Plasma Electrolytic Oxidation of Zr-1%Nb Alloy: Effect of Sodium Silicate and Boric Acid Addition to Calcium Acetate-Based Electrolyte
Abstract
:1. Introduction
2. Materials and Methods
2.1. Plasma Electrolytic Oxidation
2.2. Surface Characterization
2.3. Electrochemical Tests
2.4. Apatite Forming Ability Test
3. Results and Discussion
3.1. Process Characteristics for PEO of Zirconium Alloy
3.2. Surface Morfology
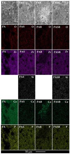
3.3. Elemental and Phase Composition of the PEO Coatings
3.4. SBF Test
3.5. Wettability Tests of the Coatings
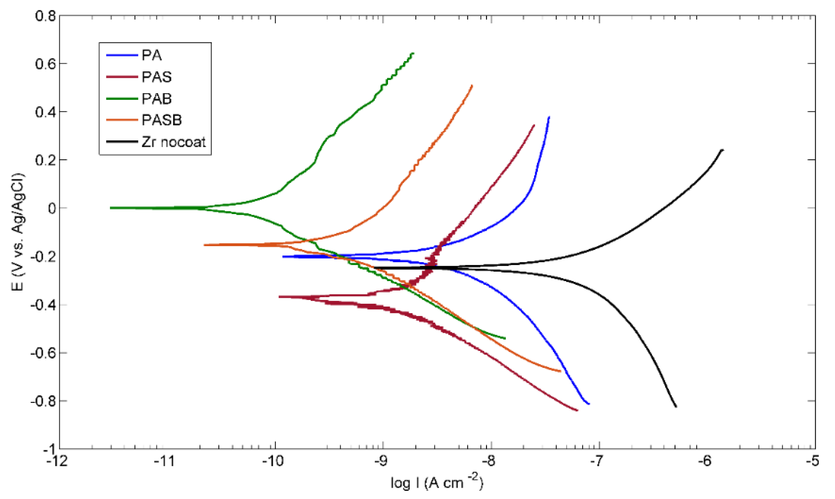
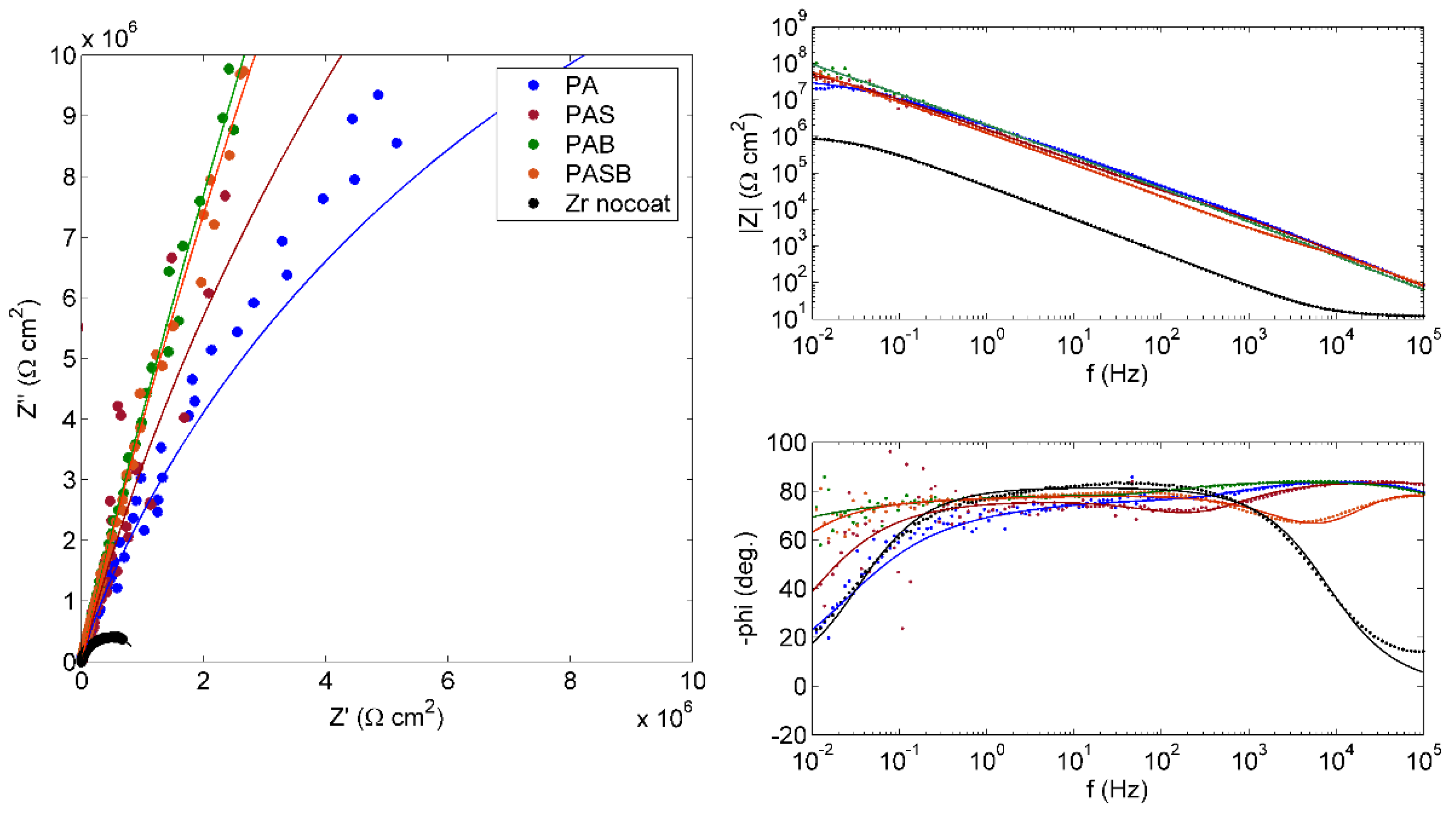
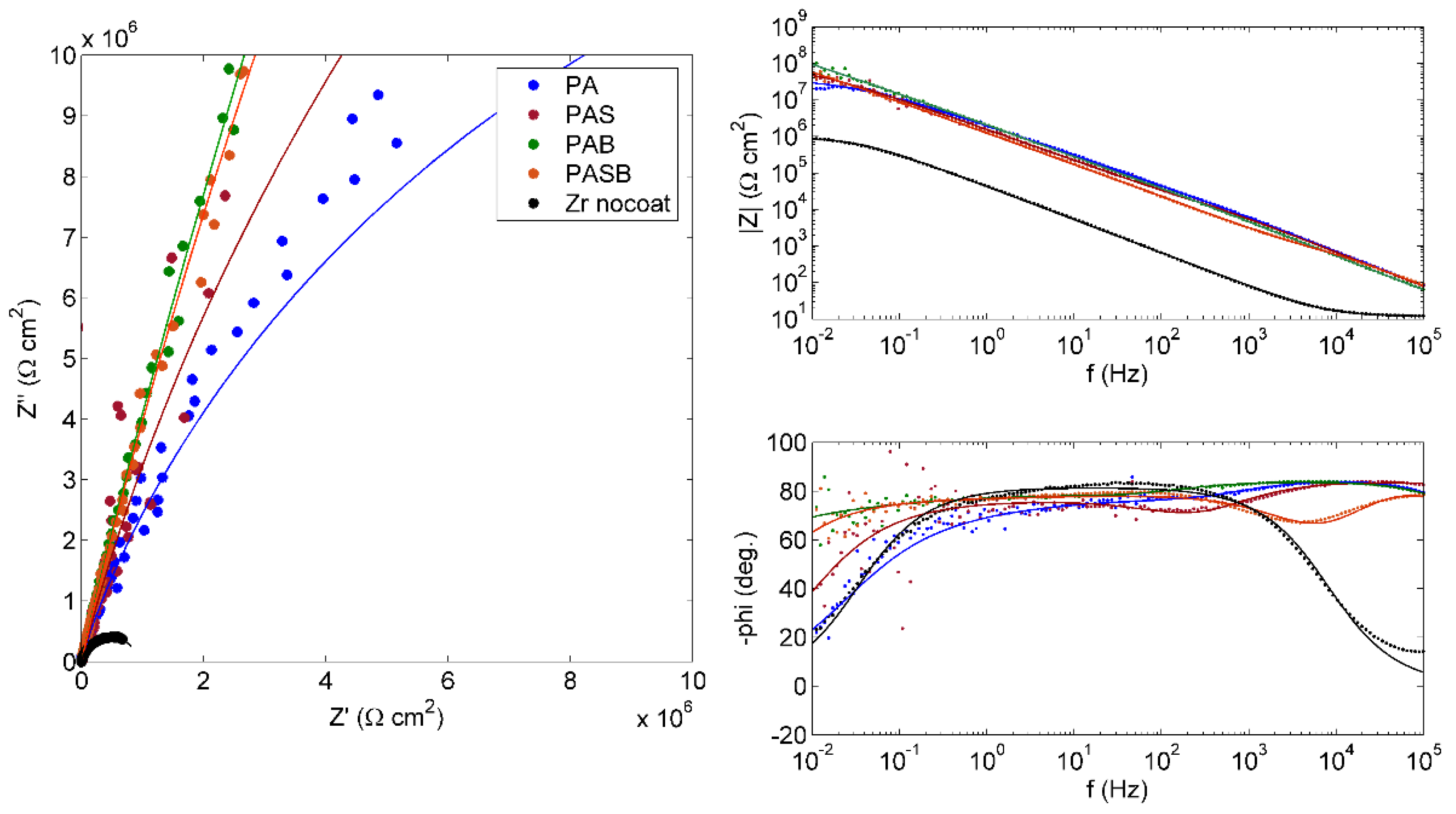
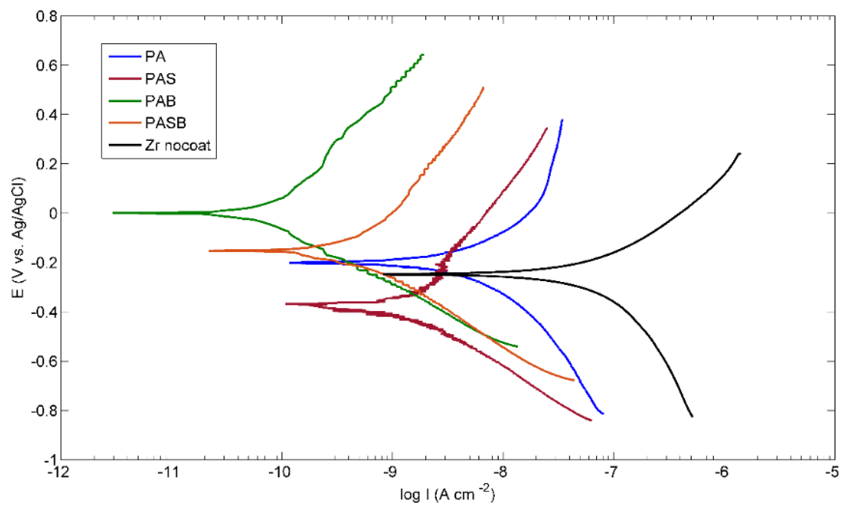
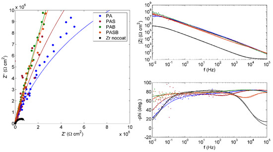
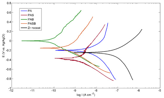
3.6. Electrochemical Behavior of the Uncoated and PEO Coated Samples
3.7. Tribological Tests
4. Conclusions
- The boric acid addition decreases pore size in the coating thickness, making the coating denser. As a result of improving the morphology, the corrosion and wear resistance of the coating increased significantly.
- It is assumed that within the PEO process mechanism, the boron compounds reduce the melting temperature and viscosity of the oxide film during microdischarge events. In this case, the solidification of the melt occurs rather slowly, and the cavity-pore in the coating formed by the gas bubble has more time to fill up. Thus, a reduction in pore size is achieved.
- The addition of sodium silicate to the electrolyte composition leads to coarsening of the pore size on the surface of the coating and an increase in the coefficient of friction. A less wear-resistant surface was obtained compared to experiments without silicate additives. It should be noted that this additive increases the hydrophobicity of the surface.
- The best precipitation of hydroxyapatites from the SBF was observed in the experiment in the PA and PAB electrolytes. On the surface of the coating obtained in an electrolyte with the addition of silicate, the amount of hydroxyapatites was small and not captured by the SEM method.
- PAB, which provides the highest corrosion and wear resistance;
- PA, which provides the highest amount of calcium phosphate compounds and a high coefficient of friction, favorable for reliable contact of the implant with the bone tissue.
Author Contributions
Funding
Institutional Review Board Statement
Informed Consent Statement
Data Availability Statement
Acknowledgments
Conflicts of Interest
References
