticles confined in the channels of ordered mesoporous SBA-15 silica. J. Mater. Chem. 2011, 21, 12529–12541. [Google Scholar] [CrossRef]
- Munnik, P.; Wolters, M.; Gabrielsson, A.; Pollington, S.D.; Headdock, G.; Bitter, J.H.; de Jongh, P.E.; de Jong, K.P. Copper Nitrate Redispersion To Arrive at Highly Active Silica-Supported Copper Catalysts. J. Phys. Chem. C 2011, 115, 14698–14706. [Google Scholar] [CrossRef]
- Ponomareva, E.A.; Krasnikova, I.V.; Egorova, E.V.; Mishakov, I.V.; Vedyagin, A.A. Ethanol dehydrogenation over copper supported on carbon macrofibers. Mendeleev Commun. 2017, 27, 210–212. [Google Scholar] [CrossRef]
- Shelepova, E.V.; Ilina, L.Y.; Vedyagin, A.A. Theoretical predictions on dehydrogenation of methanol over copper-silica catalyst in a membrane reactor. Catal. Today 2019, 331, 35–42. [Google Scholar] [CrossRef]
- Shelepova, E.V.; Vedyagin, A.A.; Ilina, L.Y.; Nizovskii, A.I.; Tsyrulnikov, P.G. Synthesis of carbon-supported copper catalyst and its catalytic performance in methanol dehydrogenation. Appl. Surf. Sci. 2017, 409, 291–295. [Google Scholar] [CrossRef]
- Vedyagin, A.; Kotolevich, Y.; Tsyrulikov, P.; Khramov, E.; Nizovskii, A. Methanol dehydrogenation over Cu/SiO2 catalysts. Int. J. Nanotechnol. 2016, 13, 185–199. [Google Scholar] [CrossRef]
- Patel, A.; Shukla, P.; Pan, G.T.; Chong, S.; Rudolph, V.; Zhu, Z. Influence of copper loading on mesoporous alumina for catalytic NO reduction in the presence of CO. J. Environ. Chem. Eng. 2017, 5, 2350–2361. [Google Scholar] [CrossRef]
- Torreabreu, C.; Ribeiro, M.; Henriques, C.; Delahay, G. NO TPD and H2-TPR studies for characterisation of CuMOR catalysts The role of Si/Al ratio, copper content and cocation. Appl. Catal. B-Environ. 1997, 14, 261–272. [Google Scholar] [CrossRef]
- Popescu, I.; Tanchoux, N.; Tichit, D.; Marcu, I.-C. Total oxidation of methane over supported CuO: Influence of the MgxAlyO support. Appl. Catal. A-Gen. 2017, 538, 81–90. [Google Scholar] [CrossRef]
- Adanez, J.; Abad, A.; Garcia-Labiano, F.; Gayan, P.; de Diego, L.F. Progress in Chemical-Looping Combustion and Reforming technologies. Prog. Energy Combust. Sci. 2012, 38, 215–282. [Google Scholar] [CrossRef]
- Wang, P.; Means, N.; Shekhawat, D.; Berry, D.; Massoudi, M. Chemical-Looping Combustion and Gasification of Coals and Oxygen Carrier Development: A Brief Review. Energies 2015, 8, 10605–10635. [Google Scholar] [CrossRef]
- Pease, R.N.; Taylor, H.S. The Reduction of Copper Oxide by Hydrogen. J. Am. Chem. Soc. 2002, 43, 2179–2188. [Google Scholar] [CrossRef][Green Version]
- Hierl, R. Surface properties and reduction behavior of calcined CuO/Al2O3 and CuO-NiO/Al2O3 catalysts. J. Catal. 1981, 69, 475–486. [Google Scholar] [CrossRef]
- Dumas, J.M.; Geron, C.; Kribii, A.; Barbier, J. Preparation of supported copper catalysts. Appl. Catal. 1989, 47, L9–L15. [Google Scholar] [CrossRef]
- Zhan, L.; Zhu, X.; Qin, X.; Wu, M.; Li, X. Sintering mechanism of copper nanoparticle sphere-plate of crystal misalignment: A study by molecular dynamics simulations. J. Mater. Res. Technol. 2021, 12, 668–678. [Google Scholar] [CrossRef]
- Kikugawa, M.; Yamazaki, K.; Shinjoh, H. Characterization and catalytic activity of CuO/TiO2-ZrO2 for low temperature CO oxidation. Appl. Catal. A-Gen. 2017, 547, 199–204. [Google Scholar] [CrossRef]
