Electron Beam Powder Bed Fusion of Water Atomized Iron and Powder Blends
Abstract
:1. Introduction
2. Materials and Methods
3. Results
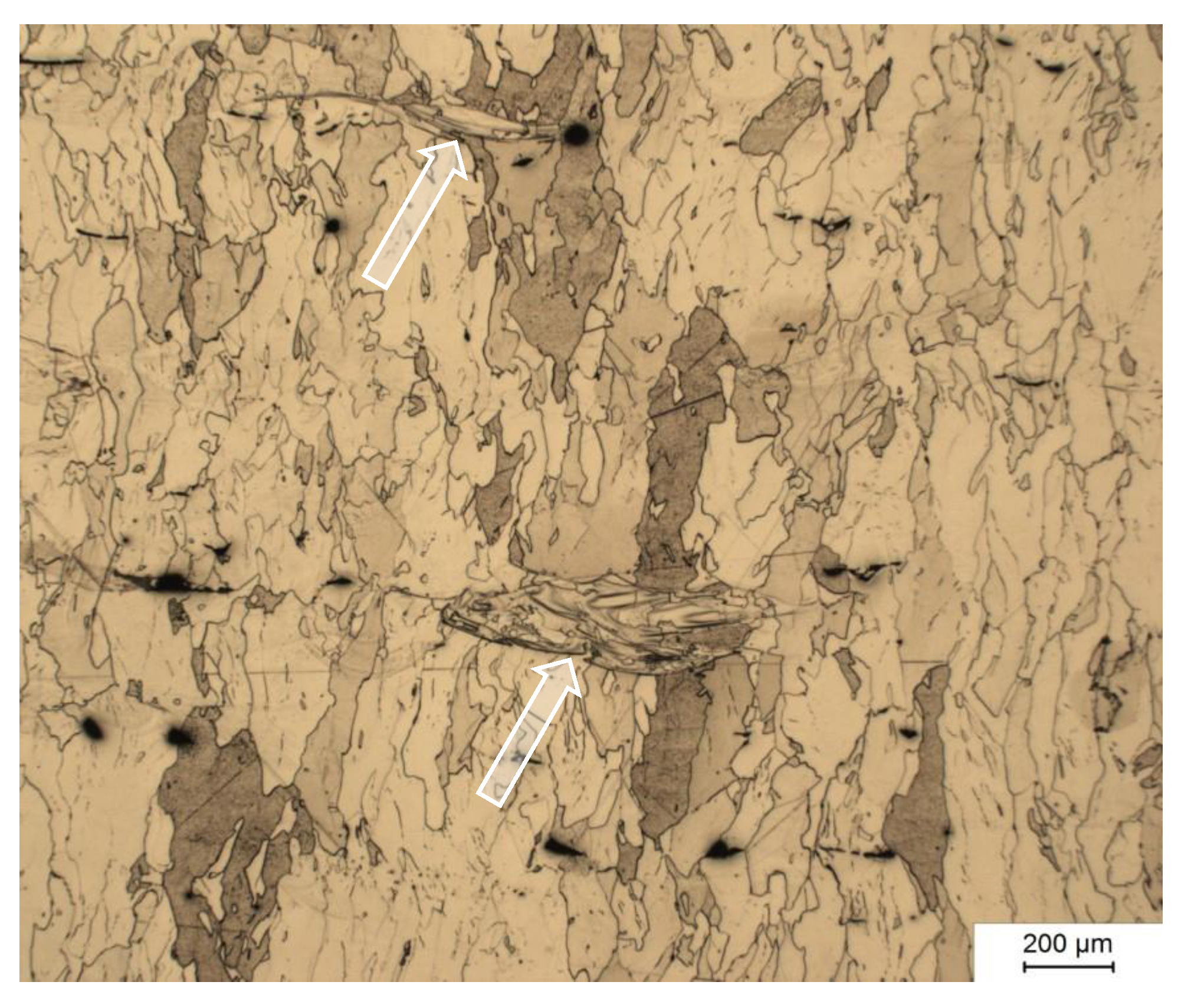
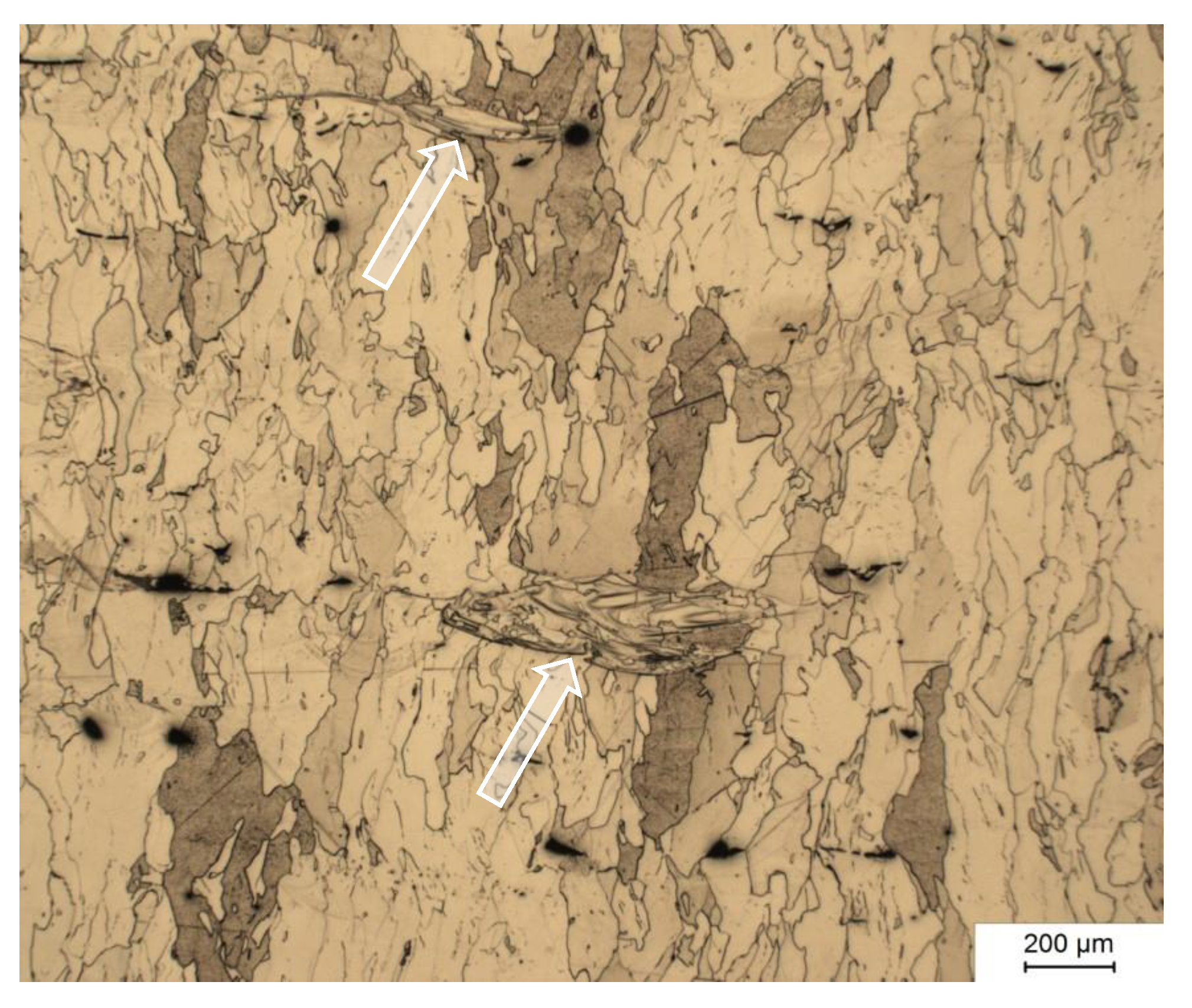
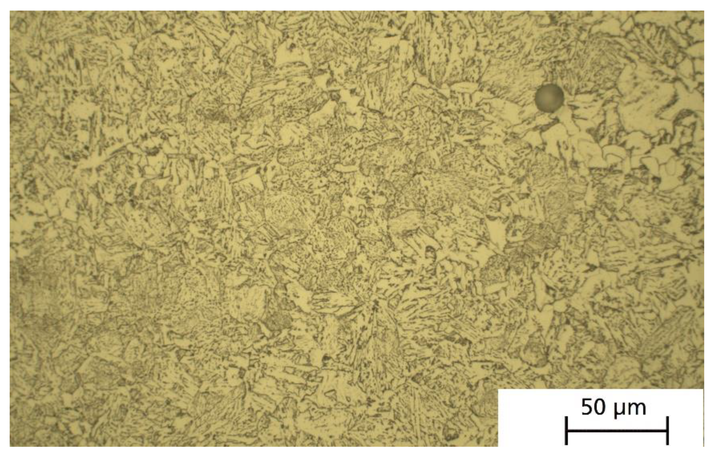
3.1. Characterization and PBF-EB of Water Atomized Iron Powder
3.2. Behavior of Mixtures with Spherical Powders
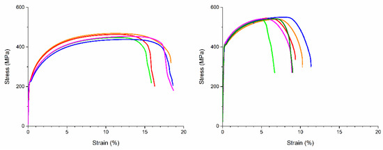
3.3. PBF-EB of WA Iron—316L-C
3.4. PBF-EB of WA Iron—FeCrAl
4. Discussion
5. Conclusions
- (1)
- PBF-EB processing of WA iron powder used for press-and-sinter can lead to highly dense material with less than 1% porosity. This is despite the fact that the irregular shape of the WA iron powder causes comparably low flowability and apparent density.
- (2)