- Mehjabeen, A.; Song, T.; Xu, W.; Tang, H.P.; Qian, M. Zirconium Alloys for Orthopaedic and Dental Applications. Adv. Eng. Mater. 2018, 20, 1–21. [Google Scholar] [CrossRef]
- Gomez Sanchez, A.; Ballarre, J.; Orellano, J.C.; Duffó, G.; Ceré, S. Surface Modification of Zirconium by Anodisation as Material for Permanent Implants: In Vitro and in Vivo Study. J. Mater. Sci. Mater. Med. 2013, 24, 161–169. [Google Scholar] [CrossRef] [PubMed]
- He, X.; Reichl, F.-X.; Milz, S.; Michalke, B.; Wu, X.; Sprecher, C.M.; Yang, Y.; Gahlert, M.; Röhling, S.; Kniha, H.; et al. Titanium and Zirconium Release from Titanium- and Zirconia Implants in Mini Pig Maxillae and Their Toxicity in Vitro. Dent. Mater. 2020, 36, 402–412. [Google Scholar] [CrossRef] [PubMed]
- Sedelnikova, M.B.; Komarova, E.G.; Sharkeev, Y.P.; Tolkacheva, T.V.; Khlusov, I.A.; Litvinova, L.S.; Yurova, K.A.; Shupletsova, V.V. Comparative investigations of structure and properties of micro-arc wollastonite-calcium phosphate coatings on titanium and zirconium-niobium alloy. Bioact. Mater. 2017, 3, 177–184. [Google Scholar] [CrossRef]
- Yan, Y.; Han, Y. Structure and Bioactivity of Micro-Arc Oxidized Zirconia Films. Surf. Coat. Technol. 2007, 201, 5692–5695. [Google Scholar] [CrossRef]
- Sandhyarani, M.; Rameshbabu, N.; Venkateswarlu, K.; Rama Krishna, L. Fabrication, Characterization and in-Vitro Evaluation of Nanostructured Zirconia/Hydroxyapatite Composite Film on Zirconium. Surf. Coat. Technol. 2014, 238, 58–67. [Google Scholar] [CrossRef]
- Oliveira, N.T.C.; Biaggio, S.R.; Rocha-Filho, R.C.; Bocchi, N. Electrochemical Studies on Zirconium and Its Biocompatible Alloys Ti-50Zr at.% and Zr-2.5Nb Wt.% in Simulated Physiologic Media. J. Biomed. Mater. Res. 2005, 74A, 397–407. [Google Scholar] [CrossRef]
- Aristizabal, M.; Jamshidi, P.; Saboori, A.; Cox, S.C.; Attallah, M.M. Laser Powder Bed Fusion of a Zr-Alloy: Tensile Properties and Biocompatibility. Mater. Lett. 2020, 259, 126897. [Google Scholar] [CrossRef]
- Rosalbino, F.; Macciò, D.; Giannoni, P.; Quarto, R.; Saccone, A. Study of the in Vitro Corrosion Behavior and Biocompatibility of Zr-2.5Nb and Zr-1.5Nb-1Ta (At%) Crystalline Alloys. J. Mater. Sci. Mater. Med. 2011, 22, 1293–1302. [Google Scholar] [CrossRef]
- Sandhyarani, M.; Rameshbabu, N.; Venkateswarlu, K.; Sreekanth, D.; Subrahmanyam, C. Surface Morphology, Corrosion Resistance and in Vitro Bioactivity of P Containing ZrO2 Films Formed on Zr by Plasma Electrolytic Oxidation. J. Alloy Compd. 2013, 553, 324–332. [Google Scholar] [CrossRef]