- Barnes, P.A.; Tiernan, M.J.; Parkes, G.M.B. Sample Controlled Thermal Analysis Temperature Programmed Reduction of Bulk and Supported Copper Oxide. J. Therm. Anal. Calorim. 1999, 56, 733–737. [Google Scholar] [CrossRef]
- Vedyagin, A.A.; Nizovskii, A.I.; Golohvast, K.S.; Tsyrulnikov, P.G. Nanocomposites on the basis of layered silicates as the catalysts for the dehydrogenation of methanol. Nanotechnol. Russ. 2014, 9, 693–699. [Google Scholar] [CrossRef]
- Din, I.U.; Shaharun, M.S.; Naeem, A.; Tasleem, S.; Rafie Johan, M. Carbon nanofibers based copper/zirconia catalysts for carbon dioxide hydrogenation to methanol: Effect of copper concentration. Chem. Eng. J. 2018, 334, 619–629. [Google Scholar] [CrossRef]
- Sun, C.; Zhu, J.; Lv, Y.; Qi, L.; Liu, B.; Gao, F.; Sun, K.; Dong, L.; Chen, Y. Dispersion, reduction and catalytic performance of CuO supported on ZrO2-doped TiO2 for NO removal by CO. Appl. Catal. B-Environ. 2011, 103, 206–220. [Google Scholar] [CrossRef]
- Pepe, F. Catalytic behavior and surface chemistry of copper/alumina catalysts for isopropanol decomposition. J. Catal. 1985, 91, 69–77. [Google Scholar] [CrossRef]
- Friedman, R. Characterization of Cu/Al2O3 catalysts. J. Catal. 1978, 55, 10–28. [Google Scholar] [CrossRef]
- Lai, N.-C.; Tsai, M.-C.; Liu, C.-H.; Chen, C.-S.; Yang, C.-M. Efficient selective oxidation of propylene by dioxygen on mesoporous-silica-nanoparticle-supported nanosized copper. J. Catal. 2018, 365, 411–419. [Google Scholar] [CrossRef]
- Takahashi, N.; Suda, A.; Hachisuka, I.; Sugiura, M.; Sobukawa, H.; Shinjoh, H. Sulfur durability of NOx storage and reduction catalyst with supports of TiO2, ZrO2 and ZrO2-TiO2 mixed oxides. Appl. Catal. B-Environ. 2007, 72, 187–195. [Google Scholar] [CrossRef]
- Ito, K.; Kakino, S.; Ikeue, K.; Machida, M. NO adsorption/desorption property of TiO2–ZrO2 having tolerance to SO2 poisoning. Appl. Catal. B-Environ. 2007, 74, 137–143. [Google Scholar] [CrossRef]
- Venezia, A.M.; Di Carlo, G.; Pantaleo, G.; Liotta, L.F.; Melaet, G.; Kruse, N. Oxidation of CH4 over Pd supported on TiO2-doped SiO2: Effect of Ti(IV) loading and influence of SO2. Appl. Catal. B-Environ. 2009, 88, 430–437. [Google Scholar] [CrossRef]
- Deerattrakul, V.; Dittanet, P.; Sawangphruk, M.; Kongkachuichay, P. CO2 hydrogenation to methanol using Cu-Zn catalyst supported on reduced graphene oxide nanosheets. J. CO2 Util. 2016, 16, 104–113. [Google Scholar] [CrossRef]
- Sun, Y.; Chen, L.; Bao, Y.; Wang, G.; Zhang, Y.; Fu, M.; Wu, J.; Ye, D. Roles of nitrogen species on nitrogen-doped CNTs supported Cu-ZrO2 system for carbon dioxide hydrogenation to methanol. Catal. Today 2018, 307, 212–223. [Google Scholar] [CrossRef]
- Kang, I.; Heung, Y.Y.; Kim, J.H.; Lee, J.W.; Gollapudi, R.; Subramaniam, S.; Narasimhadevara, S.; Hurd, D.; Kirikera, G.R.; Shanov, V.; et al. Introduction to carbon nanotube and nanofiber smart materials. Compos. Part B-Eng. 2006, 37, 382–394. [Google Scholar] [CrossRef]
- Karnaukhov, T.M.; Vedyagin, A.A.; Cherepanova, S.V.; Rogov, V.A.; Stoyanovskii, V.O.; Mishakov, I.V. Study on reduction behavior of two-component Fe Mg O oxide system prepared via a sol-gel technique. Int. J. Hydrogen Energy 2017, 42, 30543–30549. [Google Scholar] [CrossRef]