- Blending the irregularly shaped WA powder with spherical powder will increase both flowability and apparent density roughly proportional to the fraction. This offers a first possibility to improve the processability in PBF, if needed.
- (3)
- In-situ alloying of WA iron powder blended with master alloys in the PBF-EB process is feasible. Homogeneous distribution of alloying elements is demonstrated for a steel with low content of alloying elements as well as FeCrAl with 18% Cr and 7.5% Al.
- (1)
- For the PBF-EB process, it appears feasible to replace a substantial amount of spherical powder with water atomized powder. Because of the large price difference between gas atomized and water atomized powder, currently by roughly a factor of ten, this represents an appreciable potential for cost saving. Obviously, the PBF processability of water atomized powders could be improved in several ways. The WA process could be tailored to better suit the required morphology and particle size. The WA powder might be modified, e.g., by milling or mixing with modifiers to improve flowability. Finally, modification to the powder feeding mechanism could improve the quality of spread layers [26].
- (2)
- Blending inexpensive base feedstock with alloying elements offers higher flexibility in additive manufacturing, as there is no need for atomization of each individual alloy composition. While the results of in-situ alloying of WA iron were chemically homogeneous alloys in this work, non-equilibrium microstructures without full alloying are also interesting for future research, especially by adding hard and high melting point phases.