- Fattah-alhosseini, A.; Chaharmahali, R.; Keshavarz, M.K.; Babaei, K. Surface Characterization of Bioceramic Coatings on Zr and Its Alloys Using Plasma Electrolytic Oxidation (PEO): A Review. Surf. Interfaces 2021, 25, 101283. [Google Scholar] [CrossRef]
- Sowa, M.; Simka, W. Effect of DC Plasma Electrolytic Oxidation on Surface Characteristics and Corrosion Resistance of Zirconium. Materials 2018, 11, 723. [Google Scholar] [CrossRef] [PubMed] [Green Version]
- Xue, W.; Zhu, Q.; Jin, Q.; Hua, M. Characterization of Ceramic Coatings Fabricated on Zirconium Alloy by Plasma Electrolytic Oxidation in Silicate Electrolyte. Mater. Chem. Phys. 2010, 120, 656–660. [Google Scholar] [CrossRef]
- Cengiz, S.; Uzunoglu, A.; Huang, S.M.; Stanciu, L.; Tarakci, M.; Gencer, Y. An In-Vitro Study: The Effect of Surface Properties on Bioactivity of the Oxide Layer Fabricated on Zr Substrate by PEO. Surf. Interfaces 2021, 22, 100884. [Google Scholar] [CrossRef]
- Aktuğ, S.L.; Durdu, S.; Yalçın, E.; Çavuşoğlu, K.; Usta, M. In Vitro Properties of Bioceramic Coatings Produced on Zirconium by Plasma Electrolytic Oxidation. Surf. Coat. Technol. 2017, 324, 129–139. [Google Scholar] [CrossRef]
- Byon, E.; Jeong, Y.; Takeuchi, A.; Kamitakahara, M.; Ohtsuki, C. Apatite-Forming Ability of Micro-Arc Plasma Oxidized Layer of Titanium in Simulated Body Fluids. Surf. Coat. Technol. 2007, 201, 5651–5654. [Google Scholar] [CrossRef]
- Kokubo, T.; Kushitani, H.; Sakka, S.; Kitsugi, T.; Yamamuro, T. Solutions Able to Reproducein Vivo Surface-Structure Changes in Bioactive Glass-Ceramic A-W3. J. Biomed. Mater. Res. 1990, 24, 721–734. [Google Scholar] [CrossRef]
- Sukumaran, A.; Rahulan, N. Effect of ZrO2 Nanoparticle Coating on Pure Zirconium by PEO-EPD Method. In Proceedings of the AIP Conference Proceedings, Selangor Darul Ehsan, Malaysia, 3–4 July 2019; AIP Publishing LLC: College Park, MD, USA, 2019; p. 050009. [Google Scholar]
- Arun, S.; Hariprasad, S.; Saikiran, A.; Ravisankar, B.; Parfenov, E.V.; Mukaeva, V.R.; Rameshbabu, N. The Effect of Graphite Particle Size on the Corrosion and Wear Behaviour of the PEO-EPD Coating Fabricated on Commercially Pure Zirconium. Surf. Coat. Technol. 2019, 363, 301–313. [Google Scholar] [CrossRef]
- Wu, J.; Lu, P.; Dong, L.; Zhao, M.; Li, D.; Xue, W. Combination of Plasma Electrolytic Oxidation and Pulsed Laser Deposition for Preparation of Corrosion-Resisting Composite Film on Zirconium Alloys. Mater. Lett. 2020, 262, 127080. [Google Scholar] [CrossRef]