- Vedyagin, A.A.; Karnaukhov, T.M.; Cherepanova, S.V.; Stoyanovskii, V.O.; Rogov, V.A.; Mishakov, I.V. Synthesis of binary Co–Mg–O oxide system and study of its behavior in reduction/oxidation cycling. Int. J. Hydrogen Energy 2019, 44, 20690–20699. [Google Scholar] [CrossRef]
- Karnaukhov, T.M.; Vedyagin, A.A.; Cherepanova, S.V.; Rogov, V.A.; Mishakov, I.V. Sol–gel synthesis and characterization of the binary Ni–Mg–O oxide system. J. Sol-Gel Sci. Technol. 2019, 92, 208–214. [Google Scholar] [CrossRef]
- Veselov, G.B.; Karnaukhov, T.M.; Bauman, Y.I.; Mishakov, I.V.; Vedyagin, A.A. Sol-Gel-Prepared Ni-Mo-Mg-O System for Catalytic Transformation of Chlorinated Organic Wastes into Nanostructured Carbon. Materials 2020, 13, 4404. [Google Scholar] [CrossRef]
- Vedyagin, A.A.; Mishakov, I.V.; Karnaukhov, T.M.; Krivoshapkina, E.F.; Ilyina, E.V.; Maksimova, T.A.; Cherepanova, S.V.; Krivoshapkin, P.V. Sol–gel synthesis and characterization of two-component systems based on MgO. J. Sol-Gel Sci. Technol. 2017, 82, 611–619. [Google Scholar] [CrossRef]
- Nakonieczny, D.S.; Antonowicz, M.; Paszenda, Z.K.; Radko, T.; Drewniak, S.; Bogacz, W.; Krawczyk, C. Experimental investigation of particle size distribution and morphology of alumina-yttria-ceria-zirconia powders obtained via sol–gel route. Biocyber. Biomed. Eng. 2018, 38, 535–543. [Google Scholar] [CrossRef]
- Mashayekh-Salehi, A.; Moussavi, G.; Yaghmaeian, K. Preparation, characterization and catalytic activity of a novel mesoporous nanocrystalline MgO nanoparticle for ozonation of acetaminophen as an emerging water contaminant. Chem. Eng. J. 2017, 310, 157–169. [Google Scholar] [CrossRef]
- Ouraipryvan, P.; Sreethawong, T.; Chavadej, S. Synthesis of crystalline MgO nanoparticle with mesoporous-assembled structure via a surfactant-modified sol–gel process. Mater. Lett. 2009, 63, 1862–1865. [Google Scholar] [CrossRef]
- Possato, L.G.; Gonçalves, R.G.L.; Santos, R.M.M.; Chaves, T.F.; Briois, V.; Pulcinelli, S.H.; Martins, L.; Santilli, C.V. Sol-gel synthesis of nanocrystalline MgO and its application as support in Ni/MgO catalysts for ethanol steam reforming. Appl. Surf. Sci. 2021, 542, 148744. [Google Scholar] [CrossRef]
- Alhaji, A.; Razavi, R.S.; Ghasemi, A.; Loghman-Estarki, M.R. Modification of Pechini sol–gel process for the synthesis of MgO-Y2O3 composite nanopowder using sucrose-mediated technique. Ceram. Int. 2017, 43, 2541–2548. [Google Scholar] [CrossRef]
- Barad, C.; Kimmel, G.; Shamir, D.; Hirshberg, K.; Gelbstein, Y. Lattice variations in nanocrystalline Y2O3 confined in magnesia (MgO) matrix. J. Alloys Compd. 2019, 801, 375–380. [Google Scholar] [CrossRef]
- Bayal, N.; Jeevanandam, P. Synthesis of TiO2−MgO mixed metal oxide nanoparticles via a sol−gel method and studies on their optical properties. Ceram. Int. 2014, 40, 15463–15477. [Google Scholar] [CrossRef]
- Todan, L.; Dascalescu, T.; Preda, S.; Andronescu, C.; Munteanu, C.; Culita, D.C.; Rusu, A.; State, R.; Zaharescu, M. Porous nanosized oxide powders in the MgO-TiO2 binary system obtained by sol-gel method. Ceram. Int. 2014, 40, 15693–15701. [Google Scholar] [CrossRef]
- Ahmed, K.; Rabah, M.; Khaled, M.; Mohamed, B.; Mokhtar, M. Optical and structural properties of Mn doped MgO powders synthesized by Sol-gel process. Optik 2016, 127, 8253–8258. [Google Scholar] [CrossRef]