Author Contributions
Funding
Institutional Review Board Statement
Informed Consent Statement
Data Availability Statement
Conflicts of Interest
References
- DebRoy, T.; Wei, H.L.; Zuback, J.S.; Mukherjee, T.; Elmer, J.W.; Milewski, J.O.; Beese, A.M.; Wilson-Heid, A.; De, A.; Zhang, W. Additive manufacturing of metallic components—Process, structure and properties. Prog. Mater. Sci. 2018, 92, 112–224. [Google Scholar] [CrossRef]
- Letenneur, M.; Brailovski, V.; Kreitcberg, A.; Paserin, V.; Bailon-Poujol, I. Laser powder bed fusion of water-atomized iron-based powders: Process optimization. J. Manuf. Mater. Process. 2017, 1, 23. [Google Scholar] [CrossRef] [Green Version]
- Rogalsky, A.; Rishmawi, I.; Brock, L.; Vlasea, M. Low cost irregular feed stock for laser powder bed fusion. J. Manuf. Process. 2018, 35, 446–456. [Google Scholar] [CrossRef]
- Li, R.; Shi, Y.; Wang, Z.; Wang, L.; Liu, J.; Jiang, W. Densification behavior of gas and water atomized 316L stainless steel powder during selective laser melting. Appl. Surf. Sci. 2010, 256, 4350–4356. [Google Scholar] [CrossRef]
- Haferkamp, L.; Haudenschild, L.; Spierings, A.; Wegener, K.; Riener, K.; Ziegelmeier, S.; Leichtfried, G.J. The influence of particle shape, powder flowability, and powder layer density on part density in Laser powder bed fusion. Metals 2021, 11, 418. [Google Scholar] [CrossRef]
- Pasebani, S.; Ghayoor, M.; Badwe, S.; Irrinki, H.; Atre, S.V. Effects of atomizing media and post processing on mechanical properties of 17-4 PH stainless steel manufactured via selective laser melting. Addit. Manuf. 2018, 22, 127–137. [Google Scholar] [CrossRef]
- Fedina, T.; Sundqvist, J.; Powell, J.; Kaplan, A. A comparative study of water and gas atomized low alloy steel powders for additive manufacturing. Addit. Manuf. 2020, 36, 101675. [Google Scholar] [CrossRef]
- Abdelwahed, M.; Bengtsson, S.; Casati, R.; Larsson, A.; Petrella, S.; Vedani, M. Effect of water atomization on properties of type 4130 steel processed by L-PBF. Mater. Des. 2021, 210, 110085. [Google Scholar] [CrossRef]
- Song, B.; Dong, S.; Coddet, C. Rapid in situ fabrication of Fe/SiC bulk nanocomposites by selective laser melting directly from a mixed powder of microsized Fe and SiC. Scripta Mater. 2014, 75, 90–93. [Google Scholar] [CrossRef]
- AlMangour, B.; Grzesiak, D.; Yang, J.-M. Selective laser melting of TiB2/316L stainless steel composites: The roles of powder preparation and hot isostatic pressing post-treatment. Powder Technol. 2017, 309, 37–48. [Google Scholar] [CrossRef]