- Farrakhov, R.G.; Parfenov, E.V.; Mukaeva, V.R.; Gorbatkov, M.V.; Tarasov, P.V.; Fatkullin, A.R.; Rameshbabu, N.; Ravisankar, B. Effect of Electrolyte Composition on Protective Properties of the PEO Coating on Zr–1Nb Zirconium Alloy. Surf. Engin. Appl.Electrochem. 2019, 55, 514–521. [Google Scholar] [CrossRef]
- Chen, Y.; Nie, X.; Northwood, D.O. Investigation of Plasma Electrolytic Oxidation (PEO) Coatings on a Zr–2.5Nb Alloy Using High Temperature/Pressure Autoclave and Tribological Tests. Surf. Coat. Technol. 2010, 205, 1774–1782. [Google Scholar] [CrossRef]
- Wang, L.; Hu, X.; Nie, X. Deposition and Properties of Zirconia Coatings on a Zirconium Alloy Produced by Pulsed DC Plasma Electrolytic Oxidation. Surf. Coat. Technol. 2013, 221, 150–157. [Google Scholar] [CrossRef]
- Cengiz, S.; Gencer, Y. The Characterization of the Oxide Based Coating Synthesized on Pure Zirconium by Plasma Electrolytic Oxidation. Surf. Coat. Technol. 2014, 242, 132–140. [Google Scholar] [CrossRef]
- Malayoğlu, U.; Tekin, K.C.; Malayoğlu, U.; Belevi, M. Mechanical and Electrochemical Properties of PEO Coatings on Zirconium Alloy. Surf. Eng. 2020, 36, 800–808. [Google Scholar] [CrossRef]
- Apelfeld, A.V.; Borisov, A.M.; Krit, B.L.; Ludin, V.B.; Polyansky, M.N.; Romanovsky, E.A.; Savushkina, S.V.; Suminov, I.V.; Tkachenko, N.V.; Vinogradov, A.V.; et al. The Study of Plasma Electrolytic Oxidation Coatings on Zr and Zr-1% Nb Alloy at Thermal Cycling. Surf. Coat. Technol. 2015, 269, 279–285. [Google Scholar] [CrossRef]
- Sandhyarani, M.; Prasadrao, T.; Rameshbabu, N. Role of Electrolyte Composition on Structural, Morphological and in-Vitro Biological Properties of Plasma Electrolytic Oxidation Films Formed on Zirconium. Appl. Surf. Sci. 2014, 317, 198–209. [Google Scholar] [CrossRef]
- Cengiz, S.; Uzunoglu, A.; Stanciu, L.; Tarakci, M.; Gencer, Y. Direct Fabrication of Crystalline Hydroxyapatite Coating on Zirconium by Single-Step Plasma Electrolytic Oxidation Process. Surf. Coat. Technol. 2016, 301, 74–79. [Google Scholar] [CrossRef]
- Cengiz, S.; Azakli, Y.; Tarakci, M.; Stanciu, L.; Gencer, Y. Microarc Oxidation Discharge Types and Bio Properties of the Coating Synthesized on Zirconium. Mater. Sci. Eng. C 2017, 77, 374–383. [Google Scholar] [CrossRef]
- Aktug, S.L.; Kutbay, I.; Usta, M. Characterization and Formation of Bioactive Hydroxyapatite Coating on Commercially Pure Zirconium by Micro Arc Oxidation. J. Alloy Compd. 2017, 695, 998–1004. [Google Scholar] [CrossRef]
- Aktug, S.L.; Durdu, S.; Aktas, S.; Yalcin, E.; Usta, M. Characterization and Investigation of in Vitro Properties of Antibacterial Copper Deposited on Bioactive ZrO2 Coatings on Zirconium. Thin Solid Film. 2019, 681, 69–77. [Google Scholar] [CrossRef]