- Xu, S.; Li, J.; Kou, H.; Shi, Y.; Pan, Y.; Guo, J. Spark plasma sintering of Y2O3–MgO composite nanopowder synthesized by the esterification sol–gel route. Ceram. Int. 2015, 41, 3312–3317. [Google Scholar] [CrossRef]
- Karnaukhov, T.; Vedyagin, A.; Mishakov, I.; Bedilo, A.; Volodin, A. Synthesis and Characterization of Nanocrystalline M-Mg-O and Carbon-Coated MgO Systems. Mater. Sci. Forum 2018, 917, 157–161. [Google Scholar] [CrossRef]
- Tsubota, M.; Kitagawa, J. A necessary criterion for obtaining accurate lattice parameters by Rietveld method. Sci. Rep. 2017, 7, 15381. [Google Scholar] [CrossRef] [PubMed]
- Małecka, B.; Łącz, A.; Drożdż, E.; Małecki, A. Thermal decomposition of d-metal nitrates supported on alumina. J. Therm. Anal. Calorim. 2014, 119, 1053–1061. [Google Scholar] [CrossRef]
- Dhaouadi, H.; Chaabane, H.; Touati, F. Mg(OH)2 Nanorods Synthesized by A Facile Hydrothermal Method in the Presence of CTAB. Nano-Micro Lett. 2011, 3, 153–159. [Google Scholar] [CrossRef]
- Chen, Y.; Zhou, T.; Fang, H.; Li, S.; Yao, Y.; He, Y. A Novel Preparation of Nano-sized Hexagonal Mg(OH)2. Proc. Eng. 2015, 102, 388–394. [Google Scholar] [CrossRef]
- Ilyina, E.V.; Mishakov, I.V.; Vedyagin, A.A.; Cherepanova, S.V.; Nadeev, A.N.; Bedilo, A.F.; Klabunde, K.J. Synthesis and characterization of mesoporous VOx/MgO aerogels with high surface area. Microporous Mesoporous Mater. 2012, 160, 32–40. [Google Scholar] [CrossRef]






| Sample | SSA, m2/g | Vpores, cm3/g | Dav, nm |
|---|---|---|---|
| Cu-Mg-OH | 410 ± 12 | 1.23 ± 1.1 | 12 ± 2 |
| Cu-Mg-O | 120 ± 4 | 1.04 ± 1.0 | 33 ± 4 |
| Phase (wt%) | Initial | After Reduction | After Oxidation | |||
|---|---|---|---|---|---|---|
| a, Å | <D>, nm | a, Å | <D>, nm | Lattice Parameter | <D>, nm | |
| MgO | 4.222(1) | 8 | 4.220(1) | 12 | a = 4.216(1) Å | 16 |
| Cu (13%) | - | - | 3.621(1) | 10 | - | - |
| CuO (6%) | - | - | - | - | a = 4.691(2) Å b = 3.423(1) Å c = 5.137(2) Å β = 99.42(3) ° | 25 |
Publisher’s Note: MDPI stays neutral with regard to jurisdictional claims in published maps and institutional affiliations. |
© 2022 by the authors. Licensee MDPI, Basel, Switzerland. This article is an open access article distributed under the terms and conditions of the Creative Commons Attribution (CC BY) license (https://creativecommons.org/licenses/by/4.0/).
Share and Cite
Karnaukhov, T.M.; Veselov, G.B.; Cherepanova, S.V.; Vedyagin, A.A. Sol-Gel Synthesis and Characterization of the Cu-Mg-O System for Chemical Looping Application. Materials 2022, 15, 2021. https://doi.org/10.3390/ma15062021
Karnaukhov TM, Veselov GB, Cherepanova SV, Vedyagin AA. Sol-Gel Synthesis and Characterization of the Cu-Mg-O System for Chemical Looping Application. Materials. 2022; 15(6):2021. https://doi.org/10.3390/ma15062021
Chicago/Turabian StyleKarnaukhov, Timofey M., Grigory B. Veselov, Svetlana V. Cherepanova, and Aleksey A. Vedyagin. 2022. "Sol-Gel Synthesis and Characterization of the Cu-Mg-O System for Chemical Looping Application" Materials 15, no. 6: 2021. https://doi.org/10.3390/ma15062021
APA StyleKarnaukhov, T. M., Veselov, G. B., Cherepanova, S. V., & Vedyagin, A. A. (2022). Sol-Gel Synthesis and Characterization of the Cu-Mg-O System for Chemical Looping Application. Materials, 15(6), 2021. https://doi.org/10.3390/ma15062021