- Köhler, M.L.; Ali, F.; Herzog, S.; Suwanpinij, P.; Kaletsch, A.; Broeckmann, C. Influence of Cr3C2 additions to AISI H13 tool steel in the LPF process. Steel Res. Int. 2021, 93, 2100454. [Google Scholar] [CrossRef]
- Köhnen, P.; Ewald, S.; Schleifenbaum, J.H.; Belyakov, A.; Haase, C. Controlling microstructure and mechanical properties of additively manufactured high-strength steels by tailored solidification. Addit. Manuf. 2020, 35, 101389. [Google Scholar] [CrossRef]
- Ewald, S.; Kies, F.; Hermsen, S.; Voshage, M.; Haase, C.; Schleifenbaum, J.H. Rapid alloy development of extremely high-alloyed metals using powder blends in laser powder bed fusion. Materials 2019, 12, 1706. [Google Scholar] [CrossRef] [PubMed] [Green Version]
- Huber, F.; Rasch, M.; Schmidt, M. Laser powder bed fusion (PBF-LB/M) process strategies for in-situ alloy formation with high-melting elements. Metals 2021, 11, 336. [Google Scholar] [CrossRef]
- Koptyug, A.; Bäckström, M.; Botero, C.; Popov, V.; Chudinova, E. Developing new materials for electron beam melting: Experiences and challenges. Mater. Sci. Forum 2018, 941, 2190–2195. [Google Scholar] [CrossRef]
- Momeni, S.; Guschlbauer, R.; Osmanlic, F.; Körner, C. Selective electron beam melting of a copper-chrome powder mixture. Mater. Lett. 2018, 223, 250–252. [Google Scholar] [CrossRef]
- Popov, V.V.; Katz-Demyanetz, A.; Koptyug, A.; Bamberger, M. Selective electron beam melting of Al0.5CrMoNbTa0.5 high entropy alloys using elemental powder blend. Heliyon 2019, 5, e01188. [Google Scholar] [CrossRef] [Green Version]
- Hankwitz, J.P.; Ledford, C.; Rock, C.; O’Dell, S.; Horn, T.J. Electron beam melting of niobium alloys from blended powders. Materials 2021, 14, 5536. [Google Scholar] [CrossRef]
- Pasang, T.; Kirchner, A.; Jehring, U.; Aziziderouei, M.; Tao, Y.; Jiang, C.-P.; Wang, J.C.; Aisyah, I.S. Microstructure and mechanical properties of welded additively manufactured stainless steels SS316L. Met. Mater. Int. 2019, 25, 1278–1286. [Google Scholar] [CrossRef]
- Körner, C. Additive manufacturing of metallic components by selective electron beam melting—A review. Int. Mater. Rev. 2016, 61, 361–377. [Google Scholar] [CrossRef] [Green Version]
- Abbaschian, R.; Abbaschian, L.; Reed-Hill, R.E. Physical Metallurgy Principles, 4th ed.; Cengage Learning: Stamford, CT, USA, 2009; p. 630. [Google Scholar]