- Cengiz, S.; Azakli, Y.; Yazici, M.; Gayretli, B.; Gencer, Y.; Tarakci, M. Effects of the Addition of Calcium Acetate into Silicate-Based Electrolytes on the Properties of MAO Coatings Produced on Zirconium. Acta Phys. Pol. A 2016, 129, 504–508. [Google Scholar] [CrossRef]
- Shen, M.J.; Wang, X.J.; Zhang, M.F. High-Compactness Coating Grown by Plasma Electrolytic Oxidation on AZ31 Magnesium Alloy in the Solution of Silicate–Borax. Appl. Surf. Sci. 2012, 259, 362–366. [Google Scholar] [CrossRef]
- Zhang, R.F.; Zhang, S.F.; Shen, Y.L.; Zhang, L.H.; Liu, T.Z.; Zhang, Y.Q.; Guo, S.B. Influence of Sodium Borate Concentration on Properties of Anodic Coatings Obtained by Micro Arc Oxidation on Magnesium Alloys. Appl. Surf. Sci. 2012, 258, 6602–6610. [Google Scholar] [CrossRef]
- Sreekanth, D.; Rameshbabu, N.; Venkateswarlu, K.; Subrahmanyam, C.; Rama Krishna, L.; Prasad Rao, K. Effect of K2TiF6 and Na2B4O7 as Electrolyte Additives on Pore Morphology and Corrosion Properties of Plasma Electrolytic Oxidation Coatings on ZM21 Magnesium Alloy. Surf. Coat. Technol. 2013, 222, 31–37. [Google Scholar] [CrossRef]
- Kosenko, A.; Kolomeichenko, A.V.; Kuznetsov, Y.A.; Titov, N.V.; Solovyev, R.Y.; Sharifullin, S.N. Investigation of Coating Thickness Obtained by Plasma Electrolytic Oxidation on Aluminium Alloys in Electrolytes of Type «KOH-H3BO3 ». J. Phys. Conf. Ser. 2018, 1058, 012065. [Google Scholar] [CrossRef]
- Mukaeva, V.R.; Gorbatkov, M.V.; Farrakhov, R.G.; Lazarev, D.M.; Stotskiy, A.G.; Parfenov, E.V. Advanced Plasma Electrolysis Research Equipment with In-Situ Process Diagnostics. In Proceedings of the 2020 International Conference on Electrotechnical Complexes and Systems (ICOECS), Ufa, Russia, 27–30 October 2020; IEEE: Piscataway, NJ, USA, 2020; pp. 1–4. [Google Scholar]
- Okada, M.; Matsumoto, T. Synthesis and Modification of Apatite Nanoparticles for Use in Dental and Medical Applications. Jpn. Dent. Sci. Rev. 2015, 51, 85–95. [Google Scholar] [CrossRef] [Green Version]
- Gorbatkov, M.V.; Parfenov, E.V.; Tarasov, P.V.; Mukaeva, V.R.; Farrakhov, R.G. Method for measuring coating thickness during the process of plasma electrolytic oxidation. RU Patent 2668344 C1, 27 November 2011. [Google Scholar]
- Gao, Y.; Yerokhin, A.; Parfenov, E.; Matthews, A. Application of Voltage Pulse Transient Analysis during Plasma Electrolytic Oxidation for Assessment of Characteristics and Corrosion Behaviour of Ca- and P-Containing Coatings on Magnesium. Electrochim. Acta 2014, 149, 218–230. [Google Scholar] [CrossRef]
- BS EN ISO 4287:2000; Geometrical Product Specification (GPS). Surface Texture. Profile Method. Terms. Definitions and Surface Texture Parameters. International organization for Standardization: Geneva, Switzerland, 2019.
- Akpinar, S. The effect of surface-treated anhydrous borax additions on hard porcelain properties. Ceram.-Silik. 2019, 2, 204–212. [Google Scholar] [CrossRef] [Green Version]
- Turkmen, O.; Kucuk, A.; Akpinar, S. Effect of Wollastonite Addition on Sintering of Hard Porcelain. Ceram. Int. 2015, 41, 5505–5512. [Google Scholar] [CrossRef]
- Yerokhin, A.L.; Snizhko, L.O.; Gurevina, N.L.; Leyland, A.; Pilkington, A.; Matthews, A. Discharge Characterization in Plasma Electrolytic Oxidation of Aluminium. J. Phys. D Appl. Phys. 2003, 36, 2110–2120. [Google Scholar] [CrossRef]
- Dunleavy, C.S.; Golosnoy, I.O.; Curran, J.A.; Clyne, T.W. Characterisation of Discharge Events during Plasma Electrolytic Oxidation. Surf. Coat. Technol. 2009, 203, 3410–3419. [Google Scholar] [CrossRef] [Green Version]
- Matykina, E.; Arrabal, R.; Skeldon, P.; Thompson, G.E.; Wang, P.; Wood, P. Plasma Electrolytic Oxidation of a Zirconium Alloy under AC Conditions. Surf. Coat. Technol. 2010, 204, 2142–2151. [Google Scholar] [CrossRef]
- Aktuğ, S.L.; Durdu, S.; Yalçın, E.; Çavuşoğlu, K.; Usta, M. Bioactivity and Biocompatibility of Hydroxyapatite-Based Bioceramic Coatings on Zirconium by Plasma Electrolytic Oxidation. Mater. Sci. Eng. C 2017, 71, 1020–1027. [Google Scholar] [CrossRef] [PubMed]
- Kokubo, T.; Takadama, H. Simulated Body Fluid (SBF) as a Standard Tool to Test the Bioactivity of Implants. In Handbook of Biomineralization; Buerlein, E., Ed.; Wiley-VCH Verlag GmbH: Weinheim, Germany, 2007; pp. 97–109. ISBN 978-3-527-61944-3. [Google Scholar]
- Gnedenkov, S.V.; Scharkeev, Y.P.; Sinebryukhov, S.L.; Khrisanfova, O.A.; Legostaeva, E.V.; Zavidnaya, A.G.; Puz’, A.V.; Khlusov, I.A. Formation and Properties of Bioactive Surface Layers on Titanium. Inorg. Mater. Appl. Res. 2011, 2, 474–481. [Google Scholar] [CrossRef]
- Zheltikov, A. Impedance Spectroscopy: Theory, Experiment, and Applications, 2nd ed.; Barsoukov, E., Ross Macdonald, J., Eds.; John Wiley & Sons, Inc.: Hoboken, NJ, USA, 2005; p. 595. [Google Scholar]












| Nb | O | Hf | Fe | Ca | C | Ni | Cr | Si | Zr |
|---|---|---|---|---|---|---|---|---|---|
| 1.10 | 0.10 | 0.05 | 0.05 | 0.03 | 0.02 | 0.02 | 0.02 | 0.02 | Balance |
| Sample Code | Electrolyte Composition | Electrolyte Conductivity (S cm−1) | pH |
|---|---|---|---|