- Cr-Mo-legierter Vergütungsstahl 1.7218/ 1.7213. Available online: https://www.dew-stahl.com/fileadmin/files/dew-stahl.com/documents/Publikationen/Werkstoffdatenblaetter/Baustahl/1.7218_1.7213_de.pdf (accessed on 22 December 2021).
- Firmodur 6582. Available online: https://www.dew-stahl.com/fileadmin/files/dew-stahl.com/documents/Publikationen/Werkstoffdatenblaetter/Baustahl/1.6582_de.pdf (accessed on 22 December 2021).
- Handbook on the Material Properties of FeCrAl Alloys for Nuclear Power Production Applications. Available online: https://info.ornl.gov/sites/publications/Files/Pub74128.pdf (accessed on 22 December 2021).
- Gussev, M.N.; Field, K.G.; Yamamoto, Y. Design, properties, and weldability of advanced oxidation-resistant FeCrAl alloys. Mater. Des. 2017, 129, 227–238. [Google Scholar] [CrossRef]
- Sinclair, C.W.; Edinger, R.; Sparling, W.; Molavi-Kakhki, A.; Labrecque, C. Vibratory powder feeding for powder bed additive manufacturing using water and gas atomized metal powders. Materials 2021, 14, 3548. [Google Scholar] [CrossRef] [PubMed]








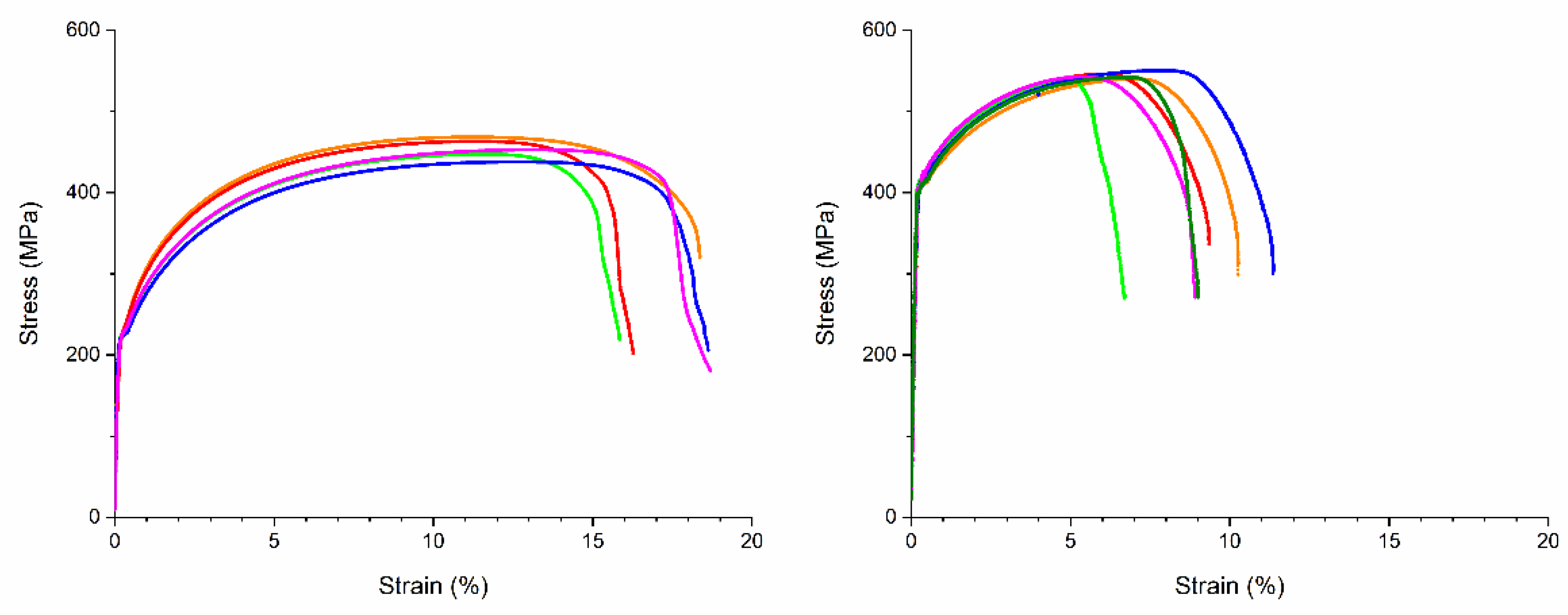
| Condition | YTS | UTS | A |
|---|---|---|---|
| As-built | 231 ± 4 MPa | 454 ± 12 Mpa | 17.5 ± 1.5% |
| Heat-treated | 416 ± 5 Mpa | 543 ± 4 Mpa | 9.0 ± 1.5% |
Publisher’s Note: MDPI stays neutral with regard to jurisdictional claims in published maps and institutional affiliations. |
© 2022 by the authors. Licensee MDPI, Basel, Switzerland. This article is an open access article distributed under the terms and conditions of the Creative Commons Attribution (CC BY) license (https://creativecommons.org/licenses/by/4.0/).
Share and Cite
Kirchner, A.; Klöden, B.; Franke-Jurisch, M.; Walther, G.; Weißgärber, T. Electron Beam Powder Bed Fusion of Water Atomized Iron and Powder Blends. Materials 2022, 15, 1567. https://doi.org/10.3390/ma15041567
Kirchner A, Klöden B, Franke-Jurisch M, Walther G, Weißgärber T. Electron Beam Powder Bed Fusion of Water Atomized Iron and Powder Blends. Materials. 2022; 15(4):1567. https://doi.org/10.3390/ma15041567
Chicago/Turabian StyleKirchner, Alexander, Burghardt Klöden, Marie Franke-Jurisch, Gunnar Walther, and Thomas Weißgärber. 2022. "Electron Beam Powder Bed Fusion of Water Atomized Iron and Powder Blends" Materials 15, no. 4: 1567. https://doi.org/10.3390/ma15041567
APA StyleKirchner, A., Klöden, B., Franke-Jurisch, M., Walther, G., & Weißgärber, T. (2022). Electron Beam Powder Bed Fusion of Water Atomized Iron and Powder Blends. Materials, 15(4), 1567. https://doi.org/10.3390/ma15041567