| PA | 15 g L−1 Na3PO4∙12 H2O + 25 g L−1 Ca(CH3COO)2·1 H2O + 1 g L−1 NaOH | 14.77 ± 0.05 | 10.5 ± 0.1 |
| PAS | 15 g L−1 Na3PO4∙12 H2O + 25 g L−1 Ca(CH3COO)2·1 H2O + 1 g L−1 NaOH + 10 g L−1 Na2SiO3∙12 H2O | 15.77 ± 0.06 | 11.1 ± 0.1 |
| PAB | 15 g L−1 Na3PO4∙12 H2O + 25 g L−1 Ca(CH3COO)2·1 H2O + 1 g L−1 NaOH + 1 g L−1 H3BO3 | 14.96 ± 0.04 | 8.4 ± 0.1 |
| PASB | 15 g L−1 Na3PO4∙12 H2O + 25 g L−1 Ca(CH3COO)2·1 H2O + 1 g L−1 NaOH + 10 g L−1 Na2SiO3∙12 H2O + 1 g L−1 H3BO3 | 16.15 ± 0.07 | 9.9 ± 0.1 |
| Sample Code | Coating Thickness h, µm | Inner Layer Thickness, d, µm | Roughness | ||
|---|---|---|---|---|---|
| Ra, µm | Rmax, µm | RPc, Pieces/cm | |||
| PA | 14.7 ± 0.8 | 1.8 ± 0.3 | 1.66 ± 0.2 | 13.26 ± 1.67 | 147 ± 9 |
| PAS | 13.9 ± 1.1 | 2.2 ± 0.2 | 1.51 ± 0.18 | 11.22 ± 0.25 | 118 ± 6 |
| PAB | 15.7 ± 2.6 | 1.7 ± 0.3 | 1.62 ± 0.07 | 14.03 ± 0.64 | 130 ± 11 |
| PASB | 17.5 ± 2.0 | 1.7 ± 0.2 | 1.76 ± 0.13 | 15.88 ± 0.74 | 122 ± 11 |
| Zr nocoat | - | - | 0.052 ± 0.003 | 0.61 ± 0.10 | 1 ± 1 |
| Sample Code | Content of the Elements in the Coating (wt%) | |||||
|---|---|---|---|---|---|---|
| O | Zr | Si | Ca | Nb | P | |
| PA | 24.4 ± 0.7 | 68.8 ± 2.3 | - | 5.6 ± 0.4 | 1.2 ± 0.3 | - |
| PAS | 24.7 ± 0.7 | 66.6 ± 1.8 | 2.13 ± 0.3 | 5.3 ± 0.5 | 1.2 ± 0.3 | - |
| PAB | 27.5 ± 0.8 | 62.8 ± 1.6 | - | 8.1 ± 0.4 | 1.1 ± 0.3 | 0.5 ± 0.3 |
| PASB | 26.2 ± 0.7 | 61.8 ± 1.5 | 2.8 ± 0.4 | 8.6 ± 0.4 | 0.7 ± 0.3 | - |
| Sample Code | Content of the Crystalline Phases in the Coating (wt%) | |
|---|---|---|
| t-ZrO2 | m-ZrO2 | |
| PA | 94 ± 6 | 6 ± 4 |
| PAS | 72 ± 5 | 28 ± 2 |
| PAB | 93 ± 6 | 7 ± 1 |
| PASB | 83 ± 6 | 17 ± 1 |
| Sample Code | Content of the Elements in the Coating (wt%) | ||||||
|---|---|---|---|---|---|---|---|
| O | Zr | Si | Ca | Nb | P | Ca/P | |
| PA | 41.1 ± 0.8 | 11.1 ± 1.0 | - | 32.1 ± 1.9 | 0.2 ± 0.1 | 15.5 ± 0.8 | 1.6 ± 0.2 |
| PAS | 24.7 ± 0.9 | 66.6 ± 1.1 | 2.6 ± 0.4 | 5.0 ± 0.2 | 1.1 ± 0.2 | - | - |
| PAB | 26.3 ± 0.8 | 62.4 ± 1.1 | - | 8.3 ± 0.3 | 1.0 ± 0.2 | 2.0 ± 0.3 | 3.2 ± 0.7 |
| PASB | 28.6 ± 0.7 | 63.2 ± 0.8 | 2.2 ± 0.2 | 5.0 ± 0.3 | 1.0 ± 0.2 | - | - |
| Sample Code | Content of the Crystalline Phases in the Coating (wt%) | ||
|---|---|---|---|
| t-ZrO2 | m-ZrO2 | Hydroxyapatite | |
| PA | 68 ± 5 | 7 ± 2 | 25 ± 2 |
| PAS | 79 ± 5 | 21 ± 2 | - |
| PAB | 75 ± 5 | 7 ± 1 | 18 ± 2 |
| PASB | 85 ± 6 | 15 ± 2 | - |
| Sample Code | Ecorr (V vs. Ag/AgCl) | icorr (nA·cm−2) | Rp (MΩ cm2) |
|---|---|---|---|
| Zr | −0.248 ± 0.03 | 51.7 ± 10.4 | 1.15 ± 0.231 |
| PA | −0.201 ± 0.02 | 7.58 ± 1.90 | 13.2 ± 9.13 |
| PAS | −0.381 ± 0.004 | 1.42 ± 0.43 | 62.7 ± 28.3 |
| PAB | 0.000 ± 0.01 | 0.086 ± 0.031 | 781 ± 277 |
| PASB | −0.152 ± 0.02 | 0.63 ± 0.36 | 132 ± 76.7 |
| Sample Code | Parameters of the Equivalent Circuits | |||||
|---|---|---|---|---|---|---|
| R2 (Ω cm2) | R3 (Ω cm2) | CPE1-Q (Fn−1·cm−2) | CPE1-n | CPE2-Q (Fn−1·cm−2) | CPE2-n | |
| Zr | 9.36 × 105 ± 1.11·× 104 | - | 4.41·× 10−6 ± 2.61·× 10−8 | 0.91 ± 0.001 | - | - |
| PA | 4.48·× 104 ± 1.70·× 104 | 3.92·× 107 ± 1.30·× 106 | 3.98·× 10−8 ± 3.61·× 10−9 | 0.95 ± 0.008 | 8.04·× 10−8 ± 3.76·× 10−9 | 0.69 ± 0.009 |
| PAS | 3.43·× 104 ± 9.32·× 103 | 7.83·× 107 ± 6.57·× 106 | 4.86·× 10−8 ± 6.90·× 10−9 | 0.93 ± 0.013 | 9.01·× 10−8 ± 7.41·× 10−9 | 0.78 ± 0.009 |
| PAB | 2.59·× 105 ± 9.33·× 104 | 1.58·× 109 ± 8.44·× 108 | 6.02·× 10−8 ± 2.77·× 10−9 | 0.93 ± 0.004 | 4.37·× 10−8 ± 2.78·× 10−9 | 0.71 ± 0.012 |
| PASB | 1.25·× 103 ± 1.31·× 102 | 2.47·× 108 ± 2.46·× 107 | 1.41·× 10−7 ± 7.19·× 10−9 | 0.83 ± 0.002 | 2.83·× 10−8 ± 6.91·× 10−9 | 0.97 ± 0.019 |
Publisher’s Note: MDPI stays neutral with regard to jurisdictional claims in published maps and institutional affiliations. |
© 2022 by the authors. Licensee MDPI, Basel, Switzerland. This article is an open access article distributed under the terms and conditions of the Creative Commons Attribution (CC BY) license (https://creativecommons.org/licenses/by/4.0/).
Share and Cite
Aubakirova, V.; Farrakhov, R.; Astanin, V.; Sharipov, A.; Gorbatkov, M.; Parfenov, E. Plasma Electrolytic Oxidation of Zr-1%Nb Alloy: Effect of Sodium Silicate and Boric Acid Addition to Calcium Acetate-Based Electrolyte. Materials 2022, 15, 2003. https://doi.org/10.3390/ma15062003
Aubakirova V, Farrakhov R, Astanin V, Sharipov A, Gorbatkov M, Parfenov E. Plasma Electrolytic Oxidation of Zr-1%Nb Alloy: Effect of Sodium Silicate and Boric Acid Addition to Calcium Acetate-Based Electrolyte. Materials. 2022; 15(6):2003. https://doi.org/10.3390/ma15062003
Chicago/Turabian StyleAubakirova, Veta, Ruzil Farrakhov, Vasily Astanin, Arseny Sharipov, Mikhail Gorbatkov, and Evgeny Parfenov. 2022. "Plasma Electrolytic Oxidation of Zr-1%Nb Alloy: Effect of Sodium Silicate and Boric Acid Addition to Calcium Acetate-Based Electrolyte" Materials 15, no. 6: 2003. https://doi.org/10.3390/ma15062003
APA StyleAubakirova, V., Farrakhov, R., Astanin, V., Sharipov, A., Gorbatkov, M., & Parfenov, E. (2022). Plasma Electrolytic Oxidation of Zr-1%Nb Alloy: Effect of Sodium Silicate and Boric Acid Addition to Calcium Acetate-Based Electrolyte. Materials, 15(6), 2003. https://doi.org/10.3390/ma15062003

